
Pension Letter Form


What is the Pension Letter
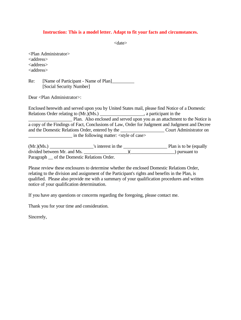
A pension letter is an official document that outlines the details of an individual's pension benefits. It serves as a formal notification of the amount of pension one is entitled to receive upon retirement or in the event of disability. This letter typically includes essential information such as the pension plan type, the beneficiary's name, the effective date of benefits, and any conditions that may apply. Understanding the contents of this letter is crucial for recipients to manage their financial planning effectively.
Key Elements of the Pension Letter
When reviewing a pension letter, several key elements should be noted:
- Beneficiary Information: The name of the individual entitled to receive the pension benefits.
- Pension Plan Details: Information about the specific pension plan, including whether it is defined benefit or defined contribution.
- Benefit Amount: The total amount of pension benefits that will be paid, often stated monthly or annually.
- Effective Date: The date when the pension benefits will commence.
- Conditions: Any stipulations or requirements that must be met to receive the benefits.
Steps to Complete the Pension Letter
Completing a pension letter involves several important steps to ensure accuracy and compliance:
- Gather Necessary Information: Collect all relevant personal and employment details, including your Social Security number and employment history.
- Fill Out the Letter: Use a clear and concise format to input your information, ensuring all required fields are completed.
- Review for Accuracy: Double-check all entries for correctness to avoid delays in processing.
- Sign and Date: Include your signature and the date to validate the letter.
- Submit the Letter: Send the completed letter to the appropriate pension office via the preferred submission method.
How to Obtain the Pension Letter
Obtaining a pension letter typically involves contacting the relevant pension authority or employer. Here are the steps to follow:
- Contact the Pension Office: Reach out to the pension office or human resources department of your employer.
- Request the Letter: Formally request a copy of your pension letter, specifying any details that may be necessary for processing.
- Provide Identification: Be prepared to verify your identity with personal information or documentation.
- Follow Up: If you do not receive a response within a reasonable time, follow up to ensure your request is being processed.
Legal Use of the Pension Letter
The pension letter serves as a legally binding document that outlines your rights to pension benefits. To ensure its legal validity:
- Ensure Compliance: Follow all applicable laws and regulations regarding pension benefits in your state.
- Maintain Records: Keep a copy of the pension letter for your records, as it may be needed for tax purposes or disputes.
- Consult Legal Advice: If there are any uncertainties regarding your rights or the contents of the letter, consider seeking legal counsel.
Form Submission Methods
Submitting your pension letter can be done through various methods, depending on the requirements of the pension authority:
- Online Submission: Many pension offices offer online portals for submitting forms securely.
- Mail: You can send the letter via postal service to the designated address of the pension office.
- In-Person Submission: If preferred, you may deliver the letter directly to the pension office.
Quick guide on how to complete pension letter
Effortlessly prepare pension letter on any device
Digital document management has gained popularity among businesses and individuals. It offers an ideal eco-friendly alternative to traditional printed and signed documents since you can locate the appropriate form and safely store it online. airSlate SignNow equips you with all the tools necessary to create, edit, and electronically sign your documents promptly without delays. Manage sample formal letter to nj pension and benefits on any device with airSlate SignNow's Android or iOS applications and simplify any document-related process today.
Steps to edit and eSign letter pension sample with ease
- Obtain letter pension application and then click Get Form to begin.
- Utilize the tools we provide to finalize your document.
- Highlight important sections of the documents or redact sensitive information using tools that airSlate SignNow offers specifically for that purpose.
- Create your electronic signature with the Sign tool, which takes mere seconds and holds the same legal validity as a conventional wet ink signature.
- Review all the details and then click on the Done button to save your changes.
- Select how you wish to send your form, whether by email, SMS, or invite link, or download it to your computer.
Eliminate concerns about lost or misplaced files, tedious form navigation, or mistakes that necessitate printing new copies of documents. airSlate SignNow addresses your document management needs in just a few clicks from your chosen device. Edit and eSign letter pension template and ensure outstanding communication at every stage of your form preparation with airSlate SignNow.
Create this form in 5 minutes or less
Related searches to copy of letter request pension verification example
Create this form in 5 minutes!
People also ask sample formal letter to nj pension
-
What is the purpose of a sample formal letter to nj pension and benefits?
A sample formal letter to nj pension and benefits serves as a template for individuals seeking to communicate with the New Jersey Pension and Benefits office. It helps ensure that your request or inquiry is presented in a professional format, which can enhance the likelihood of a timely response.
-
How can airSlate SignNow help me create a sample formal letter to nj pension and benefits?
With airSlate SignNow, you can easily create and customize a sample formal letter to nj pension and benefits using our intuitive template features. This allows you to input your personal information and relevant details quickly, ensuring your communication is precise and clear.
-
What features does airSlate SignNow offer for document signing?
AirSlate SignNow offers a comprehensive range of features including electronic signatures, document templates, and collaboration tools. These features make it easy for you to manage and send a sample formal letter to nj pension and benefits efficiently, from anywhere.
-
Is there a cost associated with using airSlate SignNow to send a sample formal letter to nj pension and benefits?
AirSlate SignNow provides a cost-effective solution with various pricing plans tailored to your needs. Whether you’re sending a single sample formal letter to nj pension and benefits or managing multiple documents, there’s a plan that fits your budget.
-
Can I integrate airSlate SignNow with other applications?
Yes, airSlate SignNow offers integrations with many popular applications, allowing you to streamline your workflow. This means you can easily access a sample formal letter to nj pension and benefits alongside your other essential tools, enhancing efficiency.
-
What types of documents can I create with airSlate SignNow besides a sample formal letter to nj pension and benefits?
In addition to a sample formal letter to nj pension and benefits, airSlate SignNow enables you to create various types of documents such as contracts, agreements, and invoices. This versatility can help you address multiple needs within your business operations.
-
How does airSlate SignNow ensure the security of my documents?
AirSlate SignNow employs advanced security measures, including SSL encryption and secure cloud storage, to protect your documents. This ensures that your sample formal letter to nj pension and benefits, as well as other sensitive information, remains confidential and secure.
Get more for pnc benefit letter pension
Find out other new sas opinoin letter pension audit
- Help Me With eSignature Maryland Orthodontists Document
- How Can I eSignature Maryland Orthodontists Document
- How Do I eSignature Maryland Orthodontists Word
- Help Me With eSignature Maryland Orthodontists Word
- Can I eSignature Maryland Orthodontists Document
- How Can I eSignature Maryland Orthodontists Word
- How To eSignature Maryland Orthodontists Document
- Can I eSignature Maryland Orthodontists Word
- How Do I eSignature Maryland Orthodontists Document
- Help Me With eSignature Maryland Orthodontists Document
- How Can I eSignature Maryland Orthodontists Document
- How To eSignature Maryland Orthodontists Word
- Can I eSignature Maryland Orthodontists Document
- How Do I eSignature Maryland Orthodontists Word
- How To eSignature Maryland Orthodontists Document
- How Do I eSignature Maryland Orthodontists Document
- Help Me With eSignature Maryland Orthodontists Document
- How To eSignature Maryland Orthodontists Document
- Help Me With eSignature Maryland Orthodontists Word
- How Can I eSignature Maryland Orthodontists Document