
Agreement for Development of Software to Specifications Form


What is the Agreement For Development Of Software To Specifications
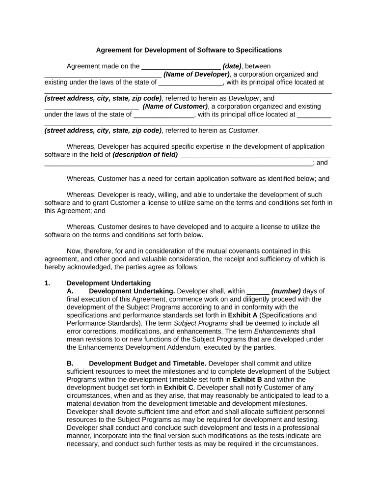
The Agreement For Development Of Software To Specifications is a legal document that outlines the terms and conditions under which software is developed according to specific requirements set by a client. This agreement serves to protect both the developer and the client by clearly defining the scope of work, deliverables, timelines, and payment terms. It is essential for ensuring that all parties have a mutual understanding of their responsibilities and expectations throughout the software development process.
How to use the Agreement For Development Of Software To Specifications
Using the Agreement For Development Of Software To Specifications involves several steps. First, both parties should review the document to ensure it reflects their needs accurately. Next, any necessary modifications should be made to address specific project requirements. Once finalized, both the client and the developer should sign the agreement, ideally using a secure electronic signature platform to enhance the document's legal validity. This process ensures that both parties are committed to the terms outlined in the agreement.
Key elements of the Agreement For Development Of Software To Specifications
The key elements of the Agreement For Development Of Software To Specifications include:
- Scope of Work: A detailed description of the software to be developed, including features and functionalities.
- Timeline: Specific deadlines for project milestones and final delivery.
- Payment Terms: Clear terms regarding compensation, including payment schedules and methods.
- Intellectual Property Rights: Clauses that define ownership of the developed software and any related materials.
- Confidentiality: Provisions to protect sensitive information shared between parties.
- Dispute Resolution: Procedures for resolving any disagreements that may arise during the project.
Steps to complete the Agreement For Development Of Software To Specifications
Completing the Agreement For Development Of Software To Specifications involves the following steps:
- Identify the parties involved in the agreement.
- Clearly define the scope of work, including all software requirements.
- Establish a timeline for project milestones and final delivery.
- Outline the payment terms, including amounts and schedules.
- Include clauses on intellectual property rights and confidentiality.
- Review the agreement for clarity and completeness.
- Sign the agreement using a reliable electronic signature tool.
Legal use of the Agreement For Development Of Software To Specifications
The legal use of the Agreement For Development Of Software To Specifications is governed by various laws and regulations that ensure its enforceability. In the United States, electronic signatures are recognized under the ESIGN Act and UETA, which provide a legal framework for eSigning documents. To ensure compliance, it is important to use a reputable electronic signature platform that maintains security and provides an audit trail. This helps in establishing the authenticity of the signatures and the integrity of the document.
Examples of using the Agreement For Development Of Software To Specifications
Examples of using the Agreement For Development Of Software To Specifications can be seen in various scenarios:
- A startup hiring a software development firm to create a mobile application tailored to their business needs.
- A corporation engaging a freelance developer to build a customized internal software tool for employee management.
- A non-profit organization contracting with a software house to develop a donation management system that meets specific functionality requirements.
Quick guide on how to complete agreement for development of software to specifications 497331994
Finalize [SKS] effortlessly on any device
Digital document management has become increasingly popular among businesses and individuals alike. It serves as an ideal eco-friendly alternative to traditional printed and signed documents, allowing you to access the necessary form and securely store it online. airSlate SignNow provides you with all the tools required to create, modify, and eSign your documents promptly without any delays. Manage [SKS] on any device using the airSlate SignNow Android or iOS applications and enhance any document-centric procedure today.
How to modify and eSign [SKS] seamlessly
- Locate [SKS] and click Get Form to begin.
- Utilize the tools we provide to complete your form.
- Highlight important sections of the documents or redact sensitive information with tools that airSlate SignNow offers specifically for that purpose.
- Create your signature using the Sign tool, which takes only seconds and carries the same legal validity as a conventional wet ink signature.
