
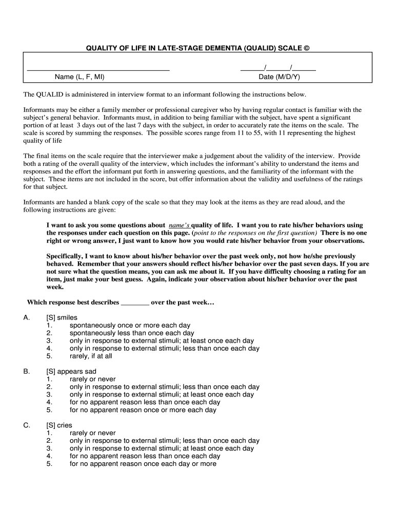
Qualid Form


What is the Qualid?
The qualid scale is a structured framework designed to assess and categorize various aspects of a specific process or entity. It serves as a tool for evaluation, helping individuals and organizations understand the nuances of compliance and performance. This scale is particularly relevant in contexts where documentation and electronic signatures play a crucial role, ensuring that all parties involved are aware of their responsibilities and the implications of their actions.
How to Use the Qualid
Utilizing the qualid scale involves several steps that ensure accurate assessment and compliance. First, gather all necessary documentation related to the process or entity being evaluated. Next, apply the qualid scale to assess various criteria, including legal compliance, operational efficiency, and risk management. It is important to document each step thoroughly, as this will aid in future evaluations and ensure transparency throughout the process.
Legal Use of the Qualid
The qualid scale is legally recognized when it adheres to established regulations governing electronic documentation and signatures. Compliance with frameworks such as the ESIGN Act and UETA is essential to ensure that the qualid form is considered valid in legal contexts. By following these regulations, users can confidently execute documents electronically, knowing that they meet the necessary legal standards.
Steps to Complete the Qualid
Completing the qualid form involves a systematic approach to ensure accuracy and compliance. Begin by reviewing the requirements specific to your situation. Next, fill out the form with all relevant information, ensuring that all fields are completed accurately. After filling out the form, review it for any errors or omissions. Finally, submit the qualid form electronically or through the designated submission method, ensuring that all necessary signatures are included.
Key Elements of the Qualid
Understanding the key elements of the qualid scale is crucial for effective use. These elements typically include the criteria for evaluation, the documentation required, and the specific legal frameworks that govern its use. Additionally, it is important to be aware of any state-specific rules that may apply, as these can vary significantly across different jurisdictions.
Examples of Using the Qualid
The qualid scale can be applied in various scenarios, such as assessing compliance in business operations or evaluating the effectiveness of internal controls. For instance, a company may use the qualid scale to review its adherence to regulatory requirements, ensuring that all necessary documentation is in place and properly executed. This practical application helps organizations identify areas for improvement and enhance their overall compliance posture.
Required Documents
When working with the qualid scale, specific documents are typically required to support the evaluation process. These may include identification documents, previous compliance reports, and any relevant legal agreements. Ensuring that all required documents are prepared and available will facilitate a smoother evaluation process and help maintain compliance with applicable regulations.
Quick guide on how to complete qualid scale
Effortlessly Prepare qualid scale on Any Device
Digital document management has become increasingly favored by businesses and individuals alike. It serves as an excellent eco-friendly substitute for conventional printed and signed paperwork, allowing you to obtain the necessary form and securely store it online. airSlate SignNow equips you with all the tools required to create, edit, and eSign your documents quickly and without delays. Handle qualid scale on any device using airSlate SignNow's Android or iOS applications and enhance any document-related process today.
How to Edit and eSign qualid with Ease
- Obtain qualid scale and click Get Form to begin.
- Use the tools provided to complete your document.
- Emphasize relevant sections of your documents or redact sensitive information with the tools specifically offered by airSlate SignNow for that purpose.
- Create your signature using the Sign tool, which takes just seconds and carries the same legal validity as a traditional handwritten signature.
- Review the information and click the Done button to save your changes.
- Choose your preferred method to send your form, whether by email, text message (SMS), or invitation link, or download it to your computer.
Say goodbye to lost or misplaced documents, tedious form navigation, or errors that necessitate printing new copies. airSlate SignNow meets all your document management requirements in just a few clicks from any device you choose. Modify and eSign qualid and guarantee excellent communication at every stage of the form preparation process with airSlate SignNow.
Create this form in 5 minutes or less
Related searches to qualid scale
Create this form in 5 minutes!
How to create an eSignature for the qualid
How to create an electronic signature for a PDF online
How to create an electronic signature for a PDF in Google Chrome
How to create an e-signature for signing PDFs in Gmail
How to create an e-signature right from your smartphone
How to create an e-signature for a PDF on iOS
How to create an e-signature for a PDF on Android
People also ask qualid
-
What is the qualid scale of airSlate SignNow's eSigning features?
The qualid scale of airSlate SignNow's eSigning features includes a user-friendly interface, high-level security, and compliance with industry standards. This ensures that you can sign documents easily and securely, providing a trustworthy experience. Our solution is designed to meet diverse business needs while maintaining optimal performance.
-
How does airSlate SignNow's pricing align with its qualid scale?
airSlate SignNow offers competitive pricing that reflects its qualid scale of services. With flexible plans, businesses can select options that best match their document signing needs without overspending. Each pricing tier provides essential features for efficiency and collaboration, making it a cost-effective choice.
-
What benefits can I expect from using airSlate SignNow related to the qualid scale?
When using airSlate SignNow, you can expect numerous benefits tied to its qualid scale, such as improved efficiency in document workflows and enhanced collaboration. The platform's ease of use helps save time for both senders and signers, while robust security measures protect sensitive information. This combination ultimately contributes to a more productive environment.
-
Can airSlate SignNow integrate with other tools to enhance its qualid scale?
Yes, airSlate SignNow can seamlessly integrate with various tools and platforms, enhancing its qualid scale. Popular integrations include CRM systems, cloud storage services, and project management software. These integrations enable streamlined workflows, making it easier for teams to manage their documents efficiently.
-
What document formats are supported by airSlate SignNow's qualid scale?
airSlate SignNow supports a wide range of document formats, which is a key component of its qualid scale. Users can upload and sign PDF, Word, and image files, among others, ensuring flexibility and convenience. This variety allows businesses to handle documents in the formats they use most frequently.
-
Is airSlate SignNow compliant with legal regulations concerning the qualid scale?
Absolutely! airSlate SignNow is fully compliant with legal regulations, ensuring a high qualid scale for eSignatures. This includes adherence to the ESIGN Act and UETA in the United States, as well as GDPR and eIDAS standards in Europe. Users can trust that their signed documents hold legal weight.
-
What support options does airSlate SignNow provide in relation to its qualid scale?
airSlate SignNow offers robust support options as part of its qualid scale, including thorough documentation, customer support, and live chat. Users can easily find answers to their questions or get assistance when needed, ensuring a smooth experience. This commitment to support enhances overall user satisfaction.
Get more for qualid scale
- Rebuilding or restoring the project to its condition prior to such destruction or damage form
- Surrounds mantels closet shelves hanger rods window hardware and door stops setting form
- Drafting suggestions for a sports contractsports law form
- Estimated cost of replacing work already accomplished by contractor exceeds 20 percent of the form
- Owner shall make progress payments on account of the contract price to contractor on the form
- D basement excavations will have approximately form
- Upon termination by form
- Landscaping finish grading or filling is to be performed at the work site by the contractor
Find out other qualid
- Electronic signature Pennsylvania Lodger Agreement Template Later
- Electronic signature Pennsylvania Lodger Agreement Template Myself
- Can I Electronic signature Colorado Storage Rental Agreement
- Electronic signature Pennsylvania Lodger Agreement Template Free
- Electronic signature Pennsylvania Lodger Agreement Template Secure
- Electronic signature Pennsylvania Lodger Agreement Template Fast
- Electronic signature Pennsylvania Lodger Agreement Template Simple
- Electronic signature Pennsylvania Lodger Agreement Template Easy
- Electronic signature Pennsylvania Lodger Agreement Template Safe
- How To Electronic signature Pennsylvania Lodger Agreement Template
- How To Electronic signature Texas Roommate Rental Agreement Template
- Electronic signature Texas Roommate Rental Agreement Template Online
- How Do I Electronic signature Pennsylvania Lodger Agreement Template
- How Do I Electronic signature Texas Roommate Rental Agreement Template
- Help Me With Electronic signature Texas Roommate Rental Agreement Template
- Electronic signature Texas Roommate Rental Agreement Template Computer
- How Can I Electronic signature Texas Roommate Rental Agreement Template
- Can I Electronic signature Texas Roommate Rental Agreement Template
- Help Me With Electronic signature Pennsylvania Lodger Agreement Template
- Electronic signature Texas Roommate Rental Agreement Template Mobile