 
                Nanny Contract Form
 
                             
                            What is the Nanny Contract Form
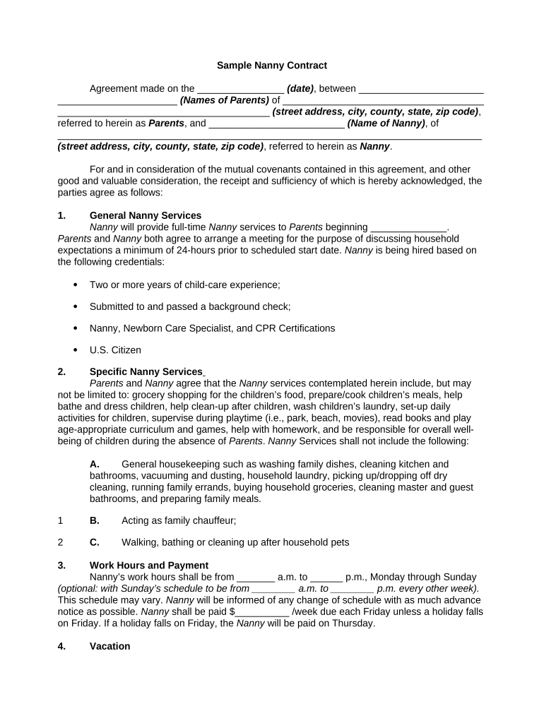
The Nanny Contract Form is a legal document that outlines the terms and conditions of employment between a nanny and the family they work for. This form serves as a binding agreement that clarifies the responsibilities of both parties, including work hours, payment, duties, and any other specific requirements. By using this form, families can ensure that their expectations are clearly communicated and that both parties are protected under the terms of the agreement.
Key elements of the Nanny Contract Form
A well-structured Nanny Contract Form should include several key elements to ensure clarity and legal protection. These elements typically comprise:
- Names and contact information: Full names and addresses of both the nanny and the employer.
- Job description: Detailed responsibilities and expectations of the nanny.
- Work hours: Specific days and hours the nanny is expected to work.
- Compensation: Payment details, including hourly rate, payment schedule, and any benefits.
- Termination clause: Conditions under which either party can terminate the agreement.
- Confidentiality agreement: Any privacy considerations regarding the family’s information.
Steps to complete the Nanny Contract Form
Completing the Nanny Contract Form involves several straightforward steps. First, both parties should discuss and agree on the terms outlined in the contract. Once the terms are established, follow these steps:
- Fill in personal details: Include the names and addresses of both the nanny and the employer.
- Specify job duties: Clearly outline the nanny's responsibilities.
- Detail work hours and pay: Include the agreed-upon hours and compensation.
- Review the contract: Both parties should read through the document to ensure accuracy and agreement.
- Sign the contract: Both parties should sign and date the form to make it legally binding.
Legal use of the Nanny Contract Form
The Nanny Contract Form is legally binding when properly completed and signed by both parties. To ensure its legality, it is important to comply with local labor laws and regulations. This includes adhering to minimum wage laws, overtime pay, and any other relevant employment standards. Additionally, maintaining a copy of the signed contract is advisable for both the nanny and the employer, as it serves as evidence of the agreed terms.
How to use the Nanny Contract Form
Using the Nanny Contract Form effectively involves understanding its purpose and ensuring it is tailored to the specific needs of the family and the nanny. Families should use the form to:
- Establish clear expectations and responsibilities.
- Protect both parties legally by documenting agreed-upon terms.
- Facilitate open communication about job duties and compensation.
By following these guidelines, families can create a positive working relationship with their nanny while ensuring compliance with legal standards.
State-specific rules for the Nanny Contract Form
It is essential to be aware of state-specific rules and regulations that may affect the Nanny Contract Form. Different states may have varying laws regarding employment contracts, minimum wage, and labor rights. Families should research their state’s employment laws to ensure that their nanny contract complies with local regulations. Consulting with a legal professional can also provide clarity on any specific requirements that must be included in the contract.
Quick guide on how to complete sample word in employment contract for duration of project to be reduce
Complete sample word in employment contract for duration of project to be reduce effortlessly on any device
Digital document management has surged in popularity among companies and individuals. It serves as an ideal eco-friendly alternative to traditional printed and signed documents, allowing you to locate the necessary form and securely keep it online. airSlate SignNow provides you with all the resources required to create, modify, and electronically sign your documents quickly and without complications. Manage contract sample employment on any device using the airSlate SignNow Android or iOS applications and enhance any document-related process today.
How to modify and eSign child care emergency agreement sample with ease
- Obtain sample agreement with contractor for barbed wire fencing for house and click Get Form to get started.
- Utilize the tools we provide to complete your document.
- Emphasize important sections of your documents or conceal sensitive information with tools that airSlate SignNow offers specifically for that purpose.
- Create your signature using the Sign tool, which takes just seconds and carries the same legal validity as a conventional wet ink signature.
- Review the details and then click on the Done button to save your modifications.
- Select how you wish to send your form, whether by email, SMS, or invitation link, or download it to your computer.
Say goodbye to lost or misfiled documents, tedious form searching, or errors that necessitate printing new document copies. airSlate SignNow addresses all your document management needs in just a few clicks from any device you prefer. Modify and eSign sample of drafting contract of employment for senior officers and guarantee effective communication at every stage of the document preparation process with airSlate SignNow.
Create this form in 5 minutes or less
Related searches to nanny contract employment
Create this form in 5 minutes!
People also ask child care agreement sample
- 
                                
                                    
                                    
                                    What is a contract sample employment and why is it important?
                                
                                A contract sample employment is a template used to outline the terms of employment between an employer and an employee. It is important because it sets clear expectations regarding job responsibilities, compensation, and other key details that protect both parties.
- 
                                
                                    
                                    
                                    How can airSlate SignNow help in creating a contract sample employment?
                                
                                airSlate SignNow offers an intuitive platform that allows you to easily create and customize a contract sample employment. With user-friendly templates and drag-and-drop features, businesses can quickly draft agreements that meet their specific hiring needs.
- 
                                
                                    
                                    
                                    Does airSlate SignNow provide any examples of a contract sample employment?
                                
                                Yes, airSlate SignNow provides various examples of a contract sample employment that users can utilize. These samples serve as a starting point, making it easier for businesses to tailor the contract to their individual hiring practices and legal requirements.
- 
                                
                                    
                                    
                                    What are the benefits of using airSlate SignNow for contract signing?
                                
                                Using airSlate SignNow for contract signing streamlines the process, enables quick digital signatures, and saves time. The platform enhances security, ensuring that your contract sample employment is safely stored and easily accessible by both parties.
- 
                                
                                    
                                    
                                    Is there a cost associated with using airSlate SignNow for contract sample employment?
                                
                                Yes, there are various pricing plans available for using airSlate SignNow, catering to different business needs. Each plan provides access to features that facilitate the creation, signing, and management of a contract sample employment, ensuring cost-effectiveness for organizations.
- 
                                
                                    
                                    
                                    Can airSlate SignNow integrate with other tools I use for HR?
                                
                                Absolutely! airSlate SignNow offers seamless integrations with popular HR software and tools, enhancing your workflow. This allows you to manage your contract sample employment and other documents efficiently without disrupting your existing processes.
- 
                                
                                    
                                    
                                    How secure is the process of signing a contract sample employment with airSlate SignNow?
                                
                                Security is a top priority for airSlate SignNow. The platform employs industry-leading encryption technologies to ensure that your contract sample employment remains confidential and protected throughout the signing process.
Get more for contract sample child
Find out other form sample child
- Can I Sign Alaska High Tech Presentation
- How To Sign Alaska High Tech Presentation
- How Do I Sign Alaska High Tech Presentation
- How To Sign Alaska High Tech Presentation
- How Do I Sign Alaska High Tech Presentation
- Help Me With Sign Alaska High Tech Presentation
- How Can I Sign Alaska High Tech Presentation
- Can I Sign Alaska High Tech Presentation
- Help Me With Sign Alaska High Tech Presentation
- How To Sign Alaska High Tech Presentation
- How To Sign Alaska High Tech Presentation
- How Do I Sign Alaska High Tech Presentation
- How Can I Sign Alaska High Tech Presentation
- How Do I Sign Alaska High Tech Presentation
- Help Me With Sign Alaska High Tech Presentation
- Help Me With Sign Alaska High Tech Presentation
- How Can I Sign Alaska High Tech Presentation
- Can I Sign Alaska High Tech Presentation
- Can I Sign Alaska High Tech Presentation
- How Can I Sign Alaska High Tech Presentation