
Agreement between Supplier Form


What is the agreement between supplier
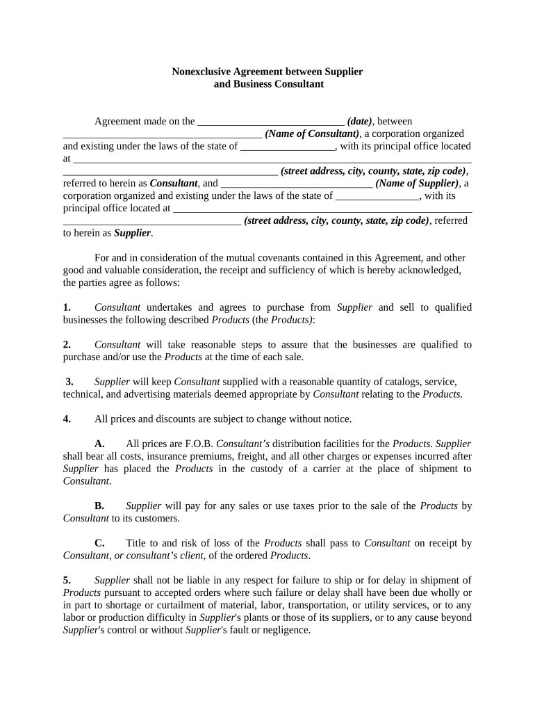
The agreement between supplier is a legally binding document that outlines the terms and conditions governing the relationship between a supplier and a buyer. This document typically includes details such as the scope of goods or services provided, pricing, delivery schedules, and payment terms. It serves as a foundation for business transactions, ensuring that both parties understand their obligations and expectations. By formalizing these elements, the agreement helps to mitigate disputes and fosters a professional relationship.
Key elements of the agreement between supplier
Several critical components make up an effective agreement between supplier. These include:
- Parties involved: Clearly identify the supplier and the buyer, including their legal names and addresses.
- Scope of work: Define the products or services to be provided, including specifications and quantities.
- Pricing and payment terms: Outline the costs, payment methods, and any applicable taxes or fees.
- Delivery terms: Specify delivery schedules, locations, and responsibilities for shipping.
- Duration: Indicate the length of the agreement and conditions for renewal or termination.
- Confidentiality: Include clauses that protect sensitive information shared between parties.
- Dispute resolution: Establish procedures for addressing conflicts that may arise during the contract's duration.
Steps to complete the agreement between supplier
Completing an agreement between supplier involves several essential steps:
- Draft the agreement: Begin by outlining the key elements discussed above.
- Review and negotiate: Both parties should review the draft and negotiate terms to ensure mutual agreement.
- Finalize the document: Make any necessary amendments based on discussions and prepare the final version.
- Sign the agreement: Both parties should sign the document, either physically or electronically, to make it legally binding.
- Distribute copies: Ensure that both parties receive signed copies for their records.
Legal use of the agreement between supplier
The legal use of an agreement between supplier hinges on its compliance with relevant laws and regulations. In the United States, electronic signatures are recognized under the ESIGN Act and UETA, provided that certain criteria are met. This means that an eSigned agreement can hold the same legal weight as a traditional paper contract. It is essential for both parties to ensure that the document is executed properly, including the use of a reliable eSignature platform that provides a certificate of completion and complies with applicable legal standards.
Examples of using the agreement between supplier
Real-world applications of the agreement between supplier can vary widely across industries. For instance:
- A manufacturer may use an agreement to secure a steady supply of raw materials from a supplier, ensuring consistent production levels.
- A retailer might establish an agreement with a supplier to obtain specific products at predetermined prices, facilitating inventory management.
- A service provider could enter into an agreement with a vendor for the provision of essential services, such as maintenance or logistics.
How to obtain the agreement between supplier
Obtaining an agreement between supplier can be accomplished through various means. Many businesses choose to create their own agreements using templates tailored to their specific needs. Alternatively, legal professionals can draft customized agreements to ensure compliance with industry standards and regulations. Online resources and platforms also offer templates and guidance that can simplify the process. It is advisable to review any template carefully and modify it to reflect the unique aspects of the business relationship.
