
2016-2025 Form


What is the Georgia Form ST-5?
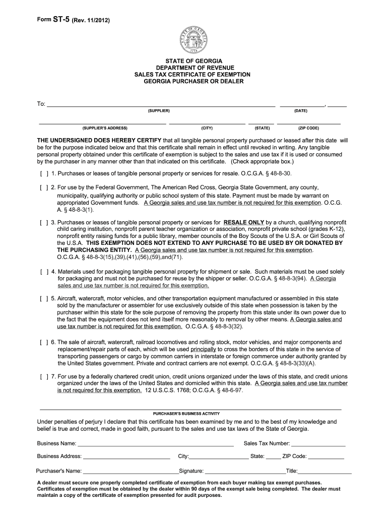
The Georgia Form ST-5 is a crucial document used for sales tax exemption purposes within the state of Georgia. This form allows eligible purchasers to claim exemption from sales tax on specific purchases. It is primarily utilized by organizations that qualify under certain categories, such as non-profit entities, government agencies, and other exempt organizations. Understanding the purpose and function of the ST-5 form is essential for ensuring compliance with Georgia tax regulations.
Steps to Complete the Georgia Form ST-5
Completing the Georgia Form ST-5 involves several key steps to ensure accuracy and compliance. Begin by gathering necessary information, including the purchaser's name, address, and tax identification number. Next, specify the type of exemption being claimed and provide details about the purchase. It is important to sign and date the form to validate the claim. After filling out the form, retain a copy for your records and submit it to the seller to facilitate the tax exemption.
Legal Use of the Georgia Form ST-5
The legal use of the Georgia Form ST-5 is governed by state tax laws that outline who qualifies for sales tax exemptions. Organizations must ensure that they meet the eligibility criteria established by the Georgia Department of Revenue. Misuse of the form can lead to penalties, including fines or back taxes owed. Therefore, it is essential to use the form correctly and only for eligible purchases to maintain compliance with Georgia tax regulations.
Required Documents for the Georgia Form ST-5
To successfully complete the Georgia Form ST-5, certain documents may be required. These typically include proof of the purchaser's exempt status, such as a tax-exempt certificate or documentation proving eligibility. Additionally, having invoices or receipts related to the purchases can aid in the completion of the form. Ensuring all necessary documents are available will facilitate a smoother process when claiming sales tax exemptions.
Who Issues the Georgia Form ST-5?
The Georgia Form ST-5 is issued by the Georgia Department of Revenue. This state agency is responsible for administering tax laws and ensuring compliance among businesses and organizations operating within Georgia. The form can be obtained directly from the Department of Revenue's website or through authorized tax professionals who assist with tax-related matters. Understanding the issuing authority helps clarify the legitimacy and requirements associated with the form.
Form Submission Methods for the Georgia Form ST-5
The Georgia Form ST-5 can be submitted in various ways, depending on the seller's preferences. Typically, the completed form is provided directly to the seller at the time of purchase to claim the sales tax exemption. Some sellers may also accept the form via email or fax, while others may require a physical copy. It is advisable to confirm the preferred submission method with the seller to ensure compliance and proper processing of the exemption claim.
Quick guide on how to complete georgia form st 5 how to complete 2012
Prepare [SKS] seamlessly on any device
Online document management has become widely adopted by businesses and individuals alike. It offers a perfect eco-friendly substitute for traditional printed and signed documents, allowing you to locate the appropriate form and securely store it online. airSlate SignNow equips you with all the tools you need to create, modify, and eSign your documents swiftly and without hassles. Manage [SKS] on any platform with airSlate SignNow's Android or iOS applications and simplify any document-related process starting today.
The easiest way to modify and eSign [SKS] with minimal effort
- Locate [SKS] and click on Get Form to begin.
- Make use of the tools we provide to complete your document.
- Highlight important sections of your documents or redact sensitive information using the tools that airSlate SignNow offers specifically for that purpose.
- Generate your eSignature with the Sign feature, which takes mere seconds and holds the same legal validity as a conventional handwritten signature.
- Review the information and click the Done button to save your changes.
- Select how you wish to send your form, whether by email, SMS, invitation link, or download it to your PC.
