
Agreement for Permission to Sublet Form


What is the Agreement For Permission To Sublet
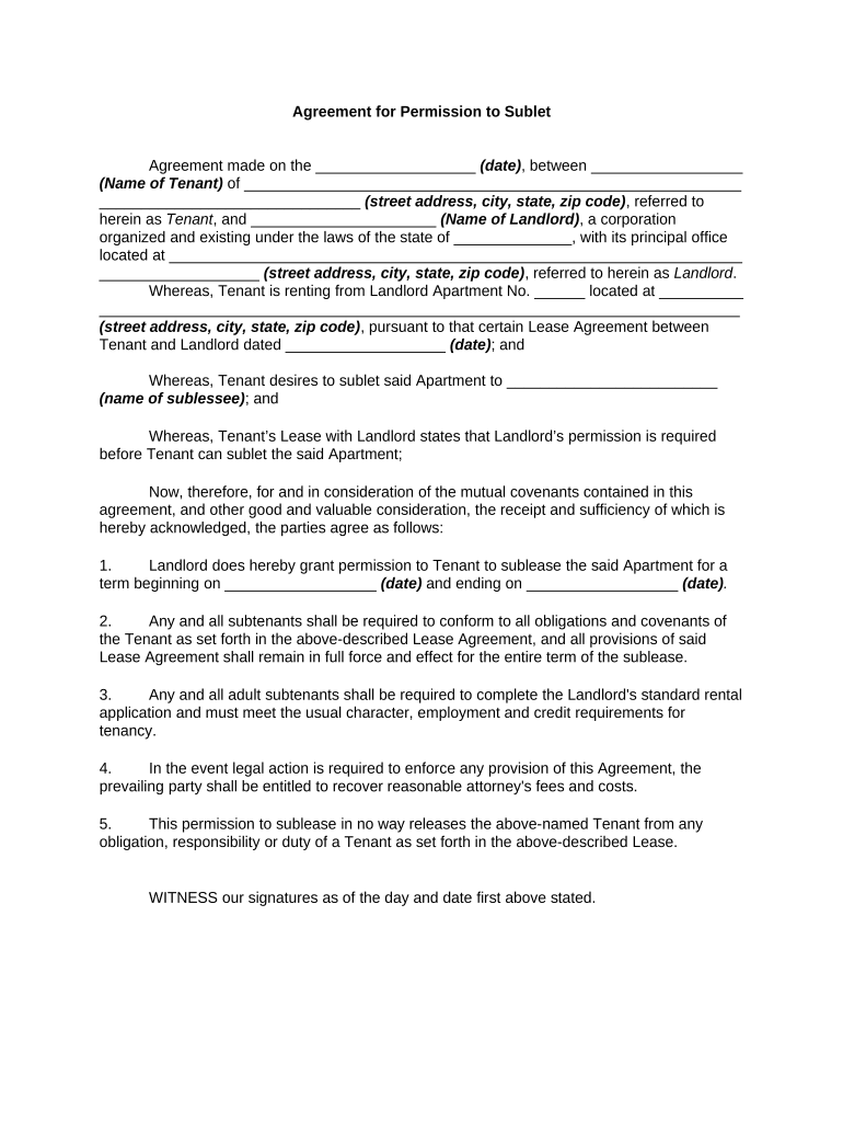
The Agreement For Permission To Sublet is a legal document that allows a tenant to rent out their leased property to another individual, known as the subtenant. This agreement outlines the terms and conditions under which the sublet occurs, ensuring that both the original tenant and the landlord are in agreement regarding the arrangement. It is essential for protecting the rights of all parties involved and for maintaining compliance with the original lease agreement.
How to use the Agreement For Permission To Sublet
Using the Agreement For Permission To Sublet involves several steps. First, the tenant must obtain the form, which can typically be found online or through a legal resource. Next, the tenant should fill out the form with relevant details, including the names of both the tenant and subtenant, the property address, and the duration of the sublet. After completing the form, it must be submitted to the landlord for approval. Once the landlord signs the agreement, the subtenant can legally occupy the property under the terms specified.
Steps to complete the Agreement For Permission To Sublet
Completing the Agreement For Permission To Sublet requires careful attention to detail. Here are the steps to follow:
- Obtain the form from a reliable source.
- Fill in the tenant's and subtenant's information accurately.
- Specify the property address and the duration of the sublet.
- Outline any specific terms or conditions, such as rent amount and payment due dates.
- Review the completed form for accuracy.
- Submit the form to the landlord for approval.
- Ensure that all parties sign the agreement once approved.
Key elements of the Agreement For Permission To Sublet
Several key elements must be included in the Agreement For Permission To Sublet to ensure its effectiveness:
- Identification of Parties: Clearly state the names of the tenant, subtenant, and landlord.
- Property Description: Include the address and any specific details about the property being sublet.
- Duration: Specify the start and end dates of the sublet period.
- Rent Details: Outline the rent amount, payment schedule, and any security deposit requirements.
- Responsibilities: Define the responsibilities of both the tenant and subtenant, including maintenance and utilities.
- Landlord Approval: Include a section for the landlord's signature to indicate approval.
Legal use of the Agreement For Permission To Sublet
The legal use of the Agreement For Permission To Sublet hinges on compliance with local laws and the original lease agreement. It is crucial for tenants to ensure that subletting is permitted under their lease terms and that they follow any specific procedures outlined by the landlord. A properly executed agreement can protect the rights of the tenant and subtenant, preventing potential disputes and ensuring that all parties understand their obligations.
