
Adverse Possession Doctrine California Application PDF Form


What is the Adverse Possession Doctrine California Application Pdf
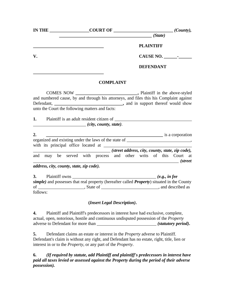
The Adverse Possession Doctrine in California allows an individual to claim ownership of a property under specific conditions. This legal concept is designed to encourage the productive use of land while preventing abandonment. The application form for adverse possession outlines the necessary criteria that must be met for a claim to be valid. Typically, these criteria include continuous possession of the property for a statutory period, open and notorious use, exclusive possession, and a claim of right. Understanding these elements is crucial for anyone looking to navigate the complexities of property law in California.
Steps to complete the Adverse Possession Doctrine California Application Pdf
Completing the Adverse Possession Doctrine California Application requires careful attention to detail. Here are the essential steps:
- Gather necessary documentation to prove your claim, such as tax records, photographs, or witness statements.
- Fill out the application form accurately, ensuring all required fields are completed.
- Attach supporting documents that validate your claim, including evidence of continuous and exclusive possession.
- Review the application for completeness and accuracy before submission.
- Submit the application to the appropriate court or agency as specified in the instructions.
Legal use of the Adverse Possession Doctrine California Application Pdf
The legal use of the Adverse Possession Doctrine California Application is essential for individuals seeking to formalize their claim to property. The application must comply with California law, which stipulates specific requirements for adverse possession. This includes maintaining possession for a minimum of five years, paying property taxes during that time, and demonstrating that the use of the property was both open and notorious. Properly using the application can lead to a legal declaration of ownership, providing the claimant with full rights to the property.
Key elements of the Adverse Possession Doctrine California Application Pdf
Understanding the key elements of the Adverse Possession Doctrine California Application is vital for a successful claim. The primary components include:
- Continuous Possession: The claimant must have uninterrupted possession of the property for at least five years.
- Open and Notorious Use: The use of the property must be visible and obvious, allowing the true owner the opportunity to assert their rights.
- Exclusive Possession: The claimant must possess the property solely, without sharing it with others.
- Claim of Right: The claimant must demonstrate a belief that they have a right to the property, even if that belief is mistaken.
Eligibility Criteria
To be eligible for the Adverse Possession Doctrine in California, several criteria must be met. These include:
- Possession of the property must be continuous for a minimum of five years.
- The claimant must have paid property taxes on the property during the possession period.
- The use of the property must be open, notorious, and exclusive, meaning it is visible and not concealed.
- The claimant must have a reasonable belief that they have a right to possess the property.
Form Submission Methods (Online / Mail / In-Person)
Submitting the Adverse Possession Doctrine California Application can be done through various methods, depending on the local court's requirements. Common submission methods include:
- Online: Some jurisdictions may allow electronic submission through their official court websites.
- Mail: The completed application can be sent via postal service to the appropriate court address.
- In-Person: Applicants may also choose to submit their forms directly at the courthouse during business hours.
Quick guide on how to complete complaint for quiet title california
Prepare complaint for quiet title california effortlessly on any device
Digital document management has become increasingly favored by businesses and individuals alike. It offers an excellent environmentally friendly solution to conventional printed and signed documents, allowing you to obtain the necessary form and securely store it online. airSlate SignNow provides all the resources you require to generate, modify, and eSign your documents swiftly without complications. Handle complaint quiet on any device using airSlate SignNow applications for Android or iOS and simplify any document-related workflows today.
How to adjust and eSign adverse possession pdf with ease
- Locate sample quiet title complaint and click Get Form to begin.
- Utilize the tools we offer to complete your form.
- Emphasize pertinent sections of your documents or redact sensitive information with features that airSlate SignNow provides specifically for that purpose.
- Generate your signature with the Sign tool, which takes moments and carries the same legal validity as a standard wet ink signature.
- Review the details and click on the Done button to save your modifications.
- Choose how you wish to submit your form: via email, SMS, invite link, or download it to your computer.
Say goodbye to lost or misplaced documents, tedious form searches, or mistakes that require printing new copies. airSlate SignNow addresses all your document management needs in just a few clicks from your preferred device. Edit and eSign adverse possession doctrine california application pdf and ensure clear communication at every stage of your form preparation journey with airSlate SignNow.
