
Quitclaim Deed from Husband to Himself and Wife Rhode Island Form


What is the Quitclaim Deed From Husband To Himself And Wife Rhode Island
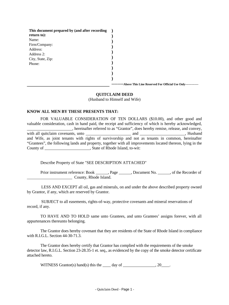
A quitclaim deed from husband to himself and wife in Rhode Island is a legal document that allows a husband to transfer his interest in a property to himself and his spouse. This type of deed does not guarantee that the property is free of liens or claims; it simply conveys whatever interest the husband has in the property. This form is often used in situations such as marriage, divorce, or estate planning, where ownership needs to be clarified or adjusted between spouses.
Steps to Complete the Quitclaim Deed From Husband To Himself And Wife Rhode Island
Completing a quitclaim deed in Rhode Island involves several key steps:
- Gather necessary information about the property, including the legal description and current ownership details.
- Obtain the quitclaim deed form, which can be found through legal resources or online platforms.
- Fill out the form, ensuring that all required information is accurately provided, including the names of both parties and the property description.
- Sign the deed in the presence of a notary public to ensure its legality.
- File the completed deed with the local land records office to make the transfer official.
Legal Use of the Quitclaim Deed From Husband To Himself And Wife Rhode Island
The quitclaim deed is legally recognized in Rhode Island as a valid means to transfer property ownership. It is particularly useful in situations where the parties know each other and trust the transfer process. However, it is essential to understand that this deed does not provide any warranties regarding the title. Therefore, it is advisable for parties to conduct due diligence regarding any existing liens or claims on the property before proceeding.
State-Specific Rules for the Quitclaim Deed From Husband To Himself And Wife Rhode Island
In Rhode Island, specific rules govern the execution and filing of quitclaim deeds. These include:
- The deed must be signed by the grantor (the husband) and notarized.
- It must include a legal description of the property being transferred.
- Filing fees may apply when submitting the deed to the local land records office.
- It is recommended to check with local authorities for any additional requirements or regulations.
Key Elements of the Quitclaim Deed From Husband To Himself And Wife Rhode Island
Several key elements must be included in the quitclaim deed to ensure its validity:
- The names of both the husband and wife as parties involved in the deed.
- A clear legal description of the property being transferred.
- The date of the transfer.
- The signature of the husband and a notary public acknowledgment.
How to Use the Quitclaim Deed From Husband To Himself And Wife Rhode Island
Using a quitclaim deed involves understanding its purpose and how it fits into property ownership. This deed can be utilized to clarify ownership between spouses, especially in cases of marriage or when one spouse is adding the other to the property title. It is important to ensure that both parties are in agreement about the transfer and that the deed is properly executed and filed to avoid future disputes.
Quick guide on how to complete quitclaim deed from husband to himself and wife rhode island
Easily Prepare [SKS] on Any Device
Managing documents online has gained popularity among businesses and individuals. It offers an excellent environmentally friendly alternative to conventional printed and signed documents, allowing you to acquire the necessary format and securely store it online. airSlate SignNow equips you with all the resources required to create, edit, and electronically sign your documents swiftly without complications. Manage [SKS] on any device using airSlate SignNow's Android or iOS applications and simplify any document-related process today.
Effortlessly Edit and Electronically Sign [SKS]
- Locate [SKS] and click on Get Form to begin.
- Utilize the tools provided to complete your form.
- Emphasize important sections of your documents or obscure sensitive details with tools specifically designed by airSlate SignNow for this purpose.
- Generate your eSignature using the Sign tool, which only takes seconds and carries the same legal validity as a traditional handwritten signature.
- Verify all the information and click on the Done button to save your changes.
- Choose how you wish to send your form, whether by email, text message (SMS), invitation link, or by downloading it to your computer.
Eliminate concerns about lost or misplaced documents, tedious form searches, or errors that necessitate printing new copies. airSlate SignNow fulfills all your document management requirements within several clicks from any device you prefer. Edit and eSign [SKS] and ensure outstanding communication at every stage of the form preparation process with airSlate SignNow.
Create this form in 5 minutes or less
Create this form in 5 minutes!
People also ask
-
What is a Quitclaim Deed From Husband To Himself And Wife in Rhode Island?
