
General Notice of Default for Contract for Deed West Virginia Form


What is the General Notice Of Default For Contract For Deed West Virginia
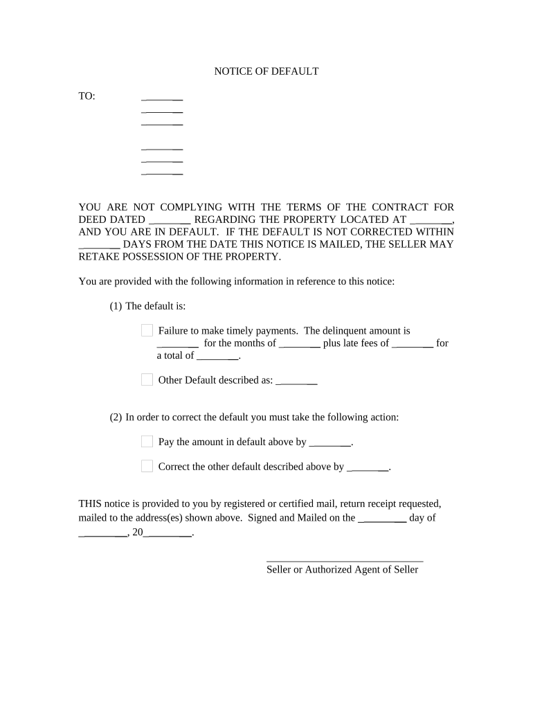
The General Notice of Default for Contract for Deed in West Virginia is a formal document used to inform a buyer that they are in default on their payment obligations under a contract for deed. This notice serves as a critical step in the process of addressing payment issues and may lead to further legal actions if the default is not remedied. It outlines the specifics of the default, including the amount owed and any applicable deadlines for remedying the situation.
Steps to complete the General Notice Of Default For Contract For Deed West Virginia
Completing the General Notice of Default for Contract for Deed in West Virginia involves several important steps:
- Identify the parties involved: Ensure that the names and addresses of both the buyer and seller are accurate.
- Detail the default: Clearly specify the nature of the default, including missed payments and any other breaches of the contract.
- Include relevant dates: Document the date of the notice and any deadlines for remedying the default.
- Sign the document: The seller must sign the notice to validate it legally.
Legal use of the General Notice Of Default For Contract For Deed West Virginia
The legal use of the General Notice of Default for Contract for Deed in West Virginia is essential for enforcing the rights of the seller. This document must adhere to state regulations to be considered valid. It acts as a prerequisite for initiating further legal proceedings, such as foreclosure, should the buyer fail to rectify the default within the specified timeframe. Properly executing this notice helps protect the seller's interests and ensures compliance with local laws.
Key elements of the General Notice Of Default For Contract For Deed West Virginia
Several key elements must be included in the General Notice of Default for Contract for Deed in West Virginia:
- The date the notice is issued.
- The names and addresses of both the buyer and seller.
- A clear statement of the default, including the amount owed.
- Instructions for remedying the default, including any deadlines.
- The signature of the seller or their authorized representative.
How to use the General Notice Of Default For Contract For Deed West Virginia
Using the General Notice of Default for Contract for Deed in West Virginia involves delivering the completed notice to the buyer. This can be done through certified mail or personal delivery to ensure that there is a record of receipt. It is important to keep a copy of the notice for your records as it may be required for future legal proceedings. Following the delivery, monitor the buyer's response and be prepared to take further action if necessary.
State-specific rules for the General Notice Of Default For Contract For Deed West Virginia
West Virginia has specific rules governing the issuance of a General Notice of Default for Contract for Deed. These rules dictate the format of the notice, the information that must be included, and the timeline for the buyer to respond to the notice. It is crucial to adhere to these regulations to ensure that the notice is legally enforceable. Failure to comply with state rules may result in delays or complications in resolving the default.
Quick guide on how to complete general notice of default for contract for deed west virginia
Effortlessly Prepare [SKS] on Any Device
Digital document management has gained traction among businesses and individuals alike. It offers an ideal environmentally friendly alternative to traditional printed and signed documents, enabling you to locate the necessary form and securely save it online. airSlate SignNow equips you with all the resources required to create, modify, and electronically sign your documents swiftly, without any delays. Handle [SKS] on any device using airSlate SignNow's Android or iOS applications and enhance any document-related process today.
How to Modify and Electronically Sign [SKS] with Ease
- Find [SKS] and click on Get Form to begin.
- Make use of the tools we provide to fill in your document.
- Draw attention to important sections of the documents or redact confidential information using tools specifically designed for that purpose by airSlate SignNow.
- Create your signature using the Sign tool, which takes just moments and carries the same legal validity as a conventional wet ink signature.
