
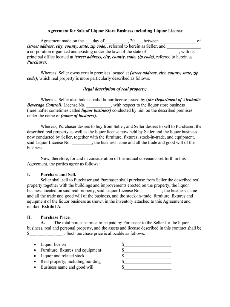
Agreement Liquor License Form


Understanding the Agreement Liquor License
The Agreement Liquor License is a legal document that permits businesses to sell alcoholic beverages. This license is essential for establishments such as bars, restaurants, and liquor stores. Obtaining this license ensures compliance with state and local laws regarding the sale of alcohol, which vary significantly across different jurisdictions. Understanding the specific requirements and regulations in your area is crucial for successful application and operation.
Steps to Obtain the Agreement Liquor License
Acquiring an Agreement Liquor License involves several steps that must be followed meticulously. The process generally includes:
- Researching local and state regulations to understand the specific requirements.
- Completing the necessary application forms, which may vary by state.
- Gathering required documentation, such as proof of business ownership and zoning approvals.
- Submitting the application along with any applicable fees.
- Undergoing a background check, which may include fingerprinting.
- Attending a public hearing if required, where community members can voice their opinions.
- Awaiting approval from the appropriate licensing authority.
Key Elements of the Agreement Liquor License
When applying for an Agreement Liquor License, several key elements must be included to ensure a complete application. These elements typically consist of:
- Business Information: Name, address, and type of business.
- Owner Information: Personal details of the business owner, including identification.
- Type of License: Specification of the type of liquor license being sought (e.g., on-premises or off-premises).
- Proof of Zoning Compliance: Documentation showing that the business location is zoned for alcohol sales.
- Background Check Results: Information regarding any criminal history of the owner or key personnel.
Legal Use of the Agreement Liquor License
The legal use of an Agreement Liquor License is governed by state and local laws. License holders must adhere to the specific regulations that dictate when and how alcohol can be sold. This includes restrictions on sales hours, age verification for customers, and adherence to health and safety standards. Non-compliance can result in penalties, including fines or revocation of the license.
State-Specific Rules for the Agreement Liquor License
Each state in the U.S. has its own set of rules and regulations regarding the Agreement Liquor License. It is important for applicants to familiarize themselves with these state-specific guidelines. For example, some states may have stricter requirements for background checks, while others might impose limitations on the types of alcohol that can be sold. Understanding these nuances is essential for successful compliance and operation.
Required Documents for the Agreement Liquor License
To successfully apply for an Agreement Liquor License, applicants must prepare and submit various documents. Commonly required documents include:
- Completed application form.
- Proof of identity and residency.
- Business formation documents, such as articles of incorporation.
- Zoning approval from local authorities.
- Financial statements or proof of funds.
Application Process & Approval Time
The application process for an Agreement Liquor License can vary significantly in duration depending on the jurisdiction. Generally, applicants can expect the following timeline:
- Initial processing of the application may take several weeks.
- A background check can add additional time, depending on the complexity.
- Public hearings, if required, can extend the timeline further.
- Overall, the entire process can take anywhere from one to six months, depending on local regulations and the completeness of the application.
Quick guide on how to complete liquor license for sale in tennessee
Effortlessly Prepare liquor license for sale in tennessee on Any Device
Digital document management has surged in popularity among businesses and individuals. It serves as an ideal eco-friendly alternative to conventional printed and signed documents, as you can access the needed form and securely store it online. airSlate SignNow provides you with all the tools necessary to swiftly create, modify, and electronically sign your documents without complications. Manage sale license on any device using airSlate SignNow's Android or iOS applications and simplify any document-related task today.
How to Modify and eSign business license template with Ease
- Find agreement liquor license and click Get Form to initiate the process.
- Utilize the tools we provide to complete your document.
- Emphasize pertinent sections of the documents or redact confidential information using the tools that airSlate SignNow specifically designed for that purpose.
- Create your electronic signature with the Sign feature, which takes mere seconds and holds the same legal validity as an ink signature.
- Review all the details and then click the Done button to save your updates.
- Select how you wish to send your document, via email, text (SMS), invitation link, or download it to your computer.
