
Damages Property Form


What is the damages property?
The damages property refers to a legal framework that allows individuals or entities to seek compensation for losses incurred due to unlawful actions, such as unlawful detention. This concept is pivotal in ensuring that affected parties can pursue justice and recover damages related to their property or rights. Understanding the nuances of damages property is essential for anyone looking to navigate the complexities of legal claims and property rights.
Key elements of the damages property
Several key elements define damages property, which are crucial for establishing a valid claim. These include:
- Legal Basis: The claim must be grounded in law, often stemming from statutes or case law that outline the rights of the affected party.
- Proof of Damages: The claimant must provide evidence of the damages suffered, which can include financial losses, property damage, or emotional distress.
- Causation: There must be a clear link between the unlawful action and the damages incurred, demonstrating that the former directly caused the latter.
- Timeliness: Claims must be filed within specific timeframes, as dictated by state laws, to be considered valid.
Steps to complete the damages property
Completing the damages property involves several steps to ensure a thorough and effective claim process. Here are the essential steps:
- Gather Evidence: Collect all relevant documentation, including contracts, photographs, and witness statements that support your claim.
- Consult Legal Counsel: Engaging with a legal professional can provide insights into the validity of your claim and help navigate the legal landscape.
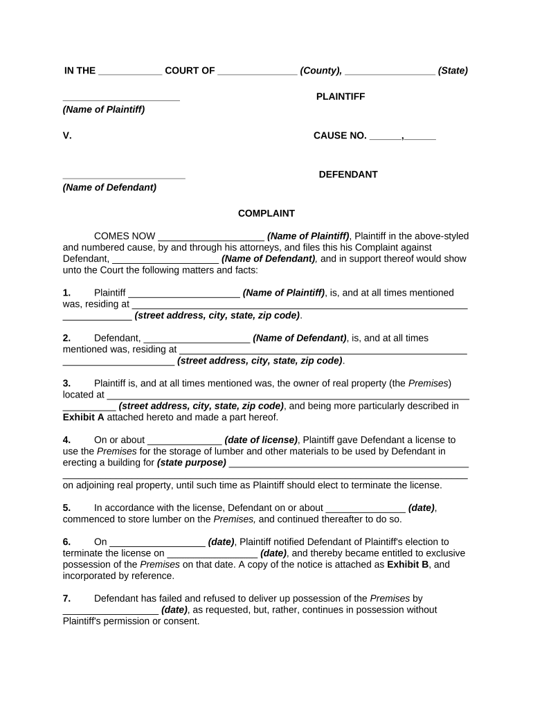
- Prepare the Complaint: Draft a complaint that outlines the details of the unlawful action, the damages incurred, and the relief sought.
- File the Complaint: Submit the complaint to the appropriate court or agency, ensuring compliance with local rules and procedures.
- Attend Hearings: Be prepared to present your case in court, providing evidence and arguments to support your claim.
Legal use of the damages property
The legal use of damages property encompasses various scenarios where individuals seek redress for unlawful actions affecting their rights or property. This includes cases of unlawful detention, where individuals may claim compensation for wrongful imprisonment or loss of property. Understanding the legal framework surrounding damages property is vital for effectively pursuing claims and ensuring that rights are upheld.
State-specific rules for the damages property
Each state in the U.S. has its own set of rules and regulations governing damages property. These rules can dictate the types of damages that can be claimed, the burden of proof required, and the statute of limitations for filing a claim. It is essential for claimants to familiarize themselves with their state's specific laws to ensure compliance and maximize their chances of a successful outcome.
Required documents
When pursuing a damages property claim, several documents are typically required to substantiate the case. These may include:
- Proof of Ownership: Documentation proving ownership of the property in question.
- Incident Reports: Any reports or records related to the unlawful action.
- Medical Records: If applicable, records detailing any injuries or emotional distress incurred.
- Financial Statements: Evidence of financial losses resulting from the unlawful action.
Quick guide on how to complete unlawful rights
Effortlessly Prepare unlawful rights on Any Device
Managing documents online has gained signNow traction among businesses and individuals. It offers an ideal environmentally friendly alternative to conventional printed and signed papers, allowing you to obtain the right format and securely keep it online. airSlate SignNow equips you with all the tools necessary to create, edit, and eSign your documents promptly and efficiently. Manage detention property on any platform using airSlate SignNow's Android or iOS applications, and streamline any document-related task today.
How to Edit and eSign damages property search with Ease
- Obtain complaint unlawful to and click on Get Form to begin.
- Utilize the tools we provide to fill out your document.
- Emphasize important sections of your documents or obscure sensitive information with tools that airSlate SignNow specifically offers for this purpose.
- Generate your signature using the Sign feature, which takes just seconds and carries the same legal authority as a traditional wet ink signature.
- Review the details and click on the Done button to save your modifications.
- Select your preferred method of sending your form, whether by email, text message (SMS), invite link, or download it to your computer.
Say goodbye to lost or misplaced documents, tedious form searching, or mistakes requiring new printed copies. airSlate SignNow fulfills all your document management needs in just a few clicks from any device you prefer. Edit and eSign complaint unlawful form to ensure seamless communication throughout the entire document preparation process with airSlate SignNow.
Create this form in 5 minutes or less
Related searches to detention rights
Create this form in 5 minutes!
People also ask damages unlawful
-
What is detention property in the context of electronic signing?
Detention property refers to documents related to the holding or custody of goods, requiring signatures for verification. With airSlate SignNow, businesses can efficiently eSign and manage detention property documents to enhance workflow efficiency. Our platform ensures that your critical documentation is secured and easily accessible.
-
How does airSlate SignNow handle detention property document security?
AirSlate SignNow prioritizes the security of your detention property documents by implementing advanced encryption and authentication measures. All signed documents are stored securely in the cloud, ensuring that you maintain control over sensitive information. You can confidently send and eSign documents, knowing that your data is protected.
-
What are the key features of airSlate SignNow for managing detention property?
AirSlate SignNow offers comprehensive features for handling detention property, including customizable templates, automated workflows, and real-time tracking of document status. These tools help streamline the signature process, making it faster and more efficient to manage essential documents. Our platform is designed to support your business's unique needs.
-
Is there a cost associated with using airSlate SignNow for detention property eSigning?
Yes, airSlate SignNow offers various pricing tiers to accommodate different business needs for managing detention property. We provide a cost-effective solution without compromising on quality or functionality. You can choose a plan that best fits your organization's size and volume of transactions.
-
Can airSlate SignNow integrate with other software for managing detention property?
Absolutely! AirSlate SignNow integrates seamlessly with a variety of software platforms, enhancing your ability to manage detention property documents. This capability allows you to align our eSigning solution with your existing processes, improving overall efficiency and productivity. Explore our integration options to see how we can fit into your workflow.
-
How can airSlate SignNow improve the efficiency of managing detention property?
By using airSlate SignNow, you can signNowly reduce the time spent on managing detention property documents through streamlined workflows and instant eSigning capabilities. Our user-friendly interface ensures that your team can quickly adapt to the platform, enhancing collaboration. As a result, your property management processes become faster and more reliable.
-
What support options does airSlate SignNow provide for detention property clients?
AirSlate SignNow offers comprehensive support for all clients managing detention property, including live chat, email support, and a detailed knowledge base. Our dedicated support team is readily available to assist you with any questions or concerns. We are committed to ensuring your experience with our platform is smooth and successful.
Get more for damages plaintiff
Find out other damages property to
- Electronic signature California Life Sciences Lease Agreement Fast
- Electronic signature California Life Sciences Living Will Later
- Electronic signature California Life Sciences Living Will Myself
- Electronic signature California Life Sciences Lease Agreement Simple
- Electronic signature California Life Sciences Living Will Free
- Electronic signature California Life Sciences Living Will Secure
- Electronic signature California Life Sciences Living Will Fast
- Electronic signature California Life Sciences Living Will Simple
- Electronic signature California Life Sciences Lease Agreement Easy
- Electronic signature Life Sciences Form California Online
- Electronic signature California Life Sciences Living Will Easy
- Electronic signature California Life Sciences Living Will Safe
- Electronic signature California Life Sciences Lease Agreement Safe
- How To Electronic signature California Life Sciences Living Will
- Electronic signature Life Sciences Form California Computer
- How Do I Electronic signature California Life Sciences Living Will
- Electronic signature Life Sciences Form California Mobile
- How Can I Electronic signature California Life Sciences Living Will
- Help Me With Electronic signature California Life Sciences Living Will
- Electronic signature California Life Sciences Bill Of Lading Online