
Ny Without Form


What is the Ny Without
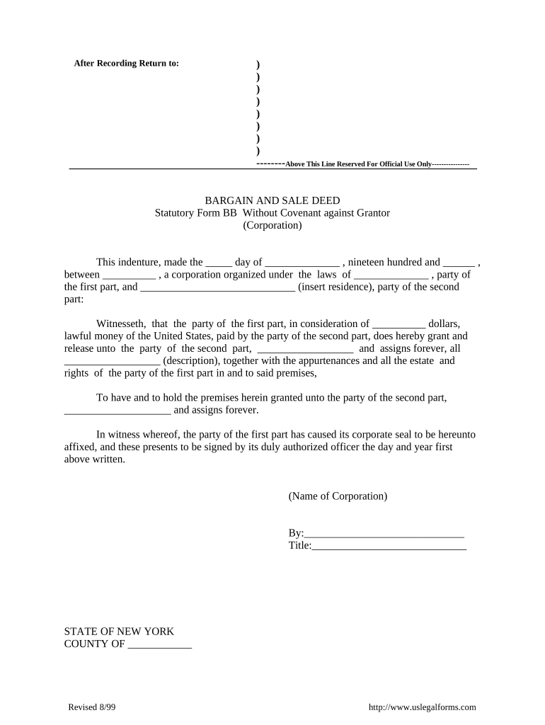
The Ny Without is a specific form used in New York that addresses various legal and administrative needs. It serves as a critical document for individuals and businesses alike, facilitating compliance with state regulations. This form is often required in situations involving property transactions, legal agreements, or other formal declarations. Understanding its purpose is essential for proper usage and adherence to New York law.
How to use the Ny Without
Using the Ny Without involves several straightforward steps to ensure that the form is completed accurately. First, gather all necessary information and documentation relevant to your situation. This may include personal identification, property details, or any related agreements. Next, fill out the form carefully, ensuring that all fields are completed as required. Once the form is filled out, it may need to be signed in the presence of a notary public, depending on the specific requirements associated with the Ny Without.
Steps to complete the Ny Without
Completing the Ny Without can be broken down into clear steps:
- Gather necessary documents and information.
- Download or obtain the Ny Without form from a reliable source.
- Fill out the form, ensuring all required fields are completed accurately.
- Review the form for any errors or omissions.
- Sign the form, if required, in the presence of a notary public.
- Submit the completed form according to the instructions provided.
Legal use of the Ny Without
The legal use of the Ny Without is crucial for ensuring that the document is recognized by courts and other authorities. To be legally binding, the form must be filled out correctly and signed where necessary. It is important to comply with any specific state laws that govern the use of this form, as failure to do so may result in the document being deemed invalid. Additionally, retaining copies of the completed form for your records is advisable.
Key elements of the Ny Without
Several key elements must be included in the Ny Without for it to be valid:
- Identification Information: Names and addresses of all parties involved.
- Details of the Transaction: Description of the purpose of the form.
- Signatures: Required signatures of all parties, often needing notarization.
- Date: The date on which the form is completed and signed.
Who Issues the Form
The Ny Without is typically issued by state or local government agencies in New York. Depending on the context in which it is used, it may also be available through legal offices or online resources that specialize in New York state forms. It is essential to obtain the most current version of the form to ensure compliance with any recent legal changes.
Quick guide on how to complete ny without
Complete ny without effortlessly on any device
Online document management has become increasingly popular among organizations and individuals. It offers an ideal eco-friendly substitute for traditional printed and signed papers, as you can find the appropriate form and securely store it online. airSlate SignNow equips you with all the necessary tools to create, modify, and electronically sign your documents quickly and without delays. Handle ny bargain on any platform using airSlate SignNow's Android or iOS applications and simplify any document-related process today.
How to adjust and electronically sign ny without effortlessly
- Find ny statutory and click Get Form to begin.
- Utilize the tools we provide to complete your form.
- Highlight important sections of your documents or redact sensitive information with tools that airSlate SignNow offers specifically for that purpose.
- Create your signature using the Sign feature, which takes mere seconds and carries the same legal validity as a traditional ink signature.
- Review all the details and then click on the Done button to preserve your changes.
- Choose how you wish to send your form, via email, text message (SMS), or shareable link, or download it to your computer.
Eliminate concerns about lost or misplaced files, tedious form searches, or errors that necessitate printing new document copies. airSlate SignNow meets your document management needs with just a few clicks from any device of your choice. Edit and electronically sign ny bargain and ensure clear communication at any point in your form preparation process with airSlate SignNow.
Create this form in 5 minutes or less
Related searches to ny statutory
Create this form in 5 minutes!
People also ask ny statutory
-
What is the pricing structure for airSlate SignNow?
airSlate SignNow offers competitive pricing that provides excellent value for money, making it an ideal ny bargain for businesses of all sizes. Various plans are available to suit different needs, ensuring flexibility and affordability. You can choose a plan based on how many users or features you need, helping you save more.
-
What features does airSlate SignNow provide?
With airSlate SignNow, users can enjoy a range of features such as document templates, real-time tracking, and electronic signatures. These features streamline your workflow, making it an attractive ny bargain for anyone looking to enhance their document management. The platform is designed to be user-friendly, ensuring that you can easily navigate through all the capabilities.
-
Can airSlate SignNow integrate with other software applications?
Yes, airSlate SignNow seamlessly integrates with various software applications, making it a convenient ny bargain for businesses looking to enhance productivity. Whether you use CRM tools, payment processors, or cloud storage, integration is easy and enhances your overall workflow. This ability to connect with existing tools is crucial for maximizing efficiency.
-
Is airSlate SignNow suitable for small businesses?
Absolutely! airSlate SignNow is a perfect solution for small businesses looking for a cost-effective ny bargain. Its intuitive interface and flexible pricing make it accessible for teams that may not have large budgets. Small businesses can leverage its features to streamline document processes without breaking the bank.
-
How secure is airSlate SignNow for document signing?
Security is a top priority for airSlate SignNow, making it a reliable ny bargain for sensitive document management. The platform employs advanced encryption methods to protect your data, ensuring that both your documents and signatures remain confidential. Furthermore, it complies with industry standards to maintain high security levels.
-
What are the benefits of using airSlate SignNow over traditional methods?
Using airSlate SignNow offers numerous benefits compared to traditional signing methods, making it a smart ny bargain. It eliminates the need for printing, mailing, and scanning documents, thus saving time and resources. Additionally, the quick turnaround and ease of use create a more efficient document workflow for businesses.
-
Does airSlate SignNow offer customer support?
Yes, airSlate SignNow provides comprehensive customer support to assist users effectively, making it even more of a ny bargain. Their support team is available via various channels to help resolve any issues or answer questions you might have. With reliable support, you can focus more on your business and less on troubleshooting.
Get more for ny bargain
- Rule 41 dismissal of actions miss r civ p 41casetext form
- Motion to clarify andor reconsider and for protective order form
- Representative baker house bill no 555 an act ms legislature form
- In the united states district court for the southern district of mississippi form
- In the circuit court of county mississippi 481373830 form
- How to reschedule a hearing or trial motion to form
- State ex rel workerscomp v brown 805 p2d 830 form
- Legal separation agreementlegal separation formrocket lawyer
Find out other ny without
- How Do I Electronic signature Arizona Education Form
- How To Electronic signature Arizona Education Form
- Help Me With Electronic signature Arizona Education Form
- How Do I Electronic signature Arizona Education Form
- Help Me With Electronic signature Arizona Education Form
- How Can I Electronic signature Arizona Education Form
- How Can I Electronic signature Arizona Education Form
- Can I Electronic signature Arizona Education Form
- Can I Electronic signature Arizona Education Form
- How To Electronic signature Arizona Education Form
- How To Electronic signature Arizona Education Document
- How Do I Electronic signature Arizona Education Document
- Help Me With Electronic signature Arizona Education Document
- How Can I Electronic signature Arizona Education Document
- How Do I Electronic signature Arizona Education Form
- Can I Electronic signature Arizona Education Document
- How To Electronic signature Arizona Education Form
- Help Me With Electronic signature Arizona Education Form
- How To Electronic signature Arizona Education Form
- How Do I Electronic signature Arizona Education Form