Say goodbye to lost or misfiled documents, tedious form searching, or errors that necessitate printing new copies. airSlate SignNow meets your document management needs with just a few clicks from any device you prefer. Modify and eSign liquor license for sale in abbotsford to ensure effective communication at every stage of the form completion process with airSlate SignNow.
Create this form in 5 minutes or less
Related searches to sale license
Create this form in 5 minutes!
How to create an eSignature for the business license template
How to create an electronic signature for a PDF online
How to create an electronic signature for a PDF in Google Chrome
How to create an e-signature for signing PDFs in Gmail
How to create an e-signature right from your smartphone
How to create an e-signature for a PDF on iOS
How to create an e-signature for a PDF on Android
People also ask liquor license for sale in abbotsford
-
What is a sale license for airSlate SignNow?
A sale license for airSlate SignNow allows businesses to legally use our eSigning and document management platform. It provides access to all core features, enabling efficient electronic signing and management of documents. With a sale license, your team can streamline workflows and enhance productivity.
-
How much does a sale license for airSlate SignNow cost?
The pricing for a sale license with airSlate SignNow varies based on the features and number of users. We offer flexible pricing plans designed to accommodate businesses of all sizes. For specific quotes or discounts for bulk purchases, it's best to contact our sales team directly.
-
What features are included with the sale license?
A sale license includes a range of features such as unlimited document signing, templates, and integrations with popular business tools. Additionally, users gain access to advanced security options and compliance features necessary for legal and business documentation. These capabilities empower teams to work more efficiently and securely.
-
Can I integrate airSlate SignNow with other applications using the sale license?
Yes, a sale license for airSlate SignNow allows integration with various applications, including CRM systems, cloud storage services, and project management tools. This connectivity facilitates seamless workflows and data transfer across platforms. Integrating with your existing tools enhances productivity and document management.
-
What are the benefits of obtaining a sale license for airSlate SignNow?
Obtaining a sale license for airSlate SignNow provides numerous benefits, including improved efficiency in document handling, faster turnaround times for signatures, and signNow cost savings. Users enjoy a user-friendly interface that simplifies eSigning. Ultimately, it empowers teams to focus on what matters most—growing their business.
-
Is the sale license suitable for small businesses?
Absolutely! The sale license for airSlate SignNow is designed to cater to businesses of all sizes, including small enterprises. This solution offers scalable pricing and flexibility, ensuring that even small teams can leverage powerful eSigning features without overspending. It’s an ideal choice for streamlining operations.
-
How secure is the airSlate SignNow platform with a sale license?
Security is a top priority for airSlate SignNow, and our platform includes top-level encryption and compliance with industry standards. A sale license ensures you benefit from these security features, safeguarding your important documents and data. Users can sign and manage their documents with confidence, knowing they are protected.
Get more for liquor license for sale in tennessee
- Planned parenthood form
- Flexible use reservation request floridagrandvacations com form
- Ledger templates type document form
- Translink fare infraction form
- California form 5806
- Winloss statement request form cahuilla casino
- Employment application acumenfiscalagent com form
- Child bipolar questionnaire pdf form
Find out other liquor condition agreement
- Electronic signature Texas Construction Bill Of Lading Myself
- How Can I Electronic signature Oklahoma Doctors Lease Agreement
- Electronic signature Doctors PDF Oregon Mobile
- Electronic signature Texas Construction Bill Of Lading Free
- Electronic signature Texas Construction Bill Of Lading Secure
- Can I Electronic signature Oklahoma Doctors Lease Agreement
- Electronic signature Texas Construction Bill Of Lading Fast
- Electronic signature Doctors PDF Oregon Now
- Electronic signature Texas Construction Bill Of Lading Simple
- Electronic signature Texas Construction Bill Of Lading Easy
- Electronic signature Texas Construction Bill Of Lading Safe
- Electronic signature Doctors PDF Oregon Later
- Electronic signature Doctors Word Oregon Online
- Electronic signature Doctors PDF Oregon Myself
- Electronic signature Doctors Word Oregon Computer
- How To Electronic signature Texas Construction Bill Of Lading
- Electronic signature Doctors Word Oregon Mobile
- Electronic signature Doctors Word Oregon Now
- How Do I Electronic signature Texas Construction Bill Of Lading
- Electronic signature Doctors PDF Oregon Free