
Name and Address of Lien Claimant Form


What is the Name And Address Of Lien Claimant
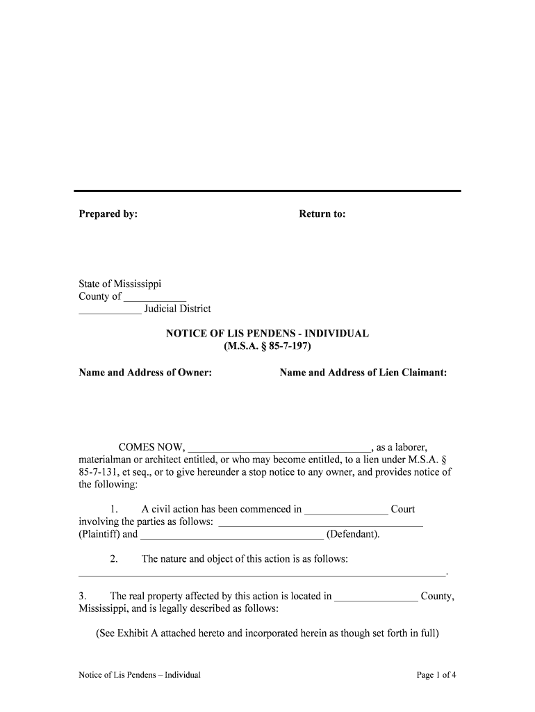
The Name And Address Of Lien Claimant form is a crucial document used in the context of lien claims. It identifies the individual or entity asserting a lien on a property, providing their official name and address. This form serves as a formal notification to property owners and relevant authorities about the claim, ensuring transparency in property transactions. It is essential for legal processes involving property disputes, as it establishes the claimant's identity and their right to assert a lien.
How to use the Name And Address Of Lien Claimant
Using the Name And Address Of Lien Claimant form involves several steps to ensure it is filled out correctly. First, gather all necessary information about the lien claimant, including their full name, address, and any relevant identification numbers. Next, accurately complete the form, ensuring that all details are legible and correct. After completing the form, it should be submitted to the appropriate authority, such as a county clerk or recorder's office, depending on local regulations. Digital submission options may also be available, providing a convenient alternative to traditional methods.
Steps to complete the Name And Address Of Lien Claimant
Completing the Name And Address Of Lien Claimant form requires careful attention to detail. Follow these steps:
- Gather necessary information about the lien claimant, including their name, address, and contact details.
- Fill out the form, ensuring that all fields are completed accurately.
- Review the form for any errors or omissions before submission.
- Submit the form to the appropriate authority, either online or in person, as per local guidelines.
Legal use of the Name And Address Of Lien Claimant
The legal use of the Name And Address Of Lien Claimant form is vital in enforcing lien rights. This form must be completed and submitted in compliance with state laws to be considered valid. It serves as a public record, which can be referenced in legal proceedings related to property disputes. Proper execution of this form can prevent potential legal issues and ensures that the lien claimant's rights are protected under the law.
Key elements of the Name And Address Of Lien Claimant
Several key elements must be included in the Name And Address Of Lien Claimant form for it to be valid. These elements typically include:
- The full legal name of the lien claimant.
- The complete address of the lien claimant.
- A description of the property subject to the lien.
- The nature of the lien being claimed.
- The date the lien was created or recorded.
State-specific rules for the Name And Address Of Lien Claimant
Each state in the U.S. has specific rules governing the use of the Name And Address Of Lien Claimant form. These rules can vary significantly, including requirements for filing deadlines, the necessary information to include, and the submission process. It is essential for lien claimants to familiarize themselves with their state's regulations to ensure compliance and avoid potential legal complications.
Quick guide on how to complete name and address of lien claimant
Complete [SKS] easily on any gadget
Online document management has gained popularity among businesses and individuals alike. It offers an ideal eco-friendly substitute for conventional printed and signed documents, as you can easily locate the right form and securely store it online. airSlate SignNow equips you with all the tools necessary to create, edit, and eSign your documents swiftly without delays. Manage [SKS] across any platform using airSlate SignNow's Android or iOS applications and enhance any document-centric operation today.