- Review the information and click on the Done button to save your changes.
- Select how you wish to share your form, whether by email, SMS, or invitation link, or download it to your computer.
No more concerns about lost or misfiled documents, tedious searches for forms, or mistakes that necessitate printing new copies. airSlate SignNow fulfills all your document management needs with just a few clicks from your preferred device. Edit and eSign [SKS] and guarantee exceptional communication at any stage of your form preparation process with airSlate SignNow.
Create this form in 5 minutes or less
Create this form in 5 minutes!
People also ask
-
What is a General Notice Of Default For Contract For Deed in West Virginia?
A General Notice Of Default For Contract For Deed in West Virginia is a formal notification that a buyer has failed to fulfill their contractual obligations under a deed contract. This document is essential for legal proceedings and serves as a warning that foreclosure may occur if the issues are not resolved. Understanding this notice can help both buyers and sellers navigate their obligations effectively.
-
How can airSlate SignNow assist with the General Notice Of Default For Contract For Deed in West Virginia?
airSlate SignNow provides a user-friendly platform for drafting and sending a General Notice Of Default For Contract For Deed in West Virginia electronically. Using our solution, you can eSign documents swiftly and securely, ensuring that all parties have a clear record of their agreements. This streamlines the process and reduces the risk of errors or miscommunication.
-
What features does airSlate SignNow offer for creating legal notices like General Notice Of Default For Contract For Deed in West Virginia?
airSlate SignNow offers features such as custom templates, advanced eSignature capabilities, and document tracking specifically designed for legal documents like the General Notice Of Default For Contract For Deed in West Virginia. You can also collaborate with multiple parties and receive notifications when documents are signed, enhancing your workflow efficiency.
-
Is airSlate SignNow a cost-effective solution for managing the General Notice Of Default For Contract For Deed in West Virginia?
Yes, airSlate SignNow is a cost-effective solution that allows you to manage documents like the General Notice Of Default For Contract For Deed in West Virginia without incurring high printing or mailing costs. Our subscription plans cater to businesses of all sizes, providing you with an affordable way to streamline document management processes.
-
Can I integrate airSlate SignNow with other software for managing contract defaults?
Absolutely! airSlate SignNow offers seamless integration with various CRM and document management systems. This allows you to efficiently manage and track General Notice Of Default For Contract For Deed in West Virginia alongside other important documents in your workflow, simplifying your operations.
-
What are the benefits of using airSlate SignNow for sending the General Notice Of Default For Contract For Deed in West Virginia?
Using airSlate SignNow for sending the General Notice Of Default For Contract For Deed in West Virginia ensures that your documents are sent quickly and securely. Our platform reduces turnaround time and offers legal compliance features that protect all parties involved, allowing you to focus on resolving any default issues effectively.
-
How do I create and send a General Notice Of Default For Contract For Deed in West Virginia using airSlate SignNow?
Creating and sending a General Notice Of Default For Contract For Deed in West Virginia using airSlate SignNow is simple. First, choose a template or create a document from scratch. Next, input the relevant details, send it for eSignature, and track its progress until it is fully executed, all within our intuitive platform.
Get more for General Notice Of Default For Contract For Deed West Virginia
- Brazeees com form
- Tour operator renewal form travel belize btb travelbelize
- Tennessee blue cross blue shield return checks form
- Claim form delta dental of idaho
- Shift 4 tsys profit center form
- Pre employment reference check form hr az
- Rcmp form 2347 18e
- 1001 letters for all occasions pdf 400418842 form
Find out other General Notice Of Default For Contract For Deed West Virginia
- Can I Sign Arkansas Recruitment Strategy Agreement Template
- How Can I Sign Nevada Debit Memo
- Sign Nevada Debit Memo Easy
- Sign Missouri Outsourcing Services Contract Online
- Can I Sign Nevada Debit Memo
- Sign Missouri Outsourcing Services Contract Computer
- Sign Nevada Debit Memo Safe
- Sign Missouri Outsourcing Services Contract Mobile
- Sign Missouri Outsourcing Services Contract Now
- Sign Missouri Outsourcing Services Contract Later
- Sign Missouri Outsourcing Services Contract Myself
- How To Sign Missouri Outsourcing Services Contract
- Sign Missouri Outsourcing Services Contract Secure
- Sign Missouri Outsourcing Services Contract Free
- Sign Missouri Outsourcing Services Contract Fast
- Sign Missouri Outsourcing Services Contract Simple
- How Do I Sign Missouri Outsourcing Services Contract
- Sign Missouri Outsourcing Services Contract Easy
- Sign Missouri Outsourcing Services Contract Safe
- Help Me With Sign Missouri Outsourcing Services Contract