
Grant of Right to Photography and Release to Use Photographic Likeness on Greeting Cards Form


What is the Grant Of Right To Photography And Release To Use Photographic Likeness On Greeting Cards
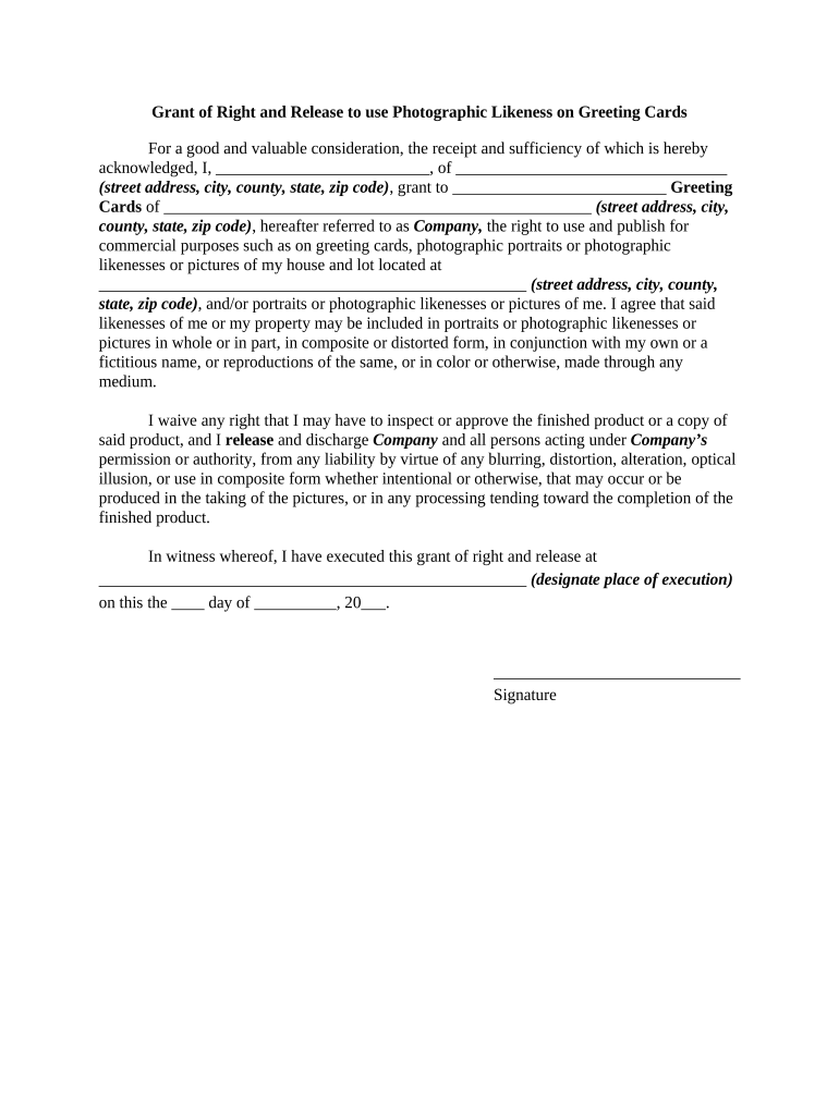
The Grant Of Right To Photography And Release To Use Photographic Likeness On Greeting Cards is a legal document that allows individuals or organizations to obtain permission to use someone's image on greeting cards. This form is essential for ensuring that the rights of the individual whose likeness is being used are respected and protected. By signing this document, the individual grants the photographer or organization the right to utilize their image for commercial purposes, specifically on greeting cards. This release is crucial in preventing any future disputes regarding the use of the likeness.
Steps to complete the Grant Of Right To Photography And Release To Use Photographic Likeness On Greeting Cards
Completing the Grant Of Right To Photography And Release To Use Photographic Likeness On Greeting Cards involves several key steps:
- Read the document thoroughly to understand the rights being granted.
- Fill in the required personal information, including the name of the individual granting the rights.
- Specify the scope of the usage, detailing how the photographic likeness will be used on greeting cards.
- Sign and date the document to confirm your agreement.
