
Ak Discovery Form


What is the Ak Discovery?
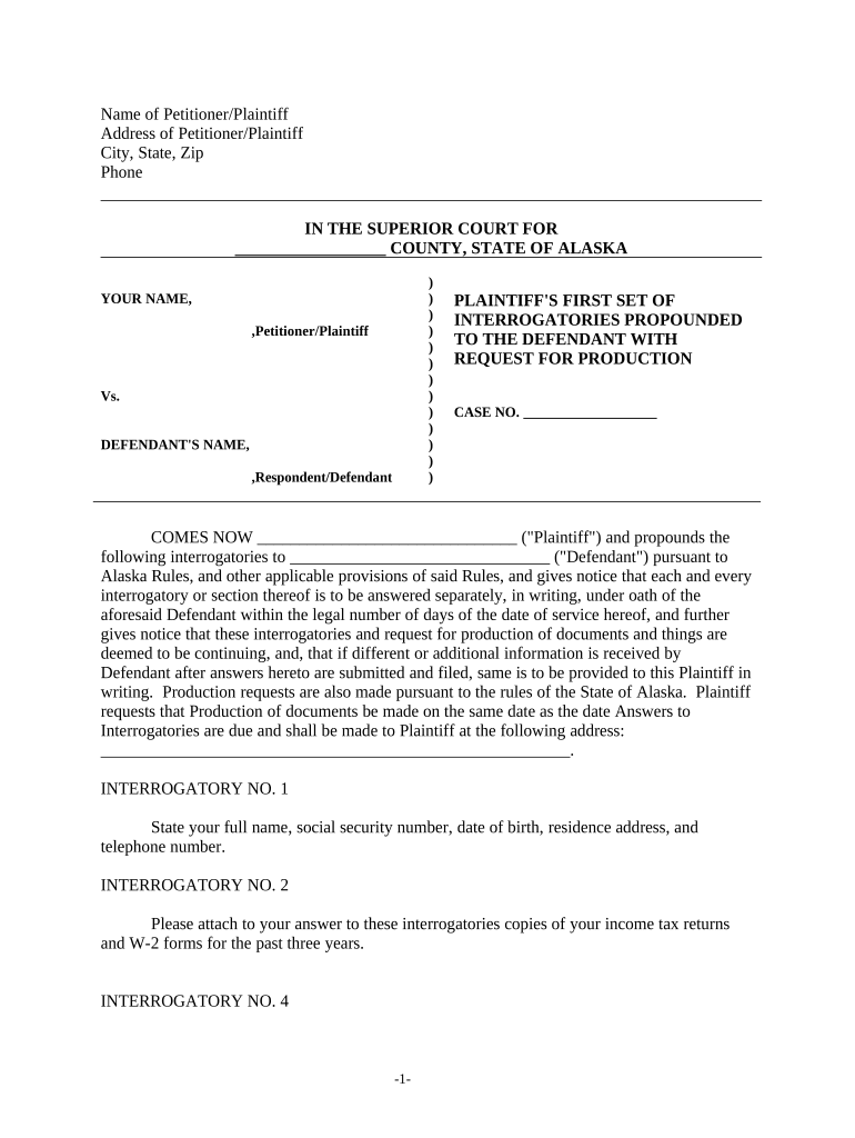
The Ak Discovery is a legal form used primarily in the context of civil litigation. It serves to facilitate the exchange of information between parties involved in a lawsuit. This form is essential for ensuring transparency and compliance with legal procedures during the discovery phase, where both sides gather evidence to support their cases. The Ak Discovery typically includes requests for documents, interrogatories, and admissions, making it a vital tool for legal practitioners.
How to Use the Ak Discovery
Using the Ak Discovery effectively involves several steps. Initially, parties must identify the relevant information needed to support their claims or defenses. Once identified, the form should be filled out accurately, detailing the specific documents or information requested. After preparing the form, it must be served to the opposing party, who is then obligated to respond within a specified timeframe. Proper use of this form can significantly impact the outcome of a case by ensuring that all necessary evidence is gathered.
Steps to Complete the Ak Discovery
Completing the Ak Discovery involves a systematic approach:
- Identify the information needed for your case.
- Fill out the form, ensuring clarity and precision in your requests.
- Review the form for accuracy and completeness.
- Serve the form to the opposing party, adhering to legal requirements for service.
- Await the response, keeping track of deadlines for compliance.
Following these steps will help ensure that the discovery process is efficient and effective.
Legal Use of the Ak Discovery
The Ak Discovery must be used in accordance with applicable laws and regulations governing civil procedure. This includes adhering to deadlines for submission and response, as well as ensuring that requests are reasonable and relevant to the case at hand. Failure to comply with these legal standards can result in penalties, including sanctions or dismissal of claims. It is crucial for legal professionals to understand the legal framework surrounding the Ak Discovery to avoid potential pitfalls.
Key Elements of the Ak Discovery
The Ak Discovery contains several key elements that are essential for its effectiveness:
- Requests for Production: Specific documents or evidence that one party seeks from another.
- Interrogatories: Written questions that must be answered under oath.
- Requests for Admission: Statements that one party asks the other to admit or deny.
These elements work together to create a comprehensive framework for information exchange during the discovery process.
Form Submission Methods
The Ak Discovery can be submitted through various methods, depending on the jurisdiction and specific court rules. Common submission methods include:
- Online Submission: Many courts allow electronic filing through their websites.
- Mail: Physical copies can be mailed to the court or opposing party.
- In-Person: Parties may also choose to deliver the form directly to the court clerk.
Understanding the preferred submission method is crucial to ensure compliance with court procedures.
Quick guide on how to complete ak discovery
Complete ak discovery effortlessly on any device
Online document management has become increasingly popular among businesses and individuals. It offers a perfect eco-friendly alternative to traditional printed and signed documents, as you can easily locate the right form and securely store it online. airSlate SignNow provides you with all the tools necessary to create, modify, and electronically sign your documents swiftly without delays. Handle ak discovery on any device using the airSlate SignNow Android or iOS applications and streamline any document-related process today.
The easiest way to modify and eSign ak discovery with minimal effort
- Locate ak discovery and click Get Form to begin.
- Utilize the tools we provide to complete your document.
- Emphasize important sections of the documents or redact sensitive information using tools that airSlate SignNow offers specifically for that purpose.
- Create your electronic signature with the Sign tool, which takes just seconds and has the same legal validity as a conventional wet ink signature.
- Review all the details and then click the Done button to save your amendments.
- Select how you wish to send your form, either via email, text message (SMS), or invite link, or download it to your computer.
Put an end to lost or misplaced documents, time-consuming form searches, or errors that require reprinting new document copies. airSlate SignNow fulfills your needs in document management with just a few clicks from any device you prefer. Edit and eSign ak discovery and ensure effective communication at every stage of your form preparation process with airSlate SignNow.
Create this form in 5 minutes or less
Create this form in 5 minutes!
People also ask ak discovery
-
What is ak discovery and how does it relate to airSlate SignNow?
AK discovery is a crucial process for businesses looking to streamline their document management and eSignature workflows. With airSlate SignNow, AK discovery is enhanced by our user-friendly platform that empowers organizations to effortlessly send and eSign documents, making the entire process efficient and cost-effective.
-
How can I utilize ak discovery in my document workflows?
By incorporating AK discovery into your document workflows, you can signNowly improve efficiency and collaboration. airSlate SignNow provides features that allow you to easily identify and manage relevant documents, ensuring that the right documents are sent and signed at the right time.
-
What are the pricing options for airSlate SignNow?
airSlate SignNow offers various pricing plans tailored to meet diverse business needs, including options specifically designed for those leveraging AK discovery. Our cost-effective solutions ensure businesses can optimize their document management without overspending, making it accessible for teams of all sizes.
-
What key features of airSlate SignNow support ak discovery?
The key features that support AK discovery within airSlate SignNow include document templates, real-time notifications, and automated workflows. These tools help streamline the document sending and signing process, allowing businesses to focus on what matters most while ensuring compliance and accuracy.
-
Can airSlate SignNow integrate with other tools to enhance ak discovery?
Yes, airSlate SignNow can seamlessly integrate with various tools and software, enhancing AK discovery within your business processes. By connecting with CRM systems, cloud storage solutions, and other productivity apps, you can create a cohesive ecosystem that simplifies document handling and eSigning.
-
What benefits does airSlate SignNow provide for using ak discovery?
Utilizing AK discovery with airSlate SignNow provides numerous benefits, including improved efficiency, cost savings, and enhanced collaboration. Our platform empowers businesses to easily manage their documents and signatures, leading to faster decision-making and increased productivity.
-
How secure is airSlate SignNow for handling sensitive documents in ak discovery?
airSlate SignNow prioritizes the security of sensitive documents, utilizing advanced encryption and compliance measures. When engaging in AK discovery, you can trust our platform to protect your data, ensuring that all documents are securely stored and signed according to industry standards.
Get more for ak discovery
- Yavapai county temporary dwelling permit form
- Solarmpe application form
- Vascular and nonvascular plants worksheet pdf form
- Bwp mtg minutes 10 28 13 presidio realty inc form
- Clientlocation form
- Consent form for euthanasia and care for remains pet care hospital
- Abc checklist version 1 form
- Sample attendance policy 2 absences per month doc form
Find out other ak discovery
- Help Me With eSign West Virginia Lawers POA
- eSign West Virginia Lawers POA Easy
- How Can I eSign West Virginia Lawers POA
- eSign West Virginia Lawers POA Safe
- eSign Michigan Insurance Work Order Computer
- eSign Michigan Insurance Work Order Online
- eSign Michigan Insurance Work Order Mobile
- Can I eSign West Virginia Lawers POA
- eSign Insurance PDF Minnesota Online
- eSign Michigan Insurance Work Order Now
- eSign Michigan Insurance Work Order Later
- eSign Insurance PDF Minnesota Computer
- eSign Michigan Insurance Work Order Myself
- eSign Michigan Insurance Work Order Free
- eSign Michigan Insurance Work Order Secure
- eSign Insurance PDF Minnesota Mobile
- eSign Michigan Insurance Work Order Fast
- eSign Michigan Insurance Work Order Simple
- eSign Insurance PDF Minnesota Now
- eSign Michigan Insurance Work Order Easy