
Denver Parcel Reconfiguration Form


What is the Denver Parcel Reconfiguration
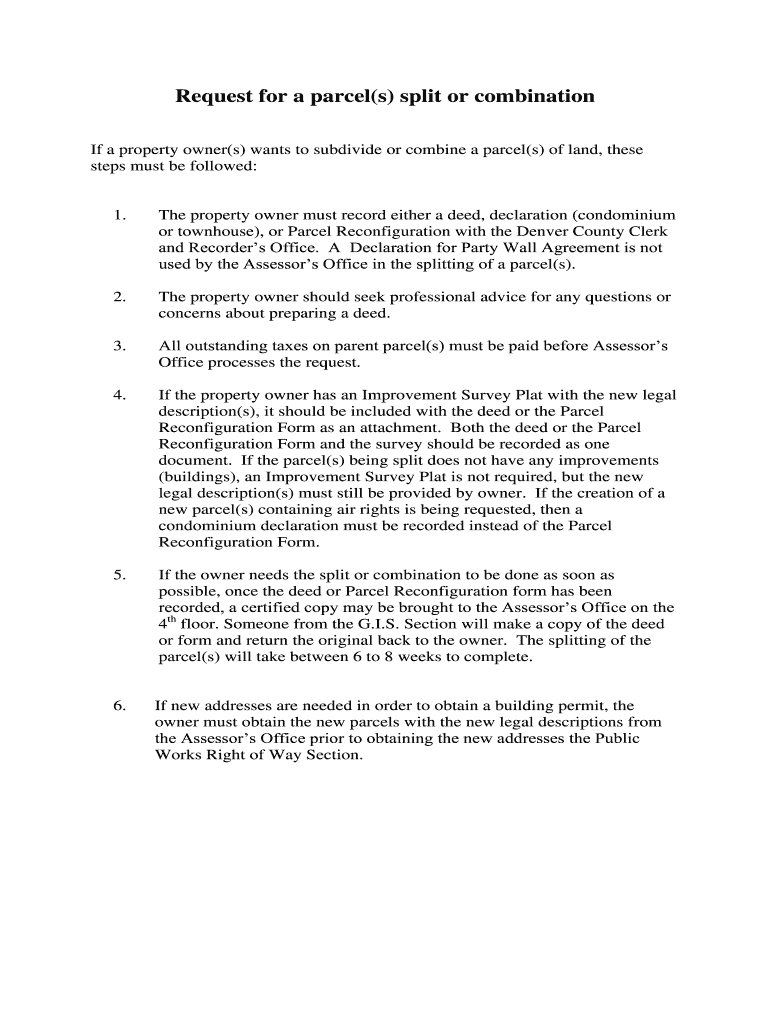
The Denver assessor's parcel reconfiguration form is a legal document used to modify the boundaries of property parcels in Denver, Colorado. This form is essential for property owners looking to adjust their land divisions for various reasons, such as development, sale, or consolidation of parcels. The reconfiguration process ensures that property lines are accurately represented and compliant with local zoning laws and regulations.
Steps to Complete the Denver Parcel Reconfiguration
Completing the Denver parcel reconfiguration form involves several key steps to ensure accuracy and compliance. Follow these steps:
- Gather necessary information about the property, including current parcel numbers and legal descriptions.
- Consult with a land surveyor if needed to obtain precise measurements and boundary definitions.
- Fill out the Denver assessor's parcel reconfiguration form with the required details, ensuring all information is accurate.
- Submit the completed form to the appropriate city department, either online or in person, based on local submission guidelines.
- Pay any applicable fees associated with the reconfiguration process.
- Await confirmation from the Denver assessor's office regarding the approval or any additional requirements.
Legal Use of the Denver Parcel Reconfiguration
The legal use of the Denver parcel reconfiguration form is governed by local zoning laws and property regulations. Properly executed, this form allows property owners to make necessary adjustments to their land without violating any laws. It is crucial to ensure that the reconfiguration aligns with the city’s land use plans and zoning regulations to avoid potential legal disputes or penalties.
Required Documents
When completing the Denver parcel reconfiguration form, several documents may be required to support the application. These documents typically include:
- A current title deed or property ownership documentation.
- Land survey maps illustrating the existing and proposed parcel boundaries.
- Any previous reconfiguration forms or related documentation.
- Proof of payment for any associated fees.
Form Submission Methods
The Denver parcel reconfiguration form can be submitted through various methods to accommodate different preferences. Property owners can choose to:
- Submit the form online through the Denver assessor's website.
- Mail the completed form and required documents to the appropriate city office.
- Deliver the form in person at designated city offices for immediate processing.
Who Issues the Form
The Denver parcel reconfiguration form is issued by the Denver assessor's office, which is responsible for managing property assessments and maintaining accurate property records. This office provides guidance on the reconfiguration process and ensures that all submissions comply with local regulations.