Quick guide on how to complete agreement supplier create
Complete agreement supplier create effortlessly on any device
Digital document management has gained popularity among companies and individuals alike. It serves as an ideal eco-conscious substitute for traditional printed and signed documents, allowing you to locate the necessary form and securely save it online. airSlate SignNow equips you with all the tools required to create, modify, and electronically sign your documents swiftly without delays. Handle agreement between supplier on any device with the airSlate SignNow apps for Android or iOS and streamline any document-related task today.
The simplest way to alter and eSign agreement with ease
- Locate nonexclusive contract and click on Get Form to begin.
- Utilize the tools we provide to fill out your form.
- Mark pertinent sections of your documents or redact sensitive information with tools that airSlate SignNow specially provides for this purpose.
- Generate your eSignature using the Sign tool, which takes moments and carries the same legal validity as a conventional wet ink signature.
- Review the information and click on the Done button to save your changes.
- Choose how you wish to send your form, whether by email, text message (SMS), or invitation link, or download it to your computer.
Say goodbye to lost or mislaid files, tedious form searches, or mistakes that require new document copies. airSlate SignNow meets your document management needs in just a few clicks from any device you prefer. Modify and eSign agreement supplier pdf and ensure seamless communication at every stage of your form preparation process with airSlate SignNow.
Create this form in 5 minutes or less
Related searches to agreement supplier template
Create this form in 5 minutes!
People also ask agreement between business
-
What is an agreement between supplier and how does airSlate SignNow facilitate it?
An agreement between supplier defines the terms of a business relationship, including responsibilities and payment details. airSlate SignNow simplifies this process by allowing businesses to create, send, and eSign these agreements digitally, ensuring quick turnaround and secure handling.
-
What features does airSlate SignNow offer for managing an agreement between supplier?
airSlate SignNow provides features such as customizable templates, real-time tracking, and audit trails specifically designed for managing an agreement between supplier. These tools ensure that all parties are informed and that changes can be made efficiently throughout the negotiation process.
-
Is there a cost associated with using airSlate SignNow for agreements between suppliers?
Yes, airSlate SignNow offers various pricing plans that cater to businesses of all sizes when managing agreements between suppliers. The pricing is competitive and designed to offer value for the features, including unlimited eSigning, document storage, and integrations with other software.
-
Can I integrate airSlate SignNow with other applications for handling agreements between suppliers?
Absolutely! airSlate SignNow seamlessly integrates with a variety of applications such as CRM systems and cloud storage services. This integration enhances the efficiency of managing an agreement between supplier by centralizing all necessary documents and communications in one place.
-
How secure is the process of signing an agreement between supplier with airSlate SignNow?
Security is a top priority for airSlate SignNow. Our platform uses industry-leading encryption methods to protect your data, ensuring that every agreement between supplier remains confidential and secure throughout the signing process.
-
Can I customize the templates for agreements between suppliers in airSlate SignNow?
Yes, airSlate SignNow allows users to create and customize templates specifically tailored to their needs for an agreement between supplier. This feature helps streamline the document creation process, ensuring consistency and compliance across all agreements.
-
What are the benefits of using airSlate SignNow for agreements between suppliers?
The primary benefits of using airSlate SignNow for agreements between suppliers include improved turnaround times, reduced paper waste, and enhanced collaboration. By digitalizing the signing process, businesses can quickly finalize agreements without the delays associated with traditional methods.
Get more for business contractual agreement with suppliers
Find out other agreement supplier sample
- Electronic signature Montana Lease Renewal Mobile
- Electronic signature Missouri Lease Renewal Safe
- eSignature Nevada Employee Complaint Form Online
- eSignature Nevada Employee Complaint Form Computer
- Electronic signature Montana Lease Renewal Now
- eSignature Nevada Employee Complaint Form Mobile
- Electronic signature Montana Lease Renewal Later
- eSignature Nevada Employee Complaint Form Now
- eSignature Nevada Employee Complaint Form Later
- eSignature Nevada Employee Complaint Form Myself
- eSignature Nevada Employee Complaint Form Free
- Electronic signature Montana Lease Renewal Myself
- eSignature Nevada Employee Complaint Form Secure
- How To Electronic signature Missouri Lease Renewal
- eSignature Nevada Employee Complaint Form Fast
- Electronic signature Montana Lease Renewal Free
- eSignature Nevada Employee Complaint Form Simple
- eSignature Nevada Employee Complaint Form Easy
- eSignature Nevada Employee Complaint Form Safe
- Electronic signature Montana Lease Renewal Secure