State-specific rules for the Agreement For Permission To Sublet
State-specific rules regarding subletting can vary significantly. In some states, tenants may be required to obtain explicit permission from their landlord before subletting, while others may allow subletting without prior approval. It is important for tenants to research their state's laws regarding subletting to ensure compliance and avoid potential legal issues. Understanding these regulations can help tenants navigate the subletting process more effectively.
Quick guide on how to complete agreement for permission to sublet
Prepare [SKS] effortlessly on any device
Digital document management has become increasingly popular among businesses and individuals. It offers an excellent eco-friendly alternative to traditional printed and signed paperwork, enabling you to obtain the correct template and securely store it online. airSlate SignNow equips you with all the tools necessary to create, edit, and eSign your documents swiftly without delays. Manage [SKS] on any device using airSlate SignNow's Android or iOS applications and enhance any document-centric process today.
How to alter and eSign [SKS] with ease
- Locate [SKS] and click Get Form to commence.
- Utilize the tools we provide to fill out your template.
- Emphasize key sections of the documents or redact sensitive information with tools that airSlate SignNow has designed specifically for that purpose.
- Create your signature using the Sign tool, which takes mere seconds and holds the same legal validity as a conventional wet ink signature.
- Review all the details and click the Done button to save your modifications.
- Choose your preferred method to send your template, whether by email, text message (SMS), invite link, or download it to your computer.
Eliminate concerns about lost or misplaced files, tedious form searching, or mistakes that require reprinting new document copies. airSlate SignNow addresses all your document management needs with just a few clicks from a device of your choice. Modify and eSign [SKS] to ensure exceptional communication at every phase of your document preparation process with airSlate SignNow.
Create this form in 5 minutes or less
Related searches to Agreement For Permission To Sublet
Create this form in 5 minutes!
People also ask
-
What is an Agreement For Permission To Sublet?
An Agreement For Permission To Sublet is a legal document that outlines the terms and conditions under which a tenant can sublease a rental property. This agreement ensures that the landlord approves the subletting arrangement and protects the rights of all parties involved.
-
How do I create an Agreement For Permission To Sublet using airSlate SignNow?
Creating an Agreement For Permission To Sublet with airSlate SignNow is simple. You can start with one of our customizable templates, fill in the required details, and send it for eSignature. Our platform allows for easy edits and instant sharing, ensuring a smooth subletting process.
-
What are the benefits of using airSlate SignNow for my Agreement For Permission To Sublet?
Using airSlate SignNow for your Agreement For Permission To Sublet offers several benefits, including a user-friendly interface, quick turnaround time, and secure eSignature options. You can streamline your document workflow, reduce paper usage, and maintain compliance effortlessly.
-
Is there a cost associated with creating an Agreement For Permission To Sublet on airSlate SignNow?
Yes, there is a cost associated with using airSlate SignNow, but it is competitive and offers various pricing plans to suit your needs. The investment provides access to a range of features, including unlimited eSignatures and document storage, helping you efficiently manage your Agreement For Permission To Sublet.
-
Can I integrate airSlate SignNow with other tools for my Agreement For Permission To Sublet?
Absolutely! airSlate SignNow integrates seamlessly with numerous applications such as Google Drive, Dropbox, and CRM systems. These integrations allow you to manage your Agreement For Permission To Sublet more efficiently and enhance your overall document management experience.
-
How long does it take to eSign my Agreement For Permission To Sublet?
The eSigning process for your Agreement For Permission To Sublet on airSlate SignNow is quick and efficient, typically taking just a few minutes. Signers can access the document through a link, review it, and sign it from any device, providing utmost convenience.
-
What can I do if my tenant refuses to sign the Agreement For Permission To Sublet?
If your tenant refuses to sign the Agreement For Permission To Sublet, it’s essential to communicate openly about their concerns. airSlate SignNow allows for real-time collaboration and comment features, helping you address their issues and negotiate terms that may make them more agreeable.
Get more for Agreement For Permission To Sublet
- Sba form 770 100652593
- Dormogovformsmo timedepartment use only form mmddyy mo time time zone
- Veteran application for admission iowa form
- Form 1776 missouri department of revenue
- State of iowa taxesiowa department of revenueiowa individual tax informationiowa department of revenuestate of iowa taxesiowa
- Supplemental security income in wisconsinwisconsinsupplemental security income in wisconsinwisconsinwisconsin dmv official form
- Bid confirmation summary sheet form
- Schedule f 622996868 form
Find out other Agreement For Permission To Sublet
- eSignature Utah Charity Executive Summary Template Fast
- eSignature Car Dealer PDF Utah Later
- eSignature Utah Charity Executive Summary Template Simple
- eSignature Tennessee Charity Lease Termination Letter Simple
- eSignature Utah Charity Executive Summary Template Easy
- eSignature Tennessee Charity Lease Termination Letter Easy
- eSignature Utah Charity Executive Summary Template Safe
- eSignature Car Dealer PDF Utah Myself
- eSignature Utah Charity Residential Lease Agreement Online
- eSignature Tennessee Charity Lease Termination Letter Safe
- eSignature Car Dealer PDF Utah Free
- eSignature Utah Charity Residential Lease Agreement Computer
- eSignature Utah Charity Residential Lease Agreement Mobile
- eSignature Utah Charity Residential Lease Agreement Now
- eSignature Utah Charity Residential Lease Agreement Later
- eSignature Car Dealer PDF Utah Secure
- eSignature Utah Charity Residential Lease Agreement Myself
- eSignature Utah Charity Residential Lease Agreement Free
- How To eSignature Utah Charity Executive Summary Template
- eSignature Utah Charity Residential Lease Agreement Secure