
Agreement Real Estate Form


What is the Agreement Purchase Form?
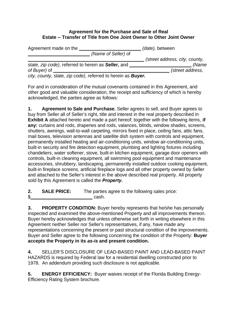
The agreement purchase form is a legally binding document used in real estate transactions to outline the terms and conditions under which a property is sold. This form typically includes essential details such as the purchase price, property description, and the responsibilities of both the buyer and seller. It serves as a foundational element in the buying process, ensuring that both parties have a clear understanding of their obligations and rights. In the context of Florida real estate, this form may also encompass specific state regulations and requirements that govern property transactions.
Key Elements of the Agreement Purchase Form
Understanding the key elements of the agreement purchase form is crucial for both buyers and sellers. Important components typically include:
- Buyer and Seller Information: Names and contact details of all parties involved.
- Property Description: A detailed description of the property, including its address and any relevant legal descriptions.
- Purchase Price: The agreed-upon price for the property, along with any deposit amounts.
- Contingencies: Conditions that must be met for the sale to proceed, such as financing approval or home inspections.
- Closing Date: The date on which the property transfer will be finalized.
- Signatures: Signatures of both parties, which are essential for the document’s validity.
Steps to Complete the Agreement Purchase Form
Completing the agreement purchase form involves several important steps to ensure accuracy and legality:
- Gather Information: Collect all necessary details about the property and the parties involved.
- Fill Out the Form: Carefully complete each section of the form, ensuring all information is accurate and up to date.
- Review the Terms: Both parties should review the terms and conditions outlined in the form to avoid misunderstandings.
- Sign the Document: Both buyer and seller must sign the form to make it legally binding.
- Distribute Copies: Provide copies of the signed agreement to all parties involved for their records.
Legal Use of the Agreement Purchase Form
The legal use of the agreement purchase form is governed by state laws, which dictate how real estate transactions should be conducted. In Florida, for example, the form must comply with specific regulations to be enforceable. This includes adherence to the Florida Statutes governing real estate transactions and ensuring that all necessary disclosures are made. It is advisable for both parties to seek legal counsel to ensure that the form is completed correctly and that all legal requirements are met.
Examples of Using the Agreement Purchase Form
There are various scenarios in which the agreement purchase form is utilized, including:
- Residential Sales: Commonly used in transactions involving single-family homes or condominiums.
- Commercial Properties: Employed in the sale of commercial real estate, including office buildings and retail spaces.
- Investment Properties: Used by investors purchasing properties for rental or resale purposes.
Each of these examples highlights the versatility of the agreement purchase form in different real estate contexts.
Quick guide on how to complete fl agreement purchase
Complete fl agreement purchase effortlessly on any device
Managing documents online has become increasingly prevalent among businesses and individuals. It offers an ideal eco-friendly substitute for conventional printed and signed documents, since you can easily find the necessary form and securely store it online. airSlate SignNow equips you with all the tools you require to create, modify, and eSign your documents swiftly and without delays. Handle agreement purchase form on any device with airSlate SignNow's Android or iOS applications and simplify any document-related tasks today.
How to edit and eSign fl purchase real estate with ease
- Obtain fl estate form and click on Get Form to begin.
- Utilize the tools we provide to fill out your form.
- Highlight pertinent sections of the documents or obscure sensitive information using tools specifically designed for that purpose by airSlate SignNow.
- Create your signature with the Sign tool, which takes mere seconds and carries the same legal validity as a conventional wet ink signature.
- Review the details and click on the Done button to save your modifications.
- Select your preferred method for delivering your form, whether by email, text message (SMS), or invitation link, or download it to your computer.
Say goodbye to lost or misplaced documents, tedious form searches, or errors that necessitate printing additional copies. airSlate SignNow meets your document management needs with just a few clicks from any device of your choice. Edit and eSign fl agreement sale and ensure excellent communication throughout the form preparation process with airSlate SignNow.
Create this form in 5 minutes or less
Related searches to agreement purchase sale
Create this form in 5 minutes!
People also ask agreement purchase estate
-
What is the agreement purchase real feature in airSlate SignNow?
The agreement purchase real feature in airSlate SignNow allows users to easily create, send, and manage legally binding agreements online. This functionality simplifies the process of executing contracts, ensuring compliance and security for all parties involved.
-
How can airSlate SignNow help with agreement purchase real transactions?
airSlate SignNow streamlines agreement purchase real transactions by providing templates and customizable workflows. Users can automate the signing process, reduce turnaround times, and eliminate the need for physical paperwork.
-
What are the pricing options for airSlate SignNow regarding agreement purchase real?
airSlate SignNow offers various pricing plans tailored for businesses of all sizes, starting with a basic tier that fits budget-conscious needs. Customers looking to manage agreement purchase real activities will find competitive pricing that scales with their requirements.
-
Are there any integrations available for handling agreement purchase real?
Yes, airSlate SignNow provides seamless integrations with popular applications such as Salesforce, Google Drive, and Dropbox, enhancing the efficiency of managing agreement purchase real. These integrations allow for easy access and sharing of documents across platforms.
-
What security measures does airSlate SignNow employ for agreement purchase real?
To protect agreement purchase real documents, airSlate SignNow utilizes advanced security features like encryption, two-factor authentication, and audit trails. These measures ensure that all agreements are secure and can be tracked throughout their lifecycle.
-
Can I customize my agreement purchase real templates in airSlate SignNow?
Absolutely! airSlate SignNow allows users to fully customize agreement purchase real templates to match their branding and specific requirements. This feature ensures that each agreement reflects the unique needs of your business.
-
What benefits does airSlate SignNow offer for managing agreement purchase real?
Using airSlate SignNow for agreement purchase real provides numerous benefits, including reduced paperwork, faster transaction times, and improved compliance. The user-friendly platform also enhances collaboration among team members and clients.
Get more for as is residential contract florida
- Small business temporary employment contract template form
- Software developer employment contract template form
- Small business employment contract template form
- Staff employment contract template form
- Standard of employment contract template form
- Standard employment myanmar contract template form
- Standard employment contract template form
- Startup employment contract template form
Find out other what is a purchase agreement in real estate
- Can I Electronic signature South Carolina Lawers Document
- Can I Electronic signature South Carolina Lawers Form
- How To Electronic signature South Carolina Lawers Document
- How Do I Electronic signature South Carolina Lawers Document
- Help Me With Electronic signature South Carolina Lawers Document
- How Can I Electronic signature South Carolina Lawers Document
- Can I Electronic signature South Carolina Lawers Document
- How To Electronic signature South Carolina Lawers Document
- How To Electronic signature South Carolina Lawers Form
- How Do I Electronic signature South Carolina Lawers Document
- Help Me With Electronic signature South Carolina Lawers Document
- How Do I Electronic signature South Carolina Lawers Form
- How To Electronic signature South Carolina Lawers Form
- Can I Electronic signature South Carolina Lawers Document
- How Can I Electronic signature South Carolina Lawers Document
- Help Me With Electronic signature South Carolina Lawers Form
- How Do I Electronic signature South Carolina Lawers Form
- How Can I Electronic signature South Carolina Lawers Form
- How To Electronic signature South Carolina Lawers Document
- Can I Electronic signature South Carolina Lawers Form