
SAMPLE LAND CONTRACT Rurallawcenter Org Form


Key elements of a land sale agreement
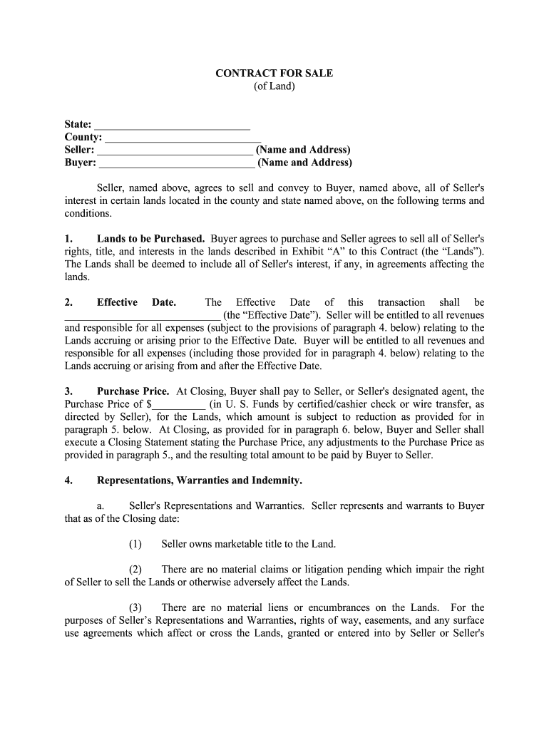
A land sale agreement is a crucial document that outlines the terms and conditions of the sale of vacant land. Key elements to include in this agreement are:
- Parties involved: Clearly identify the buyer and seller, including their full names and contact information.
- Description of the property: Provide a detailed description of the land, including its location, size, and any unique features.
- Purchase price: Specify the total purchase price and any deposit or down payment required.
- Payment terms: Outline the payment schedule, including any financing arrangements or contingencies.
- Closing date: Set a timeline for when the sale will be finalized and ownership transferred.
- Contingencies: Include any conditions that must be met before the sale can proceed, such as inspections or financing approval.
- Signatures: Ensure that both parties sign and date the agreement to make it legally binding.
Steps to complete a land sale agreement
Completing a land sale agreement involves several important steps to ensure that all legal requirements are met. Here is a straightforward process to follow:
- Gather necessary information: Collect details about the property, including its legal description, tax ID number, and any existing liens or encumbrances.
- Draft the agreement: Use a template or create a custom document that includes all essential elements of the sale.
- Review the terms: Both parties should carefully review the agreement to ensure clarity and mutual understanding.
- Negotiate terms: If necessary, discuss and negotiate any terms that may require adjustments before finalizing the document.
- Sign the agreement: Both the buyer and seller should sign the document in the presence of a witness or notary, if required by state law.
- File the agreement: Depending on local regulations, you may need to file the agreement with the appropriate government office.
Legal use of a land sale agreement
Understanding the legal implications of a land sale agreement is essential for both buyers and sellers. This document serves as a legally binding contract that outlines the rights and responsibilities of each party. To ensure its legality:
- Compliance with state laws: Each state has specific laws governing real estate transactions. It is important to comply with these regulations to avoid disputes.
- Inclusion of essential clauses: Incorporate clauses that address potential issues, such as default, dispute resolution, and property disclosures.
- Consultation with legal professionals: Consider seeking advice from a real estate attorney to ensure that the agreement meets all legal requirements and protects your interests.
Examples of land sale agreements
Reviewing examples of land sale agreements can provide valuable insights into how to structure your own document. Here are a few common scenarios:
- Simple vacant land purchase agreement: This straightforward agreement is used when a buyer purchases undeveloped land without any structures.
- Contract for buying land with financing: This type of agreement outlines the terms of financing, including interest rates and payment schedules.
- Land sale agreement with contingencies: This example includes conditions such as obtaining permits or passing inspections before the sale is finalized.
Required documents for land sale
When preparing for a land sale, several documents are typically required to ensure a smooth transaction. Essential documents include:
- Land title deed: This document proves ownership of the property and is necessary for transferring title to the buyer.
- Property disclosure statement: Sellers may be required to disclose any known issues with the property, such as environmental hazards or zoning restrictions.
- Purchase agreement: The completed land sale agreement serves as the primary document governing the sale.
- Survey report: A recent survey may be needed to confirm property boundaries and any easements or encroachments.
Digital vs. paper version of land sale agreements
Choosing between a digital and paper version of a land sale agreement can impact the efficiency and security of the transaction. Consider the following:
- Convenience: Digital agreements can be easily shared and signed remotely, saving time and reducing the need for physical meetings.
- Security: Electronic signatures are legally recognized and often come with enhanced security features, such as encryption and audit trails.
- Storage and accessibility: Digital documents can be stored securely online, making them easily accessible for future reference, while paper copies may be prone to loss or damage.
Quick guide on how to complete land sale agreement doc
Effortlessly Prepare land sale agreement doc on Any Device
The management of documents online has gained traction among companies and individuals. It offers an ideal eco-conscious alternative to traditional printed and signed documents, as you can locate the correct form and securely keep it online. airSlate SignNow equips you with all the tools necessary to create, edit, and electronically sign your documents quickly and without delays. Manage vacant land for sale forms on any platform using airSlate SignNow's Android or iOS applications and simplify any document-related task today.
How to Edit and Electronically Sign langague for a land contract concerning the death of seller with Ease
- Obtain sale land contract and click on Get Form to begin.
- Utilize the tools we offer to complete your form.
