
Affidavit Identification Form


What is the affidavit identification?
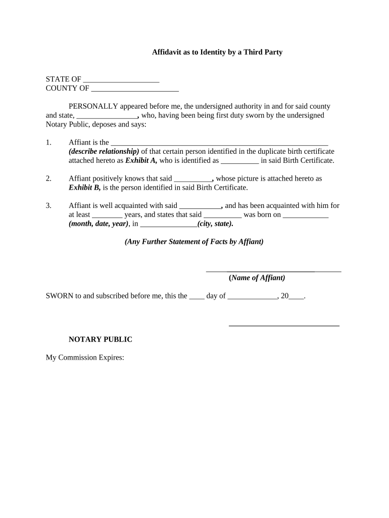
An affidavit identification is a formal document that allows an individual to affirm or swear to the truth of certain statements, typically in the presence of a third party. This document serves as a legal declaration and is often required in various legal and administrative processes. The affidavit third party form is essential in situations where a person cannot be present to sign a document themselves, and another individual must verify their identity and the authenticity of the statements made. It is important that this form is filled out accurately to ensure its legal validity.
Steps to complete the affidavit identification
Completing an affidavit identification form involves several key steps to ensure that the document is legally binding and properly executed. Follow these steps:
- Gather necessary information: Collect all relevant details that need to be included in the affidavit, such as the names of the parties involved, the specific statements being affirmed, and any pertinent dates.
- Identify the third party: Choose a reliable individual who can act as the third party to witness the signing of the affidavit. This person should be impartial and not have a vested interest in the outcome.
- Complete the form: Fill out the affidavit identification form with the required information, ensuring that all statements are clear and accurate.
- Sign in the presence of the third party: Both the affiant and the third party must be present to sign the document. The third party will verify the identity of the affiant and witness the signing.
- Notarization (if required): Depending on state laws, you may need to have the affidavit notarized to enhance its legal standing.
Legal use of the affidavit identification
The legal use of an affidavit identification is crucial in various scenarios, including court proceedings, real estate transactions, and financial applications. This document can serve as evidence in legal disputes, providing a sworn statement that can be used to support claims or defenses. To be considered valid, the affidavit must comply with state laws regarding the format and execution. Additionally, it is essential to ensure that the statements made within the affidavit are truthful, as providing false information can lead to legal penalties.
Key elements of the affidavit identification
Several key elements must be included in an affidavit identification to ensure its effectiveness and legal standing:
- Affiant's details: Full name, address, and contact information of the person making the affidavit.
- Third party's details: Information about the individual witnessing the signing, including their name and relationship to the affiant.
- Statement of facts: A clear and concise declaration of the facts being affirmed or sworn to by the affiant.
- Signatures: Signature of the affiant and the third party, along with the date of signing.
- Notary acknowledgment: If required, a section for a notary public to sign and seal the document, confirming the identities of the parties involved.
How to obtain the affidavit identification
Obtaining an affidavit identification form is a straightforward process. These forms can typically be found through various sources, including:
- Legal websites: Many legal resources provide downloadable templates for affidavit identification forms.
- Local government offices: Courts or county clerk offices often have official forms available for public use.
- Legal professionals: Consulting with an attorney can ensure that you receive the correct form tailored to your specific needs.
Examples of using the affidavit identification
Affidavit identification forms are used in a variety of situations. Some common examples include:
- In legal cases where a witness cannot be present to testify, an affidavit can be submitted to provide their sworn statement.
- When applying for a loan, lenders may require an affidavit identification to confirm the identity of the applicant.
- In real estate transactions, affidavits can be used to affirm ownership or the status of a property.
Quick guide on how to complete affidavit sworn to or affirmed by third party
Effortlessly Prepare affidavit sworn to or affirmed by third party on Any Device
Digital document management has gained signNow traction among businesses and individuals alike. It offers an excellent environmentally-friendly substitute for conventional printed and signed documents, enabling you to access the appropriate template and securely store it online. airSlate SignNow equips you with all the tools required to create, modify, and electronically sign your documents rapidly without any holdups. Manage affidavit third party on any device using airSlate SignNow's Android or iOS applications and enhance any document-related process today.
How to modify and eSign affidavit third party form with ease
- Obtain 3rd party affidavit and click on Get Form to begin.
- Utilize the tools we provide to fill out your document.
- Mark necessary sections of your documents or obscure confidential information with tools specifically designed for that purpose by airSlate SignNow.
- Create your eSignature using the Sign tool, which takes mere seconds and holds the same legal validity as a traditional handwritten signature.
- Review all the details and click on the Done button to save your edits.
- Select your preferred method of submitting your form, whether by email, SMS, or invite link, or download it to your computer.
Say goodbye to lost or misplaced files, tiring searches for forms, or errors that require printing new document copies. airSlate SignNow meets all your document management needs in just a few clicks from any device you choose. Modify and eSign affidavit identification and guarantee exceptional communication at every step of the document preparation process with airSlate SignNow.
Create this form in 5 minutes or less
Related searches to affidavit identity form
Create this form in 5 minutes!
People also ask affidavit party sample
-
What is an affidavit third party in the context of eSigning?
An affidavit third party is a legal document that allows a third party to affirm the authenticity of a signature or the contents of a document. With airSlate SignNow, you can easily create, sign, and manage affidavits that involve third parties, ensuring compliance and legality in your transactions.
-
How does airSlate SignNow handle affidavit third party documents?
airSlate SignNow provides a streamlined platform for creating and sending affidavit third party documents. Our user-friendly interface allows you to customize your affidavits, add necessary fields for third-party information, and collect eSignatures quickly and securely.
-
What are the pricing options for using airSlate SignNow for affidavits?
airSlate SignNow offers competitive pricing plans that cater to various business needs. Whether you require a simple plan for individual use or a more robust solution for teams, our pricing is designed to be cost-effective while still enabling you to efficiently manage affidavit third party documents.
-
Can I integrate airSlate SignNow with other tools for managing affidavits?
Yes, airSlate SignNow seamlessly integrates with numerous third-party applications, allowing you to enhance your workflow for managing affidavits. Whether you're using customer relationship management (CRM) software or document management systems, our integrations help streamline the process for affidavit third party documents.
-
What benefits does airSlate SignNow provide for affidavit third party processes?
Using airSlate SignNow for affidavit third party processes enhances efficiency and security. You can track document status in real-time, reduce paper usage, and ensure that each affidavit is legally binding through advanced eSigning features, making your business operations smoother.
-
Is airSlate SignNow compliant with legal standards for affidavits?
Absolutely! airSlate SignNow is designed to comply with legal standards such as the ESIGN Act and UETA, ensuring that all affidavit third party documents signed through our platform hold legal weight. This compliance provides peace of mind when dealing with important legal documents.
-
How does airSlate SignNow ensure the security of affidavit third party documents?
airSlate SignNow prioritizes security through features like encryption and secure cloud storage. Your affidavit third party documents are protected against unauthorized access, ensuring that sensitive information remains confidential while being processed and stored.
Get more for affidavit third party sample
- Warranty deed to child reserving a life estate in the parents new mexico form
- Warranty deed two individuals to one individual new mexico form
- Nm discovery form
- Employers response to workers compensation complaint new mexico form
- Discovery interrogatories from defendant to plaintiff with production requests new mexico form
- Discovery interrogatories for divorce proceeding for either plaintiff or defendant new mexico form
- Transfer death deed 497319876 form
- Warranty deed one individual to three individuals new mexico form
Find out other affidavit identification document
- Help Me With eSignature Illinois Banking Form
- Help Me With eSignature Illinois Banking Form
- Can I eSignature Illinois Banking Form
- How Can I eSignature Illinois Banking Form
- How Can I eSignature Illinois Banking Form
- How To eSignature Illinois Banking Form
- Can I eSignature Illinois Banking Form
- How Do I eSignature Illinois Banking Form
- Help Me With eSignature Illinois Banking Form
- Can I eSignature Illinois Banking Form
- How Can I eSignature Illinois Banking Form
- Can I eSignature Illinois Banking Form
- How To eSignature Illinois Banking Document
- How Do I eSignature Illinois Banking Document
- How To eSignature Illinois Banking Form
- Help Me With eSignature Illinois Banking Document
- How Can I eSignature Illinois Banking Document
- How Do I eSignature Illinois Banking Form
- Can I eSignature Illinois Banking Document
- How To eSignature Illinois Banking Form