
Warranty Deed from Husband and Wife to an Individual Michigan Form


What is the Warranty Deed From Husband And Wife To An Individual Michigan
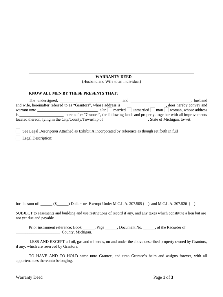
A warranty deed from husband and wife to an individual in Michigan is a legal document that transfers ownership of real property from a married couple to a single individual. This type of deed guarantees that the property is free from any liens or encumbrances, except those specifically stated in the deed. It provides assurance to the buyer that the sellers have the right to sell the property and that they will defend the title against any claims. This form is commonly used in real estate transactions to establish clear ownership and protect the interests of the buyer.
Key elements of the Warranty Deed From Husband And Wife To An Individual Michigan
Several key elements must be included in a warranty deed from husband and wife to an individual in Michigan to ensure its validity:
- Grantor Information: The names and addresses of the husband and wife transferring the property.
- Grantee Information: The name and address of the individual receiving the property.
- Property Description: A legal description of the property being transferred, including its boundaries and any relevant details.
- Consideration: The amount of money or value exchanged for the property, if applicable.
- Signatures: Both spouses must sign the deed in the presence of a notary public.
- Notary Acknowledgment: A notary must acknowledge the signatures to validate the document.
Steps to complete the Warranty Deed From Husband And Wife To An Individual Michigan
Completing a warranty deed from husband and wife to an individual in Michigan involves several important steps:
- Gather necessary information, including the names of the grantors and grantee, property description, and consideration.
- Obtain a blank warranty deed form, which can be found online or through local legal resources.
- Fill out the form accurately, ensuring all required information is included.
- Both spouses must sign the document in front of a notary public.
- File the completed warranty deed with the appropriate county register of deeds office to make the transfer official.
Legal use of the Warranty Deed From Husband And Wife To An Individual Michigan
The legal use of a warranty deed from husband and wife to an individual in Michigan is essential for ensuring the validity of the property transfer. This deed serves as a public record that establishes the new owner's rights to the property. It is crucial for the grantors to provide accurate information and adhere to all legal requirements to avoid potential disputes or claims against the property in the future. The warranty deed also protects the grantee by guaranteeing clear title and ownership.
State-specific rules for the Warranty Deed From Husband And Wife To An Individual Michigan
In Michigan, specific rules govern the execution and recording of warranty deeds. These include:
- The need for both spouses to sign the deed, even if only one spouse is the property owner.
- Notarization of signatures to ensure authenticity.
- Compliance with local recording requirements, including filing the deed with the county register of deeds.
- Adherence to Michigan's property laws, which may vary by county.
How to use the Warranty Deed From Husband And Wife To An Individual Michigan
Using a warranty deed from husband and wife to an individual in Michigan involves several practical considerations. First, ensure that the deed is filled out correctly and includes all necessary details. After signing and notarizing the document, it must be filed with the appropriate county office to be legally recognized. This process not only formalizes the transfer of property but also protects the rights of the new owner. It is advisable to keep a copy of the filed deed for personal records and future reference.
Quick guide on how to complete warranty deed from husband and wife to an individual michigan
Easily prepare [SKS] on any device
Digital document management has become increasingly popular among businesses and individuals. It offers a perfect eco-friendly substitute for traditional printed and signed documents, allowing you to find the right form and safely store it online. airSlate SignNow equips you with all the necessary tools to create, edit, and eSign your documents promptly without delays. Manage [SKS] on any platform using the airSlate SignNow apps for Android or iOS and enhance any document-centric process today.
The easiest method to edit and eSign [SKS] effortlessly
- Obtain [SKS] and click on Get Form to begin.
- Make use of the tools we offer to complete your form.
- Emphasize pertinent sections of the documents or obscure sensitive information with the tools that airSlate SignNow provides specifically for that purpose.
- Create your eSignature using the Sign feature, which takes mere seconds and holds the same legal significance as a conventional wet ink signature.
- Thoroughly review all the details and click on the Done button to save your changes.
- Choose how you wish to send your form, whether by email, SMS, invitation link, or download it to your PC.
Say goodbye to lost or misplaced documents, tedious form searches, or errors that require printing new copies. airSlate SignNow addresses all your document management needs in just a few clicks from any device of your preference. Edit and eSign [SKS] and ensure excellent communication at every stage of your form preparation journey with airSlate SignNow.
