
State Bar of Wisconsin Form 21


What is the State Bar Of Wisconsin Form 21
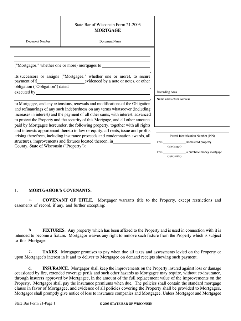
The State Bar Of Wisconsin Form 21 is a legal document used primarily for the purpose of applying for admission to the State Bar of Wisconsin. This form is essential for individuals who have completed their legal education and are seeking to practice law within the state. It includes sections for personal information, educational background, and other relevant details necessary for the admission process. Proper completion of this form is critical, as it initiates the review process by the state bar authorities.
How to use the State Bar Of Wisconsin Form 21
Using the State Bar Of Wisconsin Form 21 involves several key steps. First, applicants must download the form from the official State Bar of Wisconsin website or obtain a physical copy. Next, it is essential to fill out the form accurately, ensuring that all required fields are completed. After filling out the form, applicants should review it for any errors before submitting it. This form can be submitted either online or via mail, depending on the preferences of the applicant and the requirements of the State Bar.
Steps to complete the State Bar Of Wisconsin Form 21
Completing the State Bar Of Wisconsin Form 21 requires careful attention to detail. Here are the steps to follow:
- Download the form from the State Bar of Wisconsin's official site.
- Fill in your personal information, including your name, address, and contact details.
- Provide your educational background, including law school attended and graduation date.
- Disclose any relevant legal experience or internships.
- Review the form for accuracy and completeness.
- Submit the form online or by mailing it to the designated address.
Legal use of the State Bar Of Wisconsin Form 21
The legal use of the State Bar Of Wisconsin Form 21 is crucial for individuals seeking to gain admission to practice law in Wisconsin. This form serves as a formal request for evaluation by the state bar, ensuring that all applicants meet the necessary qualifications and ethical standards. Proper submission and adherence to the guidelines outlined in the form are essential for a successful application process.
Key elements of the State Bar Of Wisconsin Form 21
Key elements of the State Bar Of Wisconsin Form 21 include personal identification information, educational history, and professional experience. Additionally, the form requires applicants to disclose any disciplinary actions or criminal history that may affect their eligibility. Each section is designed to provide the state bar with a comprehensive view of the applicant's qualifications and fitness to practice law.
Form Submission Methods
The State Bar Of Wisconsin Form 21 can be submitted through various methods. Applicants have the option to complete the form electronically and submit it online, which is often the most efficient method. Alternatively, applicants can print the completed form and mail it to the State Bar of Wisconsin's office. In-person submissions may also be accepted, depending on the current policies of the state bar.
Eligibility Criteria
Eligibility criteria for the State Bar Of Wisconsin Form 21 generally include having completed a Juris Doctor degree from an accredited law school. Applicants must also meet character and fitness requirements, which may involve background checks and disclosures of any past legal issues. Understanding these criteria is essential for potential applicants to ensure they meet all necessary qualifications before submitting the form.
Quick guide on how to complete state bar of wisconsin form 21
Complete [SKS] effortlessly on any device
Online document administration has gained traction with businesses and individuals alike. It offers an ideal environmentally conscious alternative to traditional printed and signed documents, allowing you to locate the correct form and securely keep it online. airSlate SignNow equips you with all the tools necessary to create, modify, and eSign your documents quickly and without interruptions. Manage [SKS] on any platform using airSlate SignNow's Android or iOS applications and enhance any document-centric process today.
The easiest way to edit and eSign [SKS] without a hassle
- Acquire [SKS] and then click Get Form to begin.
- Make use of the tools we provide to complete your document.
- Emphasize important sections of the documents or redact sensitive details using the tools that airSlate SignNow specifically offers for this purpose.
- Create your signature with the Sign tool, which takes mere seconds and carries the same legal significance as a conventional wet ink signature.
- Review all the information and then click on the Done button to save your changes.
- Choose how you'd like to send your form, whether by email, SMS, or invitation link, or download it to your computer.
