 
                PhotoArtwork Release Form Manifest Counseling Collective
 
                             
                            Understanding the Photo Release Agreement
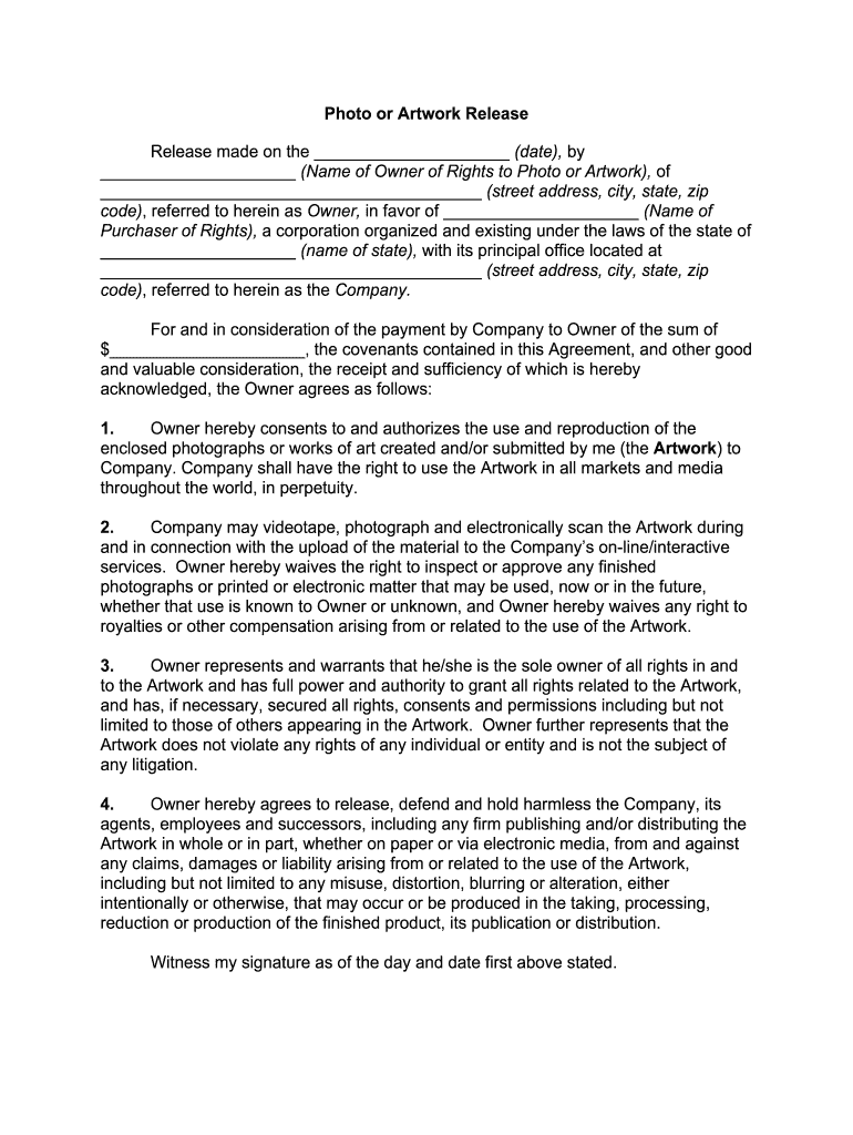
A photo release agreement is a legal document that grants permission to use images or videos of individuals or their property. This agreement is essential for protecting both the photographer and the subject, ensuring that the rights of all parties are respected. It typically outlines the scope of use, duration, and any compensation involved. By having a photo release document in place, photographers can avoid potential disputes regarding the use of their work.
Key Elements of the Photo Release Agreement
When creating a photo release agreement, several key elements should be included to ensure clarity and legal validity:
- Identification of Parties: Clearly state the names and contact information of both the photographer and the subject.
- Description of the Images: Specify what images or videos are covered under the agreement.
- Scope of Use: Detail how the images will be used, whether for commercial purposes, social media, or personal use.
- Duration: Indicate how long the permission is granted, whether for a specific period or indefinitely.
- Compensation: If applicable, outline any payment or compensation arrangements.
- Revocation: Include terms regarding how and when the subject can revoke their consent.
Steps to Complete the Photo Release Agreement
Completing a photo release agreement involves several straightforward steps:
- Gather Information: Collect all necessary details about the parties involved and the images.
- Draft the Agreement: Use a template or create a document that includes all key elements outlined above.
- Review: Ensure that both parties read and understand the terms of the agreement.
- Sign the Document: Both parties should sign the agreement to make it legally binding. This can be done electronically for convenience.
- Store the Agreement: Keep a copy of the signed document for future reference.
Legal Use of the Photo Release Agreement
The legal use of a photo release agreement is crucial in protecting the rights of both the photographer and the subject. In the United States, having a signed release can prevent legal issues related to copyright and privacy. It is important to comply with state laws regarding consent, especially when the images involve minors or sensitive subjects. A well-drafted photo release document can serve as a strong defense in case of disputes over the use of images.
Examples of Using the Photo Release Agreement
Photo release agreements are commonly used in various scenarios, including:
- Commercial Photography: Businesses often require photographers to obtain releases for marketing materials.
- Social Media Content: Influencers and brands use photo releases to share images of individuals in promotional posts.
- Event Photography: Photographers at weddings or public events typically ask attendees to sign releases to use their images.
Obtaining the Photo Release Agreement
Obtaining a photo release agreement can be done easily through various methods. Many online platforms offer templates that can be customized to fit specific needs. It is also possible to consult with a legal professional to draft a tailored agreement. Ensuring that the agreement meets all legal requirements is essential for its enforceability.
Quick guide on how to complete photo release editable
Prepare photo release editable easily on any device
Digital document management has become increasingly popular among businesses and individuals. It offers an excellent eco-friendly substitute for traditional printed and signed documents, allowing you to find the correct form and securely save it online. airSlate SignNow provides all the features needed to create, modify, and electronically sign your documents quickly without delays. Handle photo release agreement on any device using the airSlate SignNow Android or iOS applications and simplify any document-related task today.
The easiest way to alter and eSign photo and video release form effortlessly
- Find photo release document and select Get Form to begin.
- Utilize the features we provide to fill out your document.
- Emphasize important sections of your documents or obscure confidential information with tools that airSlate SignNow offers specifically for this purpose.
- Create your eSignature with the Sign feature, which takes mere seconds and carries the same legal validity as a conventional wet ink signature.
- Review the details and click on the Done button to save your changes.
- Decide how you want to send your form, via email, SMS, or invite link, or download it to your computer.
Eliminate concerns about lost or misplaced files, tedious form searching, or mistakes that necessitate printing new document copies. airSlate SignNow meets your document management requirements in just a few clicks from any device you prefer. Modify and eSign photo release statement and ensure excellent communication at every stage of your form preparation process with airSlate SignNow.
Create this form in 5 minutes or less
Related searches to photo release form sample
Create this form in 5 minutes!
How to create an eSignature for the photo release print
How to create an electronic signature for the Photoartwork Release Form Manifest Counseling Collective online
How to generate an electronic signature for your Photoartwork Release Form Manifest Counseling Collective in Google Chrome
How to create an eSignature for putting it on the Photoartwork Release Form Manifest Counseling Collective in Gmail
How to make an eSignature for the Photoartwork Release Form Manifest Counseling Collective straight from your mobile device
How to make an electronic signature for the Photoartwork Release Form Manifest Counseling Collective on iOS devices
How to create an electronic signature for the Photoartwork Release Form Manifest Counseling Collective on Android devices
People also ask photo release form agreement
- 
                                
                                    
                                    
                                    What is a photo release agreement?
                                
                                A photo release agreement is a legal document that grants permission for the use of a person's image in photography. It protects both the photographer and the subject by clarifying the rights and usage of the photographs. With airSlate SignNow, you can easily create and eSign a photo release agreement to ensure that all parties are on the same page.
- 
                                
                                    
                                    
                                    How can I create a photo release agreement using airSlate SignNow?
                                
                                Creating a photo release agreement with airSlate SignNow is simple and straightforward. You can start with one of our customizable templates, fill in the required information, and then send it out for eSignature. This process is quick, secure, and ensures that your agreement is legally binding.
- 
                                
                                    
                                    
                                    What are the benefits of using an online photo release agreement?
                                
                                Using an online photo release agreement streamlines the signing process and helps reduce paperwork. With airSlate SignNow, you can store, manage, and retrieve your agreements electronically. This not only saves time but also enhances efficiency and organization for your photography business.
- 
                                
                                    
                                    
                                    Is there a cost associated with using airSlate SignNow for a photo release agreement?
                                
                                Yes, airSlate SignNow offers several pricing plans to fit different business needs. Each plan includes access to essential tools for creating and managing your photo release agreements. For detailed pricing information, you can visit the airSlate SignNow website to find the best option for your requirements.
- 
                                
                                    
                                    
                                    Can I integrate other applications with airSlate SignNow for my photo release agreements?
                                
                                Absolutely! airSlate SignNow supports numerous integrations with popular applications to enhance your workflow. Whether you're using CRM systems, project management tools, or cloud storage solutions, you can easily integrate them to simplify the process of managing your photo release agreements.
- 
                                
                                    
                                    
                                    Are photo release agreements legally binding with airSlate SignNow?
                                
                                Yes, photo release agreements created and signed through airSlate SignNow are legally binding. The platform complies with electronic signature laws, ensuring that your agreements hold up in a court of law. You can rest assured that your photo release agreements are valid and enforceable.
- 
                                
                                    
                                    
                                    What features does airSlate SignNow offer for managing photo release agreements?
                                
                                airSlate SignNow offers a range of features tailored for managing your photo release agreements, including templates, customizable text fields, and tracking capabilities. You can easily monitor the status of your documents, send reminders, and store all signed agreements securely in one place. These features help simplify your documentation process.
Get more for artwork release
- Request for exemption of select biological agents and toxins or ecu form
- May annual report of facultystaff compliance with the ecu ecu form
- Centricity usage agreement east carolina university form
- Professional paper guidelines east carolina university form
- Nyc buildings form pw2fill out and use this pdf
- Necedah national wildlife refuge photo contest form photo contest form
- Necedah national wildlife refuge photo contest entry form
- From an individual retirement account ira form
Find out other photo release form template
- How To Sign Illinois Orthodontists PPT
- Can I Sign Ohio Plumbing Document
- How Do I Sign Illinois Orthodontists PPT
- How Do I Sign Ohio Plumbing Document
- Help Me With Sign Ohio Plumbing Document
- How Do I Sign Ohio Plumbing Document
- How To Sign Ohio Plumbing Document
- How Can I Sign Ohio Plumbing Document
- Help Me With Sign Illinois Orthodontists PPT
- Help Me With Sign Ohio Plumbing Document
- How Can I Sign Ohio Plumbing Document
- Can I Sign Ohio Plumbing Document
- Can I Sign Ohio Plumbing Document
- How Can I Sign Illinois Orthodontists PPT
- How To Sign Illinois Orthodontists PPT
- How Do I Sign Illinois Orthodontists PPT
- Help Me With Sign Illinois Orthodontists PPT
- Can I Sign Illinois Orthodontists PPT
- How Can I Sign Illinois Orthodontists PPT
- Can I Sign Illinois Orthodontists PPT