
Interrogatories County Form


What is the Interrogatories County Form?
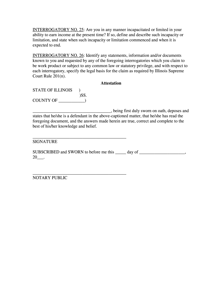
The interrogatories county form is a legal document used primarily in civil litigation. It serves as a tool for one party to obtain information from another party involved in a lawsuit. This form typically contains a series of written questions that the responding party must answer under oath. The purpose of the interrogatories is to clarify the facts of the case and gather evidence that may be relevant to the proceedings. In the context of Illinois, this form is often referred to as the Illinois interrogatories template, and it adheres to specific state rules and regulations governing its use.
Steps to Complete the Interrogatories County Form
Completing the interrogatories county form involves several key steps to ensure accuracy and compliance with legal standards. First, review the form carefully to understand the questions being asked. Next, gather all necessary information and documents that may assist in answering the questions. It is important to respond to each question thoroughly and honestly, as providing false information can lead to legal penalties. After completing the form, sign it to affirm that the answers are true to the best of your knowledge. Finally, submit the completed form to the appropriate court or opposing party, following any specific submission guidelines.
Legal Use of the Interrogatories County Form
The legal use of the interrogatories county form is governed by the rules of civil procedure in each state. In Illinois, the form must comply with the Illinois Supreme Court rules to ensure that it is valid and enforceable. Proper use of the form can facilitate the discovery process, allowing parties to gather necessary information before trial. It is crucial to understand that the answers provided in the interrogatories can be used as evidence in court, making accuracy and honesty paramount. Additionally, failure to respond to interrogatories can result in sanctions or adverse judgments.
State-Specific Rules for the Interrogatories County Form
Each state has its own set of rules governing the use of interrogatories county forms. In Illinois, specific guidelines dictate how the form must be structured, the type of questions that can be asked, and the deadlines for responses. For instance, Illinois law may limit the number of interrogatories that can be served and outline the time frame within which responses must be provided. Understanding these state-specific rules is essential for ensuring compliance and avoiding potential legal issues during litigation.
Examples of Using the Interrogatories County Form
Examples of using the interrogatories county form can vary depending on the nature of the case. For instance, in a matrimonial case, the form may include questions regarding financial assets, debts, and child custody arrangements. In a personal injury case, the interrogatories might seek information about medical history, accident details, and witness accounts. These examples illustrate how the interrogatories can be tailored to gather relevant information specific to the legal matter at hand, aiding in the preparation for trial.
Form Submission Methods
The interrogatories county form can typically be submitted through various methods, including online, by mail, or in person. Many courts now offer electronic filing options, allowing parties to submit their forms digitally. If submitting by mail, it is important to send the form to the correct court address and ensure it is postmarked by any applicable deadlines. In-person submissions may require scheduling a visit to the courthouse, where the form can be filed directly with the clerk. Understanding the available submission methods can help streamline the process and ensure timely filing.
Quick guide on how to complete il interrogatories sample
Manage il interrogatories sample effortlessly on any device
Digital document management has become increasingly popular among businesses and individuals. It offers an ideal eco-friendly alternative to traditional printed and signed documents, allowing you to find the correct form and securely store it online. airSlate SignNow provides you with all the tools necessary to create, modify, and electronically sign your documents quickly without delays. Handle interrogatories county form on any platform with airSlate SignNow's Android or iOS applications and streamline any document-related process today.
How to modify and electronically sign il interrogatories form with ease
- Find illinois county form and then click Get Form to begin.
- Utilize the tools we offer to fill out your document.
- Identify important sections of the documents or conceal sensitive information with tools that airSlate SignNow provides specifically for that purpose.
- Create your electronic signature with the Sign tool, which takes mere seconds and carries the same legal validity as a traditional wet ink signature.
- Review all the details and then click the Done button to save your changes.
- Choose how you want to send your form, whether by email, text message (SMS), or invite link, or download it to your computer.
Forget about lost or misplaced documents, tedious form searches, or mistakes that require printing new document copies. airSlate SignNow addresses your document management needs in just a few clicks from any device of your choice. Modify and electronically sign illinois interrogatories template and ensure excellent communication at every stage of your form preparation process with airSlate SignNow.
Create this form in 5 minutes or less
Related searches to matrimonial form
Create this form in 5 minutes!
People also ask illinois interrogatories form
-
What are interrogatories county forms?
Interrogatories county forms are legal documents that require one party to answer written questions posed by another party in a lawsuit. These forms facilitate the discovery process, helping to clarify issues before trial. Utilizing airSlate SignNow, you can efficiently create, send, and eSign your interrogatories county form with ease.
-
How can airSlate SignNow help with interrogatories county forms?
airSlate SignNow provides a user-friendly platform to design, manage, and eSign interrogatories county forms quickly. The tool simplifies document workflows, allowing users to collaborate remotely and securely. With its intuitive interface, you can ensure your interrogatories county form is completed accurately and efficiently.
-
Is there a cost associated with using airSlate SignNow for interrogatories county forms?
Yes, there is a subscription fee associated with using airSlate SignNow for managing interrogatories county forms. However, the cost is competitive and offers great value given the features and efficiencies provided. You can choose from various pricing plans to suit your business needs, all while benefiting from the ease of use in handling your interrogatories county form.
-
What features does airSlate SignNow offer for creating interrogatories county forms?
airSlate SignNow offers features such as document templates, automated workflows, and eSignature capabilities for interrogatories county forms. These tools streamline the process, allowing you to manage your documents seamlessly. Additionally, you can track the status of your interrogatories county form in real-time.
-
Can I integrate airSlate SignNow with other software for interrogatories county forms?
Definitely! airSlate SignNow provides integration options with various tools and software, enhancing your ability to manage interrogatories county forms. Popular integrations include CRM systems, cloud storage solutions, and other legal software, which helps in maintaining a comprehensive document management approach.
-
What are the benefits of using airSlate SignNow for interrogatories county forms?
Using airSlate SignNow for your interrogatories county forms increases efficiency, reduces paper usage, and improves accuracy in the legal process. The electronic signature feature not only speeds up the signing process but also adds an extra layer of security. This means you can focus on your case rather than the paperwork.
-
How secure is my information when using airSlate SignNow for interrogatories county forms?
airSlate SignNow prioritizes the security of your data when working with interrogatories county forms. The platform uses advanced encryption protocols to safeguard sensitive information, ensuring that your documents are protected. You can confidently manage your legal forms knowing that your data is secure.
Get more for monroe county form
- Form 2220 underpayment of estimated tax by corporations
- Instructions for form 1040 nr
- Irs issues guidance on exceptions from electronic filing form
- Schedule a form 1040 nr sp itemized deductions spanish version
- Form 5558 rev january application for extension of time to file certain employee plan returns
- Form 4626 alternative minimum taxcorporations
- Arizona tax credit information
- Fillable online azdor arizona form request for innocent
Find out other il interrogatories
- eSign Ohio Prenuptial Agreement Template Online
- eSign Tennessee Affidavit of Death Secure
- eSign Ohio Prenuptial Agreement Template Computer
- How To eSign Texas Affidavit of Death
- eSign Ohio Prenuptial Agreement Template Mobile
- eSign Tennessee Affidavit of Death Fast
- eSign Ohio Prenuptial Agreement Template Now
- How Do I eSign Texas Affidavit of Death
- eSign Ohio Prenuptial Agreement Template Later
- eSign Ohio Prenuptial Agreement Template Myself
- eSign Tennessee Affidavit of Death Simple
- Help Me With eSign Texas Affidavit of Death
- eSign Ohio Prenuptial Agreement Template Free
- eSign Ohio Prenuptial Agreement Template Secure
- eSign Ohio Prenuptial Agreement Template Fast
- How Can I eSign Texas Affidavit of Death
- eSign Ohio Prenuptial Agreement Template Simple
- eSign Tennessee Affidavit of Death Easy
- eSign Ohio Prenuptial Agreement Template Easy
- Can I eSign Texas Affidavit of Death