- Emphasize important sections of your documents or obscure sensitive information with features that airSlate SignNow offers specifically for that purpose.
- Create your electronic signature using the Sign tool, which takes mere seconds and holds the same legal validity as a traditional ink signature.
- Review all information carefully and click on the Done button to save your modifications.
- Choose how you wish to send your form: via email, text message (SMS), invite link, or download it to your computer.
Say goodbye to lost or misplaced files, tedious form searches, or errors that necessitate printing new document copies. airSlate SignNow addresses all your document management needs in just a few clicks from any preferred device. Modify and electronically sign land sale agreement form to ensure clear communication at every step of the form preparation process with airSlate SignNow.
Create this form in 5 minutes or less
Related searches to contract for buying land
Create this form in 5 minutes!
How to create an eSignature for the land sale agreement
How to create an eSignature for your Sample Land Contract Rurallawcenterorg in the online mode
How to make an electronic signature for the Sample Land Contract Rurallawcenterorg in Google Chrome
How to make an electronic signature for putting it on the Sample Land Contract Rurallawcenterorg in Gmail
How to make an eSignature for the Sample Land Contract Rurallawcenterorg right from your smart phone
How to generate an electronic signature for the Sample Land Contract Rurallawcenterorg on iOS devices
How to generate an electronic signature for the Sample Land Contract Rurallawcenterorg on Android OS
People also ask contract sale land template
-
What are vacant land for sale forms?
Vacant land for sale forms are legal documents that facilitate the buying and selling of undeveloped property. These forms outline critical details such as property descriptions, buyer and seller information, and terms of sale. With airSlate SignNow, you can easily create and modify these forms to meet your specific needs.
-
How does airSlate SignNow streamline the process of using vacant land for sale forms?
airSlate SignNow simplifies the creation and management of vacant land for sale forms by allowing you to electronically sign and share documents in real-time. This reduces paperwork and speeds up transaction times, making the buying process more efficient. Additionally, its user-friendly interface ensures that all parties can easily navigate and complete the necessary forms.
-
Can I integrate airSlate SignNow with other tools for managing vacant land for sale forms?
Yes, airSlate SignNow offers seamless integrations with various software and tools, enhancing your experience when working with vacant land for sale forms. Whether you need to sync with CRM platforms, payment processors, or document storage solutions, airSlate SignNow ensures a smooth workflow. This flexibility helps streamline processes and improves overall efficiency.
-
What are the pricing options for using airSlate SignNow for vacant land for sale forms?
airSlate SignNow offers competitive pricing plans that cater to different business needs, including options for startups, mid-sized companies, and enterprises. Each plan includes features specifically designed to facilitate the efficient management of vacant land for sale forms. To find the best fit for your requirements, consider reviewing the detailed pricing information on our website.
-
Are vacant land for sale forms customizable with airSlate SignNow?
Absolutely! airSlate SignNow allows you to customize vacant land for sale forms to align with your business requirements. You can add company branding, specific terms, and conditions, or any additional clauses as needed. This customization ensures that all documents reflect your professional standards and meet legal requirements.
-
How secure are the vacant land for sale forms created with airSlate SignNow?
Security is a top priority at airSlate SignNow. All vacant land for sale forms are protected with encryption and comply with industry standards for data protection. In addition, user authentication features ensure that only authorized individuals can access and sign the documents, providing peace of mind during sensitive transactions.
-
Can I track the status of vacant land for sale forms sent through airSlate SignNow?
Yes, airSlate SignNow offers robust tracking features that allow you to monitor the status of your vacant land for sale forms at every step of the process. You can see when a document is viewed, signed, or declined, ensuring all parties stay informed. This transparency facilitates smoother communication and helps avoid any delays in closing transactions.
Get more for contract sale land sample
- Motion for an order to show cause wyoming judicial branch courts state wy form
- Morgan state 1098 t form
- When completing this form please use a pen and write legibly
- Csf form pdf 13427877
- Parking citation appeal form for disputing ghc parking tickets
- Performance review form restaurant general manager
- Japanese customs form c no 5360 2
- Instructions for medical certification for disability exceptions form
Find out other contract land form
- eSign Oklahoma Finance & Tax Accounting Resignation Letter Fast
- eSign Oklahoma Finance & Tax Accounting Resignation Letter Simple
- How Can I eSign Oregon Finance & Tax Accounting Contract
- eSign Oklahoma Finance & Tax Accounting Resignation Letter Easy
- eSign Oklahoma Finance & Tax Accounting Resignation Letter Safe
- Can I eSign Oregon Finance & Tax Accounting Contract
- eSign Ohio Finance & Tax Accounting Lease Template Online
- How To eSign Oklahoma Finance & Tax Accounting Resignation Letter
- eSign Ohio Finance & Tax Accounting Lease Template Computer
- eSign Ohio Finance & Tax Accounting Lease Template Mobile
- How Do I eSign Oklahoma Finance & Tax Accounting Resignation Letter
- eSign Ohio Finance & Tax Accounting Lease Template Now
- eSign Ohio Finance & Tax Accounting Lease Template Later
- eSign Ohio Finance & Tax Accounting Lease Template Myself
- eSign Ohio Finance & Tax Accounting Lease Template Free
- Help Me With eSign Oklahoma Finance & Tax Accounting Resignation Letter
- eSign Ohio Finance & Tax Accounting Lease Template Secure
- eSign Ohio Finance & Tax Accounting Lease Template Fast
- How Can I eSign Oklahoma Finance & Tax Accounting Resignation Letter
- eSign Ohio Finance & Tax Accounting Lease Template Simple