- Ensure that the photographer or organization also signs the document to validate the agreement.
Legal use of the Grant Of Right To Photography And Release To Use Photographic Likeness On Greeting Cards
The legal use of the Grant Of Right To Photography And Release To Use Photographic Likeness On Greeting Cards hinges on compliance with relevant laws and regulations. This includes ensuring that the individual granting the rights is of legal age or has parental consent if they are a minor. The document must clearly outline the intended use of the likeness, and both parties should retain copies for their records. Adhering to these legal requirements helps to protect both the individual and the organization using the likeness from potential legal disputes.
Key elements of the Grant Of Right To Photography And Release To Use Photographic Likeness On Greeting Cards
Several key elements must be included in the Grant Of Right To Photography And Release To Use Photographic Likeness On Greeting Cards to ensure its validity:
- Identification of the parties: Clearly state the names and contact information of both the individual granting the rights and the organization or photographer.
- Description of the usage: Specify how the likeness will be used on greeting cards, including any limitations.
- Duration of the agreement: Indicate how long the rights are granted, whether it's for a specific project or indefinitely.
- Signatures: Both parties must sign and date the document to make it legally binding.
How to use the Grant Of Right To Photography And Release To Use Photographic Likeness On Greeting Cards
Using the Grant Of Right To Photography And Release To Use Photographic Likeness On Greeting Cards involves several considerations. First, ensure that the signed document is stored securely, as it serves as proof of permission. When creating greeting cards, the organization or photographer should reference the agreement to confirm that they are using the likeness within the agreed parameters. If any changes to the usage arise, it is advisable to revisit the agreement and potentially draft a new release to cover the new terms.
Examples of using the Grant Of Right To Photography And Release To Use Photographic Likeness On Greeting Cards
There are various scenarios in which the Grant Of Right To Photography And Release To Use Photographic Likeness On Greeting Cards may be applied:
- A photographer captures images of children at a community event and wishes to use those images on greeting cards for fundraising purposes.
- A business wants to feature customer testimonials alongside their photographs on promotional greeting cards.
- An artist creates custom greeting cards using portraits of individuals, requiring permission to use their likeness.
Quick guide on how to complete grant of right to photography and release to use photographic likeness on greeting cards
Prepare [SKS] effortlessly on any gadget
Online document management has gained traction among companies and individuals alike. It offers an ideal eco-friendly alternative to conventional printed and signed paperwork, allowing you to locate the right form and securely keep it online. airSlate SignNow provides you with all the tools necessary to create, edit, and eSign your documents quickly and efficiently. Manage [SKS] on any gadget with airSlate SignNow Android or iOS applications and enhance any document-related workflow today.
How to modify and eSign [SKS] with ease
- Obtain [SKS] and then click Get Form to begin.
- Utilize the tools we provide to complete your document.
- Emphasize relevant sections of your documents or black out confidential information using the tools that airSlate SignNow offers specifically for that purpose.
- Create your signature using the Sign tool, which takes mere seconds and carries the same legal significance as a conventional wet ink signature.
- Review the information and then click the Done button to save your modifications.
- Choose how you would like to send your form, by email, SMS, or invite link, or download it to your computer.
Eliminate concerns about lost or misplaced documents, tedious form searches, or errors that necessitate printing new document copies. airSlate SignNow fulfills all your document management needs in just a few clicks from any device you prefer. Modify and eSign [SKS] and ensure outstanding communication at every step of your form preparation process with airSlate SignNow.
Create this form in 5 minutes or less
Related searches to Grant Of Right To Photography And Release To Use Photographic Likeness On Greeting Cards
Create this form in 5 minutes!
People also ask
-
What is the 'Grant Of Right To Photography And Release To Use Photographic Likeness On Greeting Cards'?
The 'Grant Of Right To Photography And Release To Use Photographic Likeness On Greeting Cards' is a legal document that allows individuals or businesses to obtain rights to use someone's photographic likeness on their greeting cards. This ensures that all parties understand the usage rights, protecting both the photographer and the subject. It is crucial for businesses to have this release to avoid potential legal issues.