- Review all the details and click the Done button to save your changes.
- Choose how you would like to send your form, via email, SMS, or invite link, or download it to your computer.
Eliminate concerns about lost or misplaced files, tedious form searching, or errors that require printing new document copies. airSlate SignNow meets all your document management requirements in just a few clicks from your preferred device. Modify and eSign [SKS] and ensure optimal communication at any stage of the form preparation process with airSlate SignNow.
Create this form in 5 minutes or less
Related searches to Agreement For Development Of Software To Specifications
Create this form in 5 minutes!
People also ask
-
What is an Agreement For Development Of Software To Specifications?
An Agreement For Development Of Software To Specifications is a legal document that outlines the requirements and expectations for software development projects. It ensures that both the client and the developer are aligned on the project's scope, features, and timeline.
-
How can airSlate SignNow help me with my Agreement For Development Of Software To Specifications?
airSlate SignNow facilitates the signing process of your Agreement For Development Of Software To Specifications by allowing you to send and eSign documents easily. Our user-friendly platform streamlines document management, ensuring a smooth workflow from negotiation to execution.
-
What features are included in airSlate SignNow for managing Agreements For Development Of Software To Specifications?
Our platform offers features such as customizable templates, secure eSigning, real-time document tracking, and seamless integration with your favorite applications, all tailored for managing Agreements For Development Of Software To Specifications. With these tools, you can efficiently handle your documents and reduce time spent on manual processes.
-
Is airSlate SignNow cost-effective for handling software development agreements?
Yes, airSlate SignNow provides a cost-effective solution for handling Agreements For Development Of Software To Specifications without compromising quality. Our pricing plans are designed to suit various business needs and budgets, enabling you to optimize your resources effectively.
-
Can I customize my Agreement For Development Of Software To Specifications using airSlate SignNow?
Absolutely! airSlate SignNow allows you to create and customize your Agreement For Development Of Software To Specifications using our easy-to-use editor. This flexibility ensures that your contracts meet specific business requirements and legal standards.
-
What are the benefits of using airSlate SignNow for my software agreements?
Using airSlate SignNow for your Agreements For Development Of Software To Specifications offers numerous benefits, including enhanced security, time savings, and improved collaboration. Our platform ensures that your documents are securely stored and easily accessible, enabling seamless communication among team members.
-
Does airSlate SignNow integrate with other tools I might be using?
Yes, airSlate SignNow integrates seamlessly with various tools and platforms, enhancing your workflow when managing Agreements For Development Of Software To Specifications. You can connect with apps like Google Drive, Salesforce, and many others to streamline your document processes effectively.
Get more for Agreement For Development Of Software To Specifications
- Wwwrevenuepagovdocumentsrev 181 iinstructions for securing a tax clearance certificate to file form
- 2021 pa schedule d sale exchange or disposition of property within pennsylvania pa 20spa 65d formspublications
- California group nonresident tax returnftbcagov form
- Form it 203 s att attachment to form it 203 s tax year 2022
- Substitute for form w 2 wage and tax statement or form 1099 r fill
- 2022 california form 3586 e file payment voucher for corporations and exempt organizations e filed returns
- Form it 21026 certificate of income tax withheld tax year 2022
- Form it 209 claim for noncustodial parent new york state earned income
Find out other Agreement For Development Of Software To Specifications
- How Can I eSign North Carolina Government Document
- Can I eSign North Carolina Government Document
- How To eSign North Carolina Government Document
- How Do I eSign North Carolina Government Document
- How To eSign North Carolina Government Document
- Help Me With eSign North Carolina Government Document
- How To eSign North Carolina Government Document
- How Do I eSign North Carolina Government Document
- Help Me With eSign North Carolina Government Document
- How Can I eSign North Carolina Government Document
- How Can I eSign North Carolina Government Document
- How Do I eSign North Carolina Government Document
- Can I eSign North Carolina Government Document
- Can I eSign North Carolina Government Document
- Help Me With eSign North Carolina Government Document
- How Can I eSign North Carolina Government Document
- How To eSign North Carolina Government Document
- How To eSign North Carolina Government Document
- Can I eSign North Carolina Government Document
- How Do I eSign North Carolina Government Document