Create this form in 5 minutes or less
Related searches to adverse possession doctrine california application pdf
Create this form in 5 minutes!
People also ask adverse possession pdf
-
What is the cost of using airSlate SignNow for managing complaint quiet?
airSlate SignNow offers competitive pricing plans that cater to businesses of all sizes. The costs vary depending on the features you choose, but you can start with a free trial to see how the platform can help streamline your complaint quiet process. By utilizing airSlate SignNow, you'll find that the investment is cost-effective for enhancing your document management.
-
How does airSlate SignNow help in reducing complaint quiet processes?
With airSlate SignNow, businesses can signNowly streamline their complaint quiet processes by enabling electronic signatures and automated workflows. This means you’ll spend less time handling paperwork and more time focusing on resolving customer issues efficiently. The platform’s intuitive design makes it easy to create and send documents, ensuring that complaints are addressed quickly.
-
Can I integrate airSlate SignNow with other tools for better complaint quiet management?
Yes, airSlate SignNow offers seamless integrations with popular business applications such as Salesforce, Google Drive, and Dropbox. These integrations allow you to centralize your data and manage complaint quiet processes more effectively by connecting all relevant tools in one place. This connectivity enhances productivity and ensures that document handling is efficient.
-
What features does airSlate SignNow include to assist with complaint quiet documentation?
airSlate SignNow offers robust features designed for effective documentation management, including customizable templates and real-time tracking. These tools facilitate the handling of complaint quiet documentation, providing users with a streamlined means to track and manage their important contracts. With secure storage options, you can ensure that sensitive complaint data is protected.
-
Is airSlate SignNow secure for handling sensitive complaint quiet documents?
Absolutely, airSlate SignNow prioritizes security by using advanced encryption and secure data storage protocols. This means that while you manage your complaint quiet documents, you can rest assured that your sensitive information is safe from unauthorized access. Compliance with various regulatory standards further guarantees the integrity of your data.
-
How fast can I implement airSlate SignNow for my complaint quiet needs?
Implementation of airSlate SignNow is quick and user-friendly, allowing you to start managing your complaint quiet needs within minutes. The onboarding process is straightforward, with resources available to guide you through the setup. You can have your team up and running efficiently, minimizing delays in addressing customer complaints.
-
Are there any support resources available for creating complaint quiet documentation with airSlate SignNow?
Yes, airSlate SignNow provides extensive support resources, including tutorials, live chat, and an extensive knowledge base. This ensures that users can easily find assistance for creating and managing their complaint quiet documentation. With proactive customer support, you can optimize your use of the platform at any time.
Get more for sample quiet title complaint
- Request for referral to parental access program and treatment programs oregon form
- Small claims judgment oregon form
- Response to petition for modification of custody and visitation forms and instructions oregon
- Landlord tenant closing statement to reconcile security deposit oregon form
- Name change notification package for brides court ordered name change divorced marriage for oregon oregon form
- Name change notification form oregon
- Commercial building or space lease oregon form
- Oregon relative caretaker legal documents package oregon form
Find out other adverse possession doctrine california application pdf
- eSign South Carolina Car Dealer Bill Of Lading Later
- eSign South Carolina Car Dealer Bill Of Lading Now
- How Can I eSign South Carolina Car Dealer Living Will
- eSign South Carolina Car Dealer Bill Of Lading Myself
- eSign South Carolina Car Dealer Bill Of Lading Free
- eSign South Carolina Car Dealer Bill Of Lading Secure
- Can I eSign South Carolina Car Dealer Living Will
- eSign South Carolina Car Dealer Bill Of Lading Fast
- eSign South Carolina Car Dealer Bill Of Lading Simple
- eSign South Carolina Car Dealer Bill Of Lading Easy
- eSign South Carolina Car Dealer Bill Of Lading Safe
- How To eSign South Carolina Car Dealer Bill Of Lading
- Sign Oklahoma Courts Notice To Quit Online
- eSign South Carolina Car Dealer Job Offer Online
- eSign South Carolina Car Dealer Job Offer Mobile
- eSign South Carolina Car Dealer Job Offer Computer
- How Do I eSign South Carolina Car Dealer Bill Of Lading
- Sign Oklahoma Courts Notice To Quit Computer
- eSign South Carolina Car Dealer Job Offer Later
- eSign South Carolina Car Dealer Job Offer Now