-
How can I create a 'Grant Of Right To Photography And Release To Use Photographic Likeness On Greeting Cards' using airSlate SignNow?
Creating a 'Grant Of Right To Photography And Release To Use Photographic Likeness On Greeting Cards' with airSlate SignNow is simple. Our platform provides customizable templates you can fill out and sign digitally. You can easily share the document with all necessary parties for eSigning, streamlining the process while ensuring legal compliance.
-
What are the benefits of using airSlate SignNow for photography releases?
Using airSlate SignNow for your 'Grant Of Right To Photography And Release To Use Photographic Likeness On Greeting Cards' offers numerous benefits. It simplifies the signing process, reduces paperwork, and enhances efficiency. Additionally, you gain peace of mind knowing that all documents are stored securely and can be accessed anytime.
-
Is there a cost associated with obtaining a 'Grant Of Right To Photography And Release To Use Photographic Likeness On Greeting Cards' through airSlate SignNow?
Yes, there is a cost associated with utilizing airSlate SignNow for your 'Grant Of Right To Photography And Release To Use Photographic Likeness On Greeting Cards'. However, our pricing is competitive and designed to provide great value for businesses. With various subscription plans, you can choose an option that best fits your budget and usage needs.
-
Can I integrate airSlate SignNow with other software to manage copyright releases efficiently?
Absolutely! airSlate SignNow offers integrations with numerous software applications, making it easy to manage your 'Grant Of Right To Photography And Release To Use Photographic Likeness On Greeting Cards' efficiently. Popular integrations include CRM systems and document management tools, allowing a seamless workflow and better organization of your assets.
-
What features does airSlate SignNow provide for managing photography releases?
airSlate SignNow provides essential features tailored for managing 'Grant Of Right To Photography And Release To Use Photographic Likeness On Greeting Cards'. These include customizable templates, an easy-to-use interface for eSigning, automated reminders, and secure cloud storage. These features ensure that your photography releases are handled effectively and safely.
-
Are there any legal considerations when using a 'Grant Of Right To Photography And Release To Use Photographic Likeness On Greeting Cards'?
Yes, it's important to understand the legal implications of the 'Grant Of Right To Photography And Release To Use Photographic Likeness On Greeting Cards'. Ensure that the document is appropriately drafted and signed, as it protects both the subject and the photographer's rights. Consulting with a legal professional is recommended to guarantee compliance with local laws.
Get more for Grant Of Right To Photography And Release To Use Photographic Likeness On Greeting Cards
- Flood zone statement and authorization new jersey form
- Name affidavit of buyer new jersey form
- Name affidavit of seller new jersey form
- Non foreign affidavit under irc 1445 new jersey form
- Owners or sellers affidavit of no liens new jersey form
- Affidavit occupancy status form
- New jersey law form
- Complex will with credit shelter marital trust for large estates new jersey form
Find out other Grant Of Right To Photography And Release To Use Photographic Likeness On Greeting Cards
- eSign Kentucky Startup Business Plan Template Mobile
- eSign Utah Startup Costs Budget Worksheet Online
- eSign Utah Startup Costs Budget Worksheet Computer
- eSign Utah Startup Costs Budget Worksheet Mobile
- eSign Kentucky Startup Business Plan Template Now
- eSign Utah Startup Costs Budget Worksheet Now
- eSign Texas Startup Costs Budget Worksheet Online
- eSign Utah Startup Costs Budget Worksheet Later
- eSign Utah Startup Costs Budget Worksheet Myself
- eSign Texas Startup Costs Budget Worksheet Computer
- eSign Kentucky Startup Business Plan Template Later
- eSign Utah Startup Costs Budget Worksheet Free
- eSign Utah Startup Costs Budget Worksheet Secure
- eSign Utah Startup Costs Budget Worksheet Fast
- eSign Texas Startup Costs Budget Worksheet Mobile
- eSign Utah Startup Costs Budget Worksheet Simple
- eSign Kentucky Startup Business Plan Template Myself
- eSign Utah Startup Costs Budget Worksheet Easy
- eSign Texas Startup Costs Budget Worksheet Now
- eSign Utah Startup Costs Budget Worksheet Safe