A Quitclaim Deed From Husband To Himself And Wife in Rhode Island is a legal document used to transfer property ownership between spouses. It allows one spouse to convey their interest in a property to themselves and their partner without any warranty of title. This document is often utilized in marital situations or when updating property titles.
-
How do I create a Quitclaim Deed From Husband To Himself And Wife in Rhode Island using airSlate SignNow?
Creating a Quitclaim Deed From Husband To Himself And Wife in Rhode Island with airSlate SignNow is easy and efficient. Simply access our document template library, choose the quitclaim deed template, fill in the necessary details, and use our electronic signature feature to sign it. This streamlines the process, making it convenient for both parties.
-
Are there any costs associated with using airSlate SignNow for a Quitclaim Deed From Husband To Himself And Wife in Rhode Island?
Yes, there might be costs associated with using airSlate SignNow, which offers affordable pricing plans. Our platform provides various subscription options to suit different needs, ensuring that you can prepare a Quitclaim Deed From Husband To Himself And Wife in Rhode Island without breaking the bank. You can also take advantage of our free trial to test the features.
-
What benefits do I gain from using airSlate SignNow for my Quitclaim Deed From Husband To Himself And Wife in Rhode Island?
Using airSlate SignNow for a Quitclaim Deed From Husband To Himself And Wife in Rhode Island provides numerous benefits, including ease of use, speed, and secure electronic signing. You'll have access to an intuitive platform that simplifies the document preparation process, allowing you to manage your paperwork efficiently and securely.
-
Can I save my Quitclaim Deed From Husband To Himself And Wife in Rhode Island for future use?
Absolutely! With airSlate SignNow, you can save your completed Quitclaim Deed From Husband To Himself And Wife in Rhode Island templates for future use. This feature allows you to easily access and reuse your documents whenever needed, saving you time and effort on future transactions.
-
Is it easy to edit a Quitclaim Deed From Husband To Himself And Wife in Rhode Island once created in airSlate SignNow?
Yes, editing a Quitclaim Deed From Husband To Himself And Wife in Rhode Island in airSlate SignNow is straightforward. Our platform allows users to easily modify any part of the document, ensuring that you can make any changes needed quickly and without hassle before finalizing the deed.
-
Does airSlate SignNow integrate with other tools for managing my Quitclaim Deed From Husband To Himself And Wife in Rhode Island?
Yes, airSlate SignNow offers integrations with various tools and platforms to enhance your document management experience. You can connect our service with popular applications, making it easier to manage your Quitclaim Deed From Husband To Himself And Wife in Rhode Island alongside your other business operations.
Get more for Quitclaim Deed From Husband To Himself And Wife Rhode Island
- State of wyoming and being described as follows form
- Wy inc cr form
- Incorporators shareholders and the board of directors of a wyoming form
- Forms ampampamp publications wyoming secretary of state
- Minnesota notarial certificates form
- Of business in this state form
- Govsitesproductionfiles201402documentsleadinyourhomebrochurelandbw508easyprint0 form
- Wyoming family law formsus legal forms
Find out other Quitclaim Deed From Husband To Himself And Wife Rhode Island
- eSignature Nevada Healthcare / Medical RFP Safe
- eSignature Nebraska Healthcare / Medical Stock Certificate Simple
- eSignature Finance & Tax Accounting PDF New York Online
- eSignature Nebraska Healthcare / Medical Separation Agreement Online
- eSignature Nebraska Healthcare / Medical Separation Agreement Computer
- eSignature Finance & Tax Accounting PDF New York Computer
- eSignature Nebraska Healthcare / Medical Stock Certificate Easy
- eSignature Nebraska Healthcare / Medical Separation Agreement Mobile
- eSignature Nebraska Healthcare / Medical Separation Agreement Now
- eSignature Nebraska Healthcare / Medical Separation Agreement Later
- eSignature Finance & Tax Accounting PDF New York Mobile
- eSignature Nebraska Healthcare / Medical Separation Agreement Myself
- eSignature Nebraska Healthcare / Medical Stock Certificate Safe
- eSignature Nebraska Healthcare / Medical Separation Agreement Free
- eSignature Finance & Tax Accounting PDF New York Now
- eSignature Nebraska Healthcare / Medical Separation Agreement Secure
- eSignature Nebraska Healthcare / Medical Separation Agreement Fast
- eSignature Nebraska Healthcare / Medical Separation Agreement Simple
- eSignature Finance & Tax Accounting PDF New York Later
- eSignature Nebraska Healthcare / Medical Separation Agreement Easy