Create this form in 5 minutes or less
Related searches to Warranty Deed From Husband And Wife To An Individual Michigan
Create this form in 5 minutes!
People also ask
-
What is a Warranty Deed From Husband And Wife To An Individual in Michigan?
A Warranty Deed From Husband And Wife To An Individual in Michigan is a legal document that transfers property ownership from a married couple to an individual. It provides guarantees regarding the title's condition and ensures that no other claims exist against the property. This type of deed is essential for protecting the rights of both the grantors and the grantee during the transfer process.
-
How much does it cost to create a Warranty Deed From Husband And Wife To An Individual in Michigan?
The cost to create a Warranty Deed From Husband And Wife To An Individual in Michigan can vary based on the service provider you choose. Generally, you might expect fees to range from $100 to $500, depending on additional services like notarization or legal assistance. Using airSlate SignNow can streamline the process and potentially lower costs with its user-friendly online platform.
-
What features does airSlate SignNow offer for handling Warranty Deeds?
airSlate SignNow offers features such as electronic signatures, document templates, and real-time collaboration to help you handle Warranty Deeds efficiently. Its easy-to-use platform allows users to create, send, and manage Warranty Deeds From Husband And Wife To An Individual in Michigan seamlessly. With secure storage options, you can ensure your documents are safe and accessible.
-
Is it necessary to signNow a Warranty Deed From Husband And Wife To An Individual in Michigan?
Yes, notarization is typically required for a Warranty Deed From Husband And Wife To An Individual in Michigan. This step adds an extra layer of legal protection and ensures the validity of the document. Notarization confirms the identities of the signers and that they signed the document voluntarily, which is critical for its acceptance in property transfer.
-
What are the advantages of using airSlate SignNow for my Warranty Deed?
Using airSlate SignNow to process your Warranty Deed From Husband And Wife To An Individual in Michigan offers several advantages, including the convenience of eSigning and document management from any location. The platform is designed to save you time and reduce paperwork, making the process of property transfer smoother. Plus, its cost-effective pricing makes it an excellent choice for both individuals and businesses.
-
Can I integrate airSlate SignNow with other applications for my warranty deed needs?
Yes, airSlate SignNow offers integrations with various applications such as Google Drive, Dropbox, and Microsoft Office. This flexibility allows you to streamline your workflow when creating and managing a Warranty Deed From Husband And Wife To An Individual in Michigan. By integrating with your favorite tools, you can simplify document handling and improve collaboration.
-
What kind of customer support does airSlate SignNow provide for warranty deed processes?
airSlate SignNow offers comprehensive customer support to assist you with creating and managing your Warranty Deed From Husband And Wife To An Individual in Michigan. Their support team is available to help with any issues you may encounter while using the platform, whether it's about document preparation or technical difficulties. Additionally, they provide resources such as tutorials and FAQs for self-guided assistance.
Get more for Warranty Deed From Husband And Wife To An Individual Michigan
- Staff fee waiver continuing staff career development update application fee waiver changes form
- Massasoit community college transcript form
- Undergraduate minor change office of the registrar uc form
- Scholastice record verification form
- New hire documents georgia tech human resources form
- Nda form
- School cleaning inspection checklist form
- Request for personnel file forms
Find out other Warranty Deed From Husband And Wife To An Individual Michigan
- Can I Sign Mississippi Non-Profit Word
- How To Sign Mississippi Non-Profit Form
- How Can I Sign Mississippi Non-Profit Document
- How Do I Sign Mississippi Non-Profit Form
- Help Me With Sign Mississippi Non-Profit Form
- How Can I Sign Mississippi Non-Profit Form
- Can I Sign Mississippi Non-Profit Document
- Can I Sign Mississippi Non-Profit Form
- How To Sign Mississippi Non-Profit Document
- How Do I Sign Mississippi Non-Profit Document
- Help Me With Sign Mississippi Non-Profit Document
- How Can I Sign Mississippi Non-Profit Document
- How To Sign Mississippi Non-Profit Form
- How To Sign Mississippi Non-Profit Form
- Can I Sign Mississippi Non-Profit Document
- How Do I Sign Mississippi Non-Profit Form
- How Do I Sign Mississippi Non-Profit Form
- How To Sign Mississippi Non-Profit Document
- How Do I Sign Mississippi Non-Profit Document
- Help Me With Sign Mississippi Non-Profit Form