Forget about lost or misfiled documents, tedious form searching, or errors that necessitate printing new copies. airSlate SignNow meets all your document management needs in just a few clicks from any device you prefer. Edit and eSign [SKS] and ensure effective communication at every stage of the form preparation process with airSlate SignNow.
Create this form in 5 minutes or less
Find and fill out the correct georgia form st 5 how to complete 2012
Related searches to Georgia Form St 5 How To Complete
Create this form in 5 minutes!
How to create an eSignature for the georgia form st 5 how to complete 2012
The way to make an eSignature for your PDF file online
The way to make an eSignature for your PDF file in Google Chrome
The way to make an eSignature for signing PDFs in Gmail
The way to make an electronic signature from your mobile device
The way to make an electronic signature for a PDF file on iOS
The way to make an electronic signature for a PDF file on Android devices
People also ask
-
What is Georgia Form St 5 and why do I need to complete it?
Georgia Form St 5 is a document used for withholding tax exemption in the state of Georgia. Completing this form is essential for businesses and individuals who want to claim exemption from state withholding taxes. Understanding how to complete Georgia Form St 5 can help streamline your tax preparation and ensure compliance with state regulations.
-
How can airSlate SignNow help me complete Georgia Form St 5?
airSlate SignNow offers an easy-to-use platform for filling out and electronically signing Georgia Form St 5. With our solution, you can complete the form quickly without the hassle of printing and mailing. Furthermore, our platform provides a secure environment to ensure your sensitive information is protected.
-
Is there a cost associated with using airSlate SignNow for Georgia Form St 5?
airSlate SignNow offers various pricing plans that cater to different business needs, including a free trial to explore features. Completing Georgia Form St 5 through our platform is cost-effective, saving you time and resources that could otherwise be spent on physical document management. Review our pricing page for more detailed information.
-
What are the key features of airSlate SignNow for completing Georgia Form St 5?
Key features of airSlate SignNow include intuitive form editing, electronic signatures, and document tracking. These features simplify the process of completing Georgia Form St 5, ensuring you have a seamless workflow from document creation to final submission. Our user-friendly interface also makes it accessible for users of all technical levels.
-
Can I integrate airSlate SignNow with my existing software for Georgia Form St 5?
Yes, airSlate SignNow offers integrations with various software solutions, enhancing your ability to complete Georgia Form St 5 within your existing workflows. These integrations allow businesses to streamline operations, making the e-signing process more convenient while keeping all relevant documents organized and accessible.
-
Is it legal to eSign Georgia Form St 5 using airSlate SignNow?
Yes, eSigning Georgia Form St 5 through airSlate SignNow is legally compliant under the Electronic Signatures in Global and National Commerce (ESIGN) Act and the Uniform Electronic Transactions Act (UETA). This means that your electronically signed form will be considered valid and enforceable in Georgia and across the United States.
-
What support does airSlate SignNow provide for completing Georgia Form St 5?
airSlate SignNow provides comprehensive customer support to assist users with completing Georgia Form St 5. Our resources include tutorials, FAQs, and dedicated customer service representatives available to help you navigate the process. We aim to ensure you have all the assistance you need for a smooth experience.
Get more for Georgia Form St 5 How To Complete
Find out other Georgia Form St 5 How To Complete
- How To eSign Oregon Plumbing Business Letter Template
- eSign Oregon Plumbing Business Letter Template Free
- eSign Oregon Plumbing Business Letter Template Secure
- eSign Oregon Plumbing Business Letter Template Fast
- How Do I eSign Oregon Plumbing Business Letter Template
- eSign Oregon Plumbing Business Letter Template Simple
- eSign Alaska Sports Living Will Myself
- eSign Oregon Plumbing Business Letter Template Easy
- Help Me With eSign Oregon Plumbing Business Letter Template
- eSign Oregon Plumbing Business Letter Template Safe
- eSign Alaska Sports Living Will Free
- How Can I eSign Oregon Plumbing Business Letter Template
- eSign Vermont Orthodontists Permission Slip Online
- eSign Vermont Orthodontists Permission Slip Computer
- Can I eSign Oregon Plumbing Business Letter Template
- eSign Alaska Sports Living Will Secure
- eSign Vermont Orthodontists Permission Slip Mobile
- eSign Vermont Orthodontists Permission Slip Now
- eSign Vermont Orthodontists Permission Slip Later
- eSign Vermont Orthodontists Permission Slip Myself