The simplest way to edit and eSign [SKS] effortlessly
- Obtain [SKS] and click Get Form to begin.
- Utilize the tools we provide to complete your form.
- Select important sections of your documents or obscure sensitive information with tools that airSlate SignNow offers specifically for this purpose.
- Generate your eSignature with the Sign tool, which takes seconds and holds the same legal validity as a conventional wet ink signature.
- Review the details and click the Done button to save your updates.
- Choose how you wish to share your form, whether by email, SMS, invitation link, or download it to your computer.
Eliminate the worry of lost or misplaced documents, tedious form searching, or errors that require printing new copies. airSlate SignNow caters to all your document management needs in just a few clicks from any device you prefer. Edit and eSign [SKS] and ensure excellent communication at every stage of the form preparation process with airSlate SignNow.
Create this form in 5 minutes or less
Create this form in 5 minutes!
People also ask
-
What is the importance of the Name And Address Of Lien Claimant in contracts?
The Name And Address Of Lien Claimant is crucial in contracts as it identifies the party who has a legal claim on a property due to unpaid debts. Accurately providing this information helps in preventing disputes and ensures a transparent transaction process.
-
How can airSlate SignNow help me manage the Name And Address Of Lien Claimant?
airSlate SignNow provides tools to easily input and manage the Name And Address Of Lien Claimant within your documents. This ensures that all necessary information is captured correctly, streamlining your workflow and reducing errors.
-
Is there a feature to track changes for the Name And Address Of Lien Claimant?
Yes, airSlate SignNow has a built-in feature that tracks changes made to the Name And Address Of Lien Claimant. This allows users to review document history and maintain a clear audit trail for compliance purposes.
-
What pricing plans are available for using airSlate SignNow for lien documents?
airSlate SignNow offers various pricing plans that cater to different business needs. Each plan includes features that streamline the management of lien documents, including fields for the Name And Address Of Lien Claimant, ensuring affordability without sacrificing functionality.
-
Can I customize templates that include the Name And Address Of Lien Claimant?
Absolutely! airSlate SignNow allows you to customize document templates that include the Name And Address Of Lien Claimant. This feature enables you to create personalized forms quickly, saving time while ensuring all necessary information is included.
-
What integrations does airSlate SignNow offer related to lien management?
airSlate SignNow integrates seamlessly with various software solutions that enhance lien management efforts. Integrations can help centralize documents containing the Name And Address Of Lien Claimant, making them easily accessible and manageable across platforms.
-
How does airSlate SignNow enhance the security of lien documents?
Security is a top priority for airSlate SignNow. It employs advanced encryption and authentication methods to protect documents containing the Name And Address Of Lien Claimant, ensuring that sensitive information remains confidential and secure.
Get more for Name And Address Of Lien Claimant
- Legal last will and testament form for divorced person not remarried with minor children west virginia
- Legal last will and testament form for divorced person not remarried with adult and minor children west virginia
- Mutual wills package with last wills and testaments for married couple with adult children west virginia form
- Mutual wills package with last wills and testaments for married couple with no children west virginia form
- Mutual wills package with last wills and testaments for married couple with minor children west virginia form
- West virginia form 497432030
- Wv legal for form
- West virginia legal 497432032 form
Find out other Name And Address Of Lien Claimant
- How Can I eSign Idaho Business Operations PDF
- Can I eSign Idaho Business Operations PDF
- How Can I eSign Idaho Business Operations PDF
- Can I eSign Idaho Business Operations PDF
- Can I eSign Idaho Business Operations PDF
- How To eSign Idaho Business Operations Word
- How Do I eSign Idaho Business Operations Word
- Help Me With eSign Idaho Business Operations Word
- How Can I eSign Idaho Business Operations Word
- Can I eSign Idaho Business Operations Word
- How To eSign Idaho Business Operations Word
- How To eSign Idaho Business Operations Word
- How Do I eSign Idaho Business Operations Word
- How To eSign Idaho Business Operations Word
- How Do I eSign Idaho Business Operations Word
- Help Me With eSign Idaho Business Operations Word
- Help Me With eSign Idaho Business Operations Word
- How Can I eSign Idaho Business Operations Word
- How Do I eSign Idaho Business Operations Word
- Can I eSign Idaho Business Operations Word