
Online Salary Slip Generator Form


What is the Online Salary Slip Generator
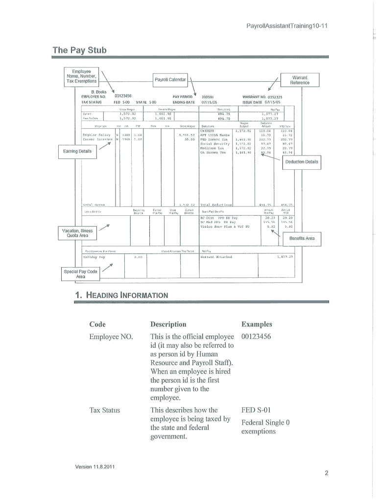
The online salary slip generator is a digital tool designed to create payslips efficiently and accurately. This tool allows users to input essential information such as employee details, salary components, and deductions. By automating the payslip creation process, it reduces the risk of errors that can occur with manual entries. The generated payslip can be customized to meet specific company formats and legal requirements, making it a valuable resource for businesses and employees alike.
How to use the Online Salary Slip Generator
Using the online salary slip generator is straightforward. Users typically start by selecting a template that suits their needs. Once a template is chosen, they can enter the necessary details, including:
- Employee name and ID
- Salary period
- Gross salary
- Deductions (taxes, insurance, etc.)
- Net salary
After filling in the required fields, users can preview the payslip to ensure accuracy before finalizing it. Once satisfied, the payslip can be saved as a PDF or printed directly. This process ensures that employees receive their payslips promptly and in a professional format.
Steps to complete the Online Salary Slip Generator
To effectively complete the online salary slip generator, follow these steps:
- Select the appropriate payslip template.
- Input employee information, including name, ID, and position.
- Enter the salary details, including gross pay and deductions.
- Review the information for accuracy.
- Generate the payslip and save or print it as needed.
This structured approach ensures that all necessary information is captured and that the final document is accurate and compliant with relevant regulations.
Legal use of the Online Salary Slip Generator
The legal use of the online salary slip generator hinges on compliance with federal and state regulations regarding employee compensation documentation. In the United States, it is essential that the payslip includes accurate information about wages, deductions, and any other relevant details. The use of a reliable generator that adheres to these legal standards can help ensure that the generated payslips are valid and can withstand scrutiny from employees or regulatory bodies.
Key elements of the Online Salary Slip Generator
Key elements of an online salary slip generator include:
- Customizable templates that meet various business needs.
- Input fields for all necessary salary components.
- Options for including company branding and logos.
- Secure storage and retrieval of generated payslips.
- Compliance features that ensure adherence to legal requirements.
These elements contribute to a user-friendly experience while ensuring that the generated documents are professional and legally compliant.
Examples of using the Online Salary Slip Generator
Examples of using the online salary slip generator include:
- A small business creating payslips for its employees each month.
- An HR department generating payslips during the onboarding process for new hires.
- Freelancers using the tool to provide payment documentation to clients.
These scenarios illustrate the versatility of the salary slip generator in various professional contexts, ensuring that all parties have access to accurate payment records.
Quick guide on how to complete slip editor
Effortlessly Prepare slip editor on Any Device
Managing documents online has gained immense popularity among businesses and individuals. It serves as an ideal environmentally friendly alternative to traditional printed and signed documents, allowing you to locate the appropriate form and securely store it online. airSlate SignNow provides all the tools necessary to create, modify, and eSign your documents rapidly without any delays. Handle payslip editor on any device with airSlate SignNow's Android or iOS applications and enhance any document-centric process today.
How to Alter and eSign payslip editor app with Ease
- Obtain salary slip editor and click Get Form to begin.
- Utilize the tools we offer to complete your form.
- Emphasize pertinent sections of your documents or obscure sensitive information using tools that airSlate SignNow specifically provides for that purpose.
- Create your eSignature with the Sign feature, which takes mere seconds and holds the same legal validity as a conventional wet ink signature.
- Review the information and click the Done button to save your modifications.
- Choose how you wish to send your form, whether by email, SMS, invitation link, or download it to your computer.
Eliminate concerns about lost or misplaced documents, tedious form searches, or errors that necessitate printing new copies. airSlate SignNow manages your document administration needs in just a few clicks from any device you prefer. Modify and eSign salary slip generator and ensure seamless communication throughout your form preparation process with airSlate SignNow.
Create this form in 5 minutes or less
FAQs online payslip editor
-
How do I fill a form which is PDF?
You can try out Fill which had a free forever plan and requires no download. You simply upload your PDF and then fill it in within the browser:UploadFillDownloadIf the fields are live, as in the example above, simply fill them in. If the fields are not live you can drag on the fields to complete it quickly. Once you have completed the form click the download icon in the toolbar to download a copy of the finished PDF. Or send it for signing.Open a free account on Fill here
-
How can I electronically fill out a PDF form?
You’ll need a PDF editor to fill out forms. I recommend you PDF Expert, it’s a great solution for Mac.What forms it supports:Acro forms created in signNow or similar programs.Static XFA forms created in signNow LiveCycle.PDF Expert supports checkboxes and text fields. Just click them and type what you need.If your form is non-interactive, you can type on it using the ‘Text’ tool (go to the ‘Annotate’ tab > ‘Text’).For a non-interactive checkbox, you can use the ‘Stamp’ tool or just type ‘x’ on it.For a more detailed tutorial, check the article “How to fill out a PDF form on Mac”. And here are the guides on how to fill out different tax forms.Hopefully, this helps!
-
How do you fill out a form scanned as a PDF?
If you have Acrobat Reader or Foxit Phantom, you can add form to the PDF file you want to fill in. Refer to the screenshot here (Phantom). First click on Form, then you can pick option you want for your form (Text Field, Check box…) and draw it where you want to input your data. You can also change font and size of it to fit the existing text. When you are done adding the fields, you can just click on the hand icon, and you can now fill in your form and then save it as.
-
What is the best way to fill out a PDF form?
If you are a user of Mac, iPhone or iPad, your tasks will be quickly and easily solved with the help of PDF Expert. Thanks to a simple and intuitive design, you don't have to dig into settings and endless options. PDF Expert also allows you to view, edit, reduce, merge, extract, annotate important parts of documents in a click. You have a special opportunity to try it on your Mac for free!
-
Is it possible to display a PDF form on mobile web to fill out and get e-signed?
Of course, you can try a web called eSign+. This site let you upload PDF documents and do some edition eg. drag signature fields, add date and some informations. Then you can send to those, from whom you wanna get signatures.
-
Is there a service that will allow me to create a fillable form on a webpage, and then email a PDF copy of each form filled out?
You can use Fill which is has a free forever plan.You can use Fill to turn your PDF document into an online document which can be completed, signed and saved as a PDF, online.You will end up with a online fillable PDF like this:w9 || FillWhich can be embedded in your website should you wish.InstructionsStep 1: Open an account at Fill and clickStep 2: Check that all the form fields are mapped correctly, if not drag on the text fields.Step 3: Save it as a templateStep 4: Goto your templates and find the correct form. Then click on the embed settings to grab your form URL.
-
Is there a software or online service to fill out immigration PDF forms automatically from a web form?
If you are looking to fill out form without downloading the form and without any apps installed, then please try PDF.co ! It is capable of filling out any web form using just a link to a source fillable form:
-
What service can I use to have a website visitor fill out a form, put the data in the form into a prewritten PDF, then charge the visitor to download the PDF with the data provided filled in?
You can use signNow to set up PDF templates, which can be filled out with an online form. signNow doesn’t support charging people to download the PDF, but you could use Stripe for this (would require some programming.)
Related searches to pay slip editor online pdf
Create this form in 5 minutes!
How to create an eSignature for the edit payslip
How to make an eSignature for your Salary Slip Pdf Form online
How to create an electronic signature for the Salary Slip Pdf Form in Google Chrome
How to make an eSignature for putting it on the Salary Slip Pdf Form in Gmail
How to generate an eSignature for the Salary Slip Pdf Form right from your mobile device
How to generate an eSignature for the Salary Slip Pdf Form on iOS devices
How to make an electronic signature for the Salary Slip Pdf Form on Android
People also ask edit payslip online
-
What is a payslip editor and how does it work?
A payslip editor is a tool that allows users to create, customize, and manage payslips easily. With airSlate SignNow's payslip editor, you can input employee details, adjust tax information, and generate professional payslips quickly. This streamlines payroll processing, making it simple and efficient for businesses.
-
How much does the airSlate SignNow payslip editor cost?
Pricing for the airSlate SignNow payslip editor varies based on the plan you choose. We offer competitive pricing tiers that accommodate businesses of all sizes, ensuring a cost-effective solution. To find the plan that suits your needs, visit our pricing page for detailed information.
-
What features does the payslip editor offer?
The airSlate SignNow payslip editor provides various features including customizable templates, automated calculations for taxes and deductions, and secure eSignature capabilities. These tools make it easy to generate accurate payslips while enhancing your workflow efficiency. You can also track payslip history and make updates as necessary.
-
Can I integrate the payslip editor with other tools?
Yes, the airSlate SignNow payslip editor seamlessly integrates with various third-party applications such as accounting software, HR platforms, and workflow systems. This integration enhances your productivity by allowing you to synchronize data across systems. Explore our integration options to find the best fit for your business.
-
What are the benefits of using a payslip editor?
Using a payslip editor like airSlate SignNow can save time, reduce errors, and improve the overall accuracy of your payroll process. It allows for quick generation and distribution of payslips, ensuring employees receive timely and accurate information. Additionally, it enhances compliance with labor laws and regulations.
-
Is the payslip editor secure and compliant?
Absolutely! The airSlate SignNow payslip editor follows strict security protocols and compliance standards to ensure your data is protected. We use encryption and secure access to safeguard sensitive information, allowing you to manage payslips with confidence while meeting regulatory requirements.
-
Can I customize payslips using the editor?
Yes, the payslip editor in airSlate SignNow allows complete customization for your payslips. You can add your company logo, adjust layouts, and specify various elements according to your brand's requirements. This flexibility helps you create professional-looking payslips that reflect your company’s identity.
Get more for salary slip pdf editor
Find out other payslip editor download
- How Can I eSign Alabama Banking Forbearance Agreement
- eSign Alabama Banking Limited Power Of Attorney Later
- Sign Connecticut Courts Cease And Desist Letter Fast
- Can I eSign Alabama Banking Forbearance Agreement
- eSign Alabama Banking Limited Power Of Attorney Myself
- Sign Connecticut Courts Cease And Desist Letter Simple
- eSign Alabama Banking Notice To Quit Online
- eSign Alabama Banking Notice To Quit Computer
- eSign Alabama Banking Notice To Quit Mobile
- Sign Connecticut Courts Cease And Desist Letter Easy
- eSign Alabama Banking Notice To Quit Now
- eSign Alabama Banking Limited Power Of Attorney Free
- eSign Alabama Banking Notice To Quit Later
- Sign Connecticut Courts Cease And Desist Letter Safe
- eSign Alabama Banking Notice To Quit Myself
- eSign Alabama Banking Notice To Quit Free
- eSign Alabama Banking Notice To Quit Secure
- eSign Alabama Banking Limited Power Of Attorney Secure
- eSign Alabama Banking Notice To Quit Fast
- eSign Alabama Banking Notice To Quit Simple