
Correction Statement and Agreement Rhode Island Form


What is the Correction Statement and Agreement Rhode Island
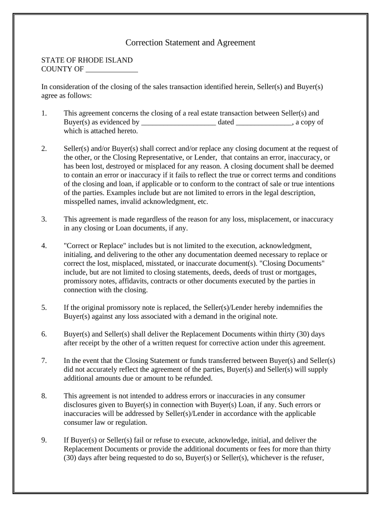
The Correction Statement and Agreement in Rhode Island is a legal document used to amend or clarify information in previously filed documents. This form is essential for ensuring that any inaccuracies or changes in details are officially recognized and corrected. It serves to protect the interests of all parties involved by providing a clear record of the amendments made. This document is particularly relevant in various legal and business contexts, where accurate information is crucial for compliance and transparency.
How to use the Correction Statement and Agreement Rhode Island
Using the Correction Statement and Agreement in Rhode Island involves several straightforward steps. First, identify the specific document that requires correction. Then, gather all relevant information that needs to be amended. Next, complete the Correction Statement and Agreement form, ensuring that all fields are filled out accurately. Once completed, the form should be signed by all relevant parties. Finally, submit the form to the appropriate authority, whether it be a court, government agency, or other relevant entity, to ensure the corrections are officially recognized.
Key elements of the Correction Statement and Agreement Rhode Island
Key elements of the Correction Statement and Agreement in Rhode Island include the following:
- Identifying Information: Full names and addresses of all parties involved.
- Details of the Original Document: Reference to the document being corrected, including dates and specific sections.
- Correction Details: A clear description of the inaccuracies and the proposed corrections.
- Signatures: Required signatures from all parties to validate the agreement.
- Date of Agreement: The date when the corrections are agreed upon.
Steps to complete the Correction Statement and Agreement Rhode Island
Completing the Correction Statement and Agreement in Rhode Island involves a series of methodical steps:
- Gather necessary documents and information related to the original filing.
- Obtain the Correction Statement and Agreement form from the appropriate source.
- Fill out the form, ensuring accuracy in all provided information.
- Review the completed form with all parties to confirm agreement on the corrections.
- Sign the form in the designated areas to validate the corrections.
- Submit the signed form to the relevant authority for processing.
Legal use of the Correction Statement and Agreement Rhode Island
The legal use of the Correction Statement and Agreement in Rhode Island is crucial for maintaining accurate records. This document is recognized by courts and government agencies as a formal means of correcting errors in previously filed documents. It ensures that all parties are in agreement regarding the changes made, which can prevent potential disputes. Proper use of this form can also help in compliance with state laws and regulations, safeguarding the legal standing of the parties involved.
State-specific rules for the Correction Statement and Agreement Rhode Island
In Rhode Island, specific rules govern the use of the Correction Statement and Agreement. These rules may include requirements for notarization, specific formatting, and submission processes. It is essential to ensure that the form meets all state guidelines to be considered valid. Additionally, certain deadlines may apply for submitting corrections, particularly in legal proceedings or regulatory contexts. Familiarity with these state-specific rules is vital for ensuring that the corrections are legally recognized.
Quick guide on how to complete correction statement and agreement rhode island
Complete [SKS] seamlessly on any device
Online document administration has become increasingly favored among businesses and individuals alike. It serves as an ideal eco-friendly substitute for traditional printed and signed documents, enabling you to access the correct form and securely store it online. airSlate SignNow provides all the tools you require to create, modify, and electronically sign your paperwork quickly without delays. Handle [SKS] on any device using airSlate SignNow's Android or iOS applications and enhance your document-centered processes today.
How to modify and eSign [SKS] with ease
- Locate [SKS] and click Get Form to begin.
- Use the tools we provide to fill out your form.
- Emphasize important sections of the document or redact sensitive information with tools that airSlate SignNow specifically offers for this purpose.
- Create your signature using the Sign feature, which takes only seconds and carries the same legal validity as a traditional ink signature.
- Review the information and click on the Done button to save your changes.
- Choose how you wish to deliver your form, either via email, text message (SMS), invite link, or download it to your computer.
Eliminate concerns about missing or misplaced files, tedious form searches, or errors that necessitate printing new document copies. airSlate SignNow meets all your document management needs in just a few clicks from any device you select. Edit and eSign [SKS] to ensure exceptional communication at every stage of your form preparation process with airSlate SignNow.
Create this form in 5 minutes or less
Related searches to Correction Statement And Agreement Rhode Island
Create this form in 5 minutes!
People also ask
-
What is a Correction Statement and Agreement in Rhode Island?
A Correction Statement and Agreement in Rhode Island is a legal document used to amend or rectify errors in public records. This statement ensures that your documents are accurate and can effectively resolve discrepancies. Utilizing airSlate SignNow, you can easily create, send, and eSign your Correction Statement and Agreement in Rhode Island securely.
-
How can I create a Correction Statement and Agreement in Rhode Island using airSlate SignNow?
Creating a Correction Statement and Agreement in Rhode Island with airSlate SignNow is simple and straightforward. Just select the template for the correction statement, fill in the necessary details, and customize it as needed. Our user-friendly platform allows you to eSign and send the document, ensuring seamless workflow.
-
What are the costs associated with using airSlate SignNow for my Correction Statement and Agreement in Rhode Island?
airSlate SignNow offers cost-effective pricing plans tailored for businesses of all sizes. You'll find that our services provide great value when handling your Correction Statement and Agreement in Rhode Island. Check our website for detailed pricing information and find a plan that suits your needs.
-
What features does airSlate SignNow offer for managing Correction Statements and Agreements in Rhode Island?
airSlate SignNow provides a comprehensive set of features designed to simplify the management of your Correction Statement and Agreement in Rhode Island. Features include real-time document tracking, customizable templates, and quick eSigning capabilities. These tools enhance efficiency and ensure you meet your document management needs.
-
How can airSlate SignNow benefit businesses dealing with Correction Statements and Agreements in Rhode Island?
Using airSlate SignNow to manage Correction Statements and Agreements in Rhode Island helps businesses save time and reduce errors. Our platform streamlines the document preparation and signing process, providing enhanced security and compliance. This efficiency contributes signNowly to smooth operations in the legal document workflow.
-
Can I integrate airSlate SignNow with other applications for my Correction Statement and Agreement in Rhode Island?
Yes, airSlate SignNow seamlessly integrates with various applications to support your Correction Statement and Agreement in Rhode Island. These integrations allow you to connect with popular CRM systems, cloud storage solutions, and other tools, enhancing your document management capabilities. Explore our integrations to streamline your workflow further.
-
Is airSlate SignNow secure for sending Correction Statements and Agreements in Rhode Island?
Absolutely! airSlate SignNow prioritizes the security of your documents, including Correction Statements and Agreements in Rhode Island. We employ industry-standard encryption and security protocols to ensure that your sensitive information remains protected. Rest assured, your documents are safe with us.
Get more for Correction Statement And Agreement Rhode Island
- Louisiana letter from landlord to tenant with 30 day notice of expiration of lease and nonrenewal by landlord vacate by form
- Lease renewal colorado form
- California agreed cancellation of lease form
- Letter tenant vacate form
- West virginia disclosure form
- Interrogatories 481370022 form
- Codicil form
- 30 day notice form
Find out other Correction Statement And Agreement Rhode Island
- How To Electronic signature Alaska Sports Document
- How Do I Electronic signature Alaska Sports Document
- How Do I Electronic signature Alaska Sports Document
- Help Me With Electronic signature Alaska Sports Document
- How Can I Electronic signature Alaska Sports Document
- Can I Electronic signature Alaska Sports Document
- Help Me With Electronic signature Alaska Sports Document
- How Can I Electronic signature Alaska Sports Document
- How To Electronic signature Alaska Sports Document
- How Do I Electronic signature Alaska Sports Document
- Can I Electronic signature Alaska Sports Document
- How To Electronic signature Alaska Sports Document
- Help Me With Electronic signature Alaska Sports Document
- How Can I Electronic signature Alaska Sports Document
- Can I Electronic signature Alaska Sports Document
- How Do I Electronic signature Alaska Sports Document
- How To Electronic signature Alaska Sports Document
- How Do I Electronic signature Alaska Sports Document
- Help Me With Electronic signature Alaska Sports Document
- How To Electronic signature Alaska Sports Form