Eliminate the stress of lost or misplaced documents, tiring form searches, or mistakes that necessitate reprinting new document copies. airSlate SignNow fulfills all your document management needs in just a few clicks from any device you prefer. Modify and eSign [SKS] and ensure exceptional communication throughout the document preparation process with airSlate SignNow.
Create this form in 5 minutes or less
Related searches to State Bar Of Wisconsin Form 21
Create this form in 5 minutes!
How to create an eSignature for the state bar of wisconsin form 21
How to create an electronic signature for a PDF online
How to create an electronic signature for a PDF in Google Chrome
How to create an e-signature for signing PDFs in Gmail
How to create an e-signature right from your smartphone
How to create an e-signature for a PDF on iOS
How to create an e-signature for a PDF on Android
People also ask
-
What is the State Bar Of Wisconsin Form 21?
The State Bar Of Wisconsin Form 21 is a legal document used to disclose attorneys' charges to clients. It's essential for maintaining transparency between legal professionals and their clients. Understanding this form helps ensure compliance with state regulations.
-
How can airSlate SignNow assist with the State Bar Of Wisconsin Form 21?
airSlate SignNow offers an efficient way to create, sign, and store the State Bar Of Wisconsin Form 21 electronically. Our platform simplifies the eSigning process, ensuring that you can complete legal documents quickly and securely. With SignNow, you can streamline your document management while staying compliant.
-
What are the pricing plans for using airSlate SignNow for the State Bar Of Wisconsin Form 21?
airSlate SignNow provides various pricing plans tailored to suit different needs, starting with a cost-effective option for individuals and scaling up for teams and businesses. Each plan allows for unlimited eSignatures, including documents like the State Bar Of Wisconsin Form 21. You can choose a plan that best fits your requirements without compromising on features.
-
Are there any integrations available for managing the State Bar Of Wisconsin Form 21?
Yes, airSlate SignNow integrates seamlessly with various applications such as Google Drive, Dropbox, and Microsoft Office. These integrations enable you to easily access and send the State Bar Of Wisconsin Form 21 and other important documents from platforms you already use. This helps in improving workflow efficiency and document management.
-
What are the main benefits of using airSlate SignNow for legal documents?
Using airSlate SignNow for your legal documents, including the State Bar Of Wisconsin Form 21, provides signNow advantages. Key benefits include enhanced security, ease of use, and quick turnaround times for eSigning documents. Our solution is designed to simplify document workflows, saving you time and effort.
-
Is airSlate SignNow compliant with legal regulations for the State Bar Of Wisconsin Form 21?
Absolutely! airSlate SignNow complies with the latest legal regulations, ensuring that the eSigning of the State Bar Of Wisconsin Form 21 is valid and enforceable. We prioritize security and regulatory compliance to give you peace of mind while handling sensitive legal documents.
-
How do I get started with airSlate SignNow for the State Bar Of Wisconsin Form 21?
Getting started with airSlate SignNow is easy! Simply sign up for an account, and you'll have access to create and manage the State Bar Of Wisconsin Form 21 right away. Our user-friendly interface will guide you through the process, making it simple to send and eSign your documents.
Get more for State Bar Of Wisconsin Form 21
- Culture and the adoption of practices an assessment of the form
- Complete pages 1 7 and form
- 511 packet single oklahoma tax commission state of tax ok form
- Annotating esl errors challenges and rewards form
- Seikanseichu application form
- Application for lake dredging wisconsin dnr form 3500 53ir 1 lrec conf
- Aanvraag tijdskrediet landingsbanen home rva rva form
- Technical query form template
Find out other State Bar Of Wisconsin Form 21
- How To Integrate Sign in Banking
- How Do I Integrate Sign in Banking
- Help Me With Integrate Sign in Banking
- How Can I Integrate Sign in Banking
- Can I Integrate Sign in Banking
- How To Use Sign in Banking
- How Do I Use Sign in Banking
- Help Me With Use Sign in Banking
- How Can I Use Sign in Banking
- Can I Use Sign in Banking
- How To Install Sign in Banking
- How Do I Install Sign in Banking
- Help Me With Install Sign in Banking
- How Can I Install Sign in Banking
- Can I Install Sign in Banking
- How To Add Sign in Banking
- How Do I Add Sign in Banking
- Help Me With Add Sign in Banking
- How Can I Add Sign in Banking
- Can I Add Sign in Banking