 
                Surrogate Form
 
                             
                            What is the Surrogate Form
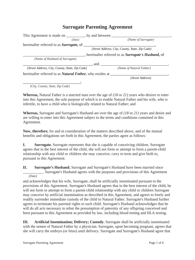
The surrogate form is a legal document used in the context of surrogate parenting arrangements. It outlines the rights and responsibilities of all parties involved, including the surrogate mother and the intended parents. This form serves as a foundational agreement that helps ensure clarity and mutual understanding regarding the surrogate's role, compensation, and medical decisions throughout the pregnancy. It is essential for establishing a legally binding relationship that protects the interests of everyone involved, particularly the child.
How to use the Surrogate Form
Using the surrogate form involves several key steps to ensure that it is filled out correctly and comprehensively. Initially, both the intended parents and the surrogate should review the document together, discussing each section to clarify expectations and obligations. Once all parties agree on the terms, they should complete the form, providing necessary personal information and signatures. After filling out the surrogate form, it is advisable to have the document notarized to enhance its legal standing. This step helps to ensure that the agreement is recognized by courts and relevant authorities.
Key elements of the Surrogate Form
The surrogate form typically includes several critical elements that define the agreement between the parties. These elements may encompass:
- Identification of Parties: Names and contact information of the intended parents and the surrogate.
- Compensation Details: Information regarding financial arrangements, including payments and any additional expenses covered.
- Medical Decisions: Guidelines on medical care and decision-making during the pregnancy.
- Parental Rights: Clear statements regarding the transfer of parental rights upon the birth of the child.
- Confidentiality Clauses: Provisions to protect the privacy of all parties involved.
Steps to complete the Surrogate Form
Completing the surrogate form requires careful attention to detail to ensure all necessary information is accurately provided. Here are the recommended steps:
- Review the Form: Read through the entire document to understand its contents and implications.
- Gather Required Information: Collect personal details, including medical history and financial information.
- Fill Out the Form: Complete each section of the surrogate form, ensuring accuracy and clarity.
- Signatures: All parties should sign the form in the presence of a notary public.
- Store the Document Securely: Keep the signed form in a safe place for future reference.
Legal use of the Surrogate Form
The legal use of the surrogate form is crucial for establishing the rights and obligations of the parties involved. To be considered legally binding, the form must comply with state laws governing surrogacy agreements. This includes adhering to regulations regarding consent, medical care, and parental rights. It is advisable for both intended parents and surrogates to consult with legal professionals who specialize in family law to ensure that the surrogate form meets all legal requirements and protects their interests adequately.
Eligibility Criteria
Eligibility criteria for participating in a surrogate arrangement typically include specific requirements that both the surrogate and intended parents must meet. For surrogates, these may involve:
- Being of legal age, usually at least 21 years old.
- Having a healthy medical history and undergoing medical evaluations.
- Having previously given birth to at least one child.
Intended parents often need to demonstrate financial stability and the ability to provide for the child. Additionally, both parties should be mentally and emotionally prepared for the surrogacy journey.
Quick guide on how to complete surrogate parenting
Complete surrogate parenting effortlessly on any device
Digital document management has become increasingly popular among businesses and individuals. It offers a fantastic eco-friendly substitute for traditional printed and signed documents, allowing you to access the correct form and securely save it online. airSlate SignNow equips you with all the necessary tools to create, modify, and sign your documents rapidly without any delays. Handle surrogate form on any device with airSlate SignNow's Android or iOS applications and enhance any document-focused process today.
How to alter and eSign parenting agreement with ease
- Obtain parenting agreement sample and click Get Form to begin.
- Use the tools we provide to fill out your document.
- Emphasize pertinent sections of your documents or obscure sensitive information with tools that airSlate SignNow offers specifically for that purpose.
- Create your eSignature with the Sign tool, which only takes moments and holds the same legal validity as a conventional ink signature.
- Review all the information and click on the Done button to save your modifications.
- Choose your preferred method of delivering your form, via email, SMS, or invitation link, or download it to your computer.
Say goodbye to lost or misplaced documents, tedious form hunts, or errors that necessitate printing new document copies. airSlate SignNow satisfies all your document management needs in just a few clicks from any device you choose. Alter and eSign parenting agreement template and ensure effective communication throughout the document preparation process with airSlate SignNow.
Create this form in 5 minutes or less
Related searches to parenting agreement printable
Create this form in 5 minutes!
People also ask parenting agreement
- 
                                
                                    
                                    
                                    What is a surrogate form and how does it work with airSlate SignNow?
                                
                                A surrogate form is an alternative document that can be created to facilitate the signing process. With airSlate SignNow, users can easily create, send, and eSign surrogate forms, ensuring that all necessary details are captured and processed swiftly.
- 
                                
                                    
                                    
                                    How much does it cost to use airSlate SignNow for surrogate forms?
                                
                                airSlate SignNow offers flexible pricing plans tailored to different business needs. Users can choose a plan that suits their volume of surrogate forms, with competitive rates making it a cost-effective solution for all signing needs.
- 
                                
                                    
                                    
                                    What are the key features of airSlate SignNow for creating surrogate forms?
                                
                                Key features include an intuitive drag-and-drop interface, customizable templates, and seamless integration with various applications. These features allow users to create efficient surrogate forms easily and streamline the signing process.
- 
                                
                                    
                                    
                                    Can I integrate airSlate SignNow with other applications for managing surrogate forms?
                                
                                Absolutely! airSlate SignNow integrates with a variety of applications such as Google Drive, Dropbox, and CRM systems. This capability allows you to manage surrogate forms efficiently across your business workflows.
- 
                                
                                    
                                    
                                    What benefits does airSlate SignNow offer for handling surrogate forms?
                                
                                Using airSlate SignNow for surrogate forms enhances workflow efficiency, reduces paper usage, and ensures compliance with digital signing laws. It streamlines the entire signing process, making it faster and more reliable.
- 
                                
                                    
                                    
                                    Is it safe to use airSlate SignNow for signing surrogate forms?
                                
                                Yes, airSlate SignNow takes security seriously, implementing advanced encryption and compliance with industry standards. This ensures that all surrogate forms are signed securely and confidentially.
- 
                                
                                    
                                    
                                    How can I track the status of surrogate forms sent through airSlate SignNow?
                                
                                Users can easily track the status of surrogate forms sent through airSlate SignNow via the intuitive dashboard. This feature provides real-time updates, so you always know whether a document has been viewed or signed.
Get more for parenting agreement sample
Find out other parenting agreement template
- Sign Mississippi Car Dealer Lease Agreement Simple
- How Can I Sign Mississippi Car Dealer NDA
- Sign Mississippi Car Dealer Lease Agreement Easy
- Sign Minnesota Car Dealer Business Plan Template Online
- Sign Mississippi Car Dealer Lease Agreement Safe
- Can I Sign Mississippi Car Dealer NDA
- Sign Minnesota Car Dealer Business Plan Template Computer
- Sign Mississippi Car Dealer Living Will Online
- Sign Minnesota Car Dealer Business Plan Template Mobile
- Sign Mississippi Car Dealer Living Will Computer
- Sign Mississippi Car Dealer Living Will Mobile
- Sign Minnesota Car Dealer Business Plan Template Now
- Sign Mississippi Car Dealer Living Will Now
- Sign Mississippi Car Dealer Living Will Later
- Sign Minnesota Car Dealer Business Plan Template Later
- Sign Mississippi Car Dealer Living Will Myself
- Sign Mississippi Car Dealer Living Will Free
- Sign Minnesota Car Dealer Business Plan Template Myself
- Sign Mississippi Car Dealer Living Will Secure
- How To Sign Mississippi Car Dealer Lease Agreement