Quick guide on how to complete denver parcel reconfiguration
Accomplish denver parcel reconfiguration effortlessly on any device
Digital document management has become increasingly favored by businesses and individuals alike. It offers a perfect eco-friendly substitute for conventional printed and signed documents, allowing you to access the correct form and securely store it online. airSlate SignNow provides all the resources you need to create, modify, and electronically sign your documents swiftly without delays. Manage denver assessor's parcel reconfiguration form on any platform with airSlate SignNow's Android or iOS applications and enhance any document-related operation today.
How to modify and electronically sign denver assessor with ease
- Find denver parcel reconfiguration form and click on Get Form to begin.
- Utilize the tools we offer to fill out your form.
- Emphasize pertinent sections of the documents or conceal sensitive information with tools specifically designed for that purpose by airSlate SignNow.
- Create your signature using the Sign feature, which takes mere seconds and has the same legal standing as a conventional wet ink signature.
- Review all the information carefully and click on the Done button to save your modifications.
- Choose your method of submitting your form: by email, text message (SMS), invitation link, or download it to your computer.
Eliminate concerns about lost or misplaced documents, tedious form searches, or errors that necessitate printing new document copies. airSlate SignNow addresses all your document management needs in just a few clicks from your preferred device. Edit and electronically sign parcel reconfiguration denver while ensuring excellent communication at any stage of the form preparation process with airSlate SignNow.
Create this form in 5 minutes or less
Related searches to denver reconfiguration form edit
Create this form in 5 minutes!
How to create an eSignature for the denver parcel reconfiguration fill
The best way to create an eSignature for a PDF file in the online mode
The best way to create an eSignature for a PDF file in Chrome
The best way to create an electronic signature for putting it on PDFs in Gmail
The best way to generate an electronic signature straight from your smartphone
The way to generate an eSignature for a PDF file on iOS devices
The best way to generate an electronic signature for a PDF document on Android
People also ask denver parcel reconfiguration print
-
What is the Denver assessor's parcel reconfiguration form?
The Denver assessor's parcel reconfiguration form is a document used to request changes in property parcel configurations within Denver. This form is essential for any property owner looking to alter property boundaries or merge parcels, ensuring proper assessment and taxation.
-
How can airSlate SignNow help with the Denver assessor's parcel reconfiguration form?
With airSlate SignNow, you can easily send and eSign the Denver assessor's parcel reconfiguration form securely and conveniently. Our platform streamlines the process, reducing the time spent on paperwork and ensuring you have a compliant and elegantly signed document.
-
Is there a cost associated with using airSlate SignNow for the Denver assessor's parcel reconfiguration form?
Yes, airSlate SignNow offers a variety of pricing plans to suit different needs. Our cost-effective solutions give you access to all features necessary for managing and eSigning documents like the Denver assessor's parcel reconfiguration form without breaking the bank.
-
What features does airSlate SignNow provide for handling the Denver assessor's parcel reconfiguration form?
airSlate SignNow offers features such as document templates, collaborative signing, and seamless integration with cloud storage. These tools make it easy to prepare, send, and manage the Denver assessor's parcel reconfiguration form efficiently.
-
Can I collaborate with others on the Denver assessor's parcel reconfiguration form using airSlate SignNow?
Absolutely! AirSlate SignNow allows multiple users to collaborate on the Denver assessor's parcel reconfiguration form in real-time. You can invite colleagues or stakeholders to review and sign documents, promoting teamwork and speeding up the process.
-
Is airSlate SignNow compliant with legal requirements for the Denver assessor's parcel reconfiguration form?
Yes, airSlate SignNow complies with all legal requirements for electronic signatures, ensuring that your Denver assessor's parcel reconfiguration form is valid and legally binding. Our platform adheres to regulations like the ESIGN Act and UETA, providing peace of mind for users.
-
How do I get started with airSlate SignNow for my Denver assessor's parcel reconfiguration form?
Getting started with airSlate SignNow is simple! Sign up for an account, choose the appropriate plan, and you can begin creating and sending the Denver assessor's parcel reconfiguration form immediately. Our user-friendly interface will guide you through the process.
Get more for denver assessor's parcel reconfiguration form
- Call of regular meeting of the board of nonprofit church corporation with direction to secretary form
- Interim pastor agreement form
- Beta test agreement sample pdf form
- Letter happy independence form
- Letter of explanations form
- Employment agreement between church and bookkeeper form
- Agreement with business form
- Ministry contract template form
Find out other denver assessor
- Electronic signature Tennessee Real Estate Rental Application Easy
- How To Electronic signature Montana Police Lease Agreement Template
- Help Me With Electronic signature Tennessee Real Estate Rental Application
- How Can I Electronic signature Tennessee Real Estate Rental Application
- Electronic signature Tennessee Real Estate Rental Application Safe
- Can I Electronic signature Tennessee Real Estate Rental Application
- How Do I Electronic signature Montana Police Lease Agreement Template
- Electronic signature Tennessee Real Estate Moving Checklist Online
- Help Me With Electronic signature Montana Police Lease Agreement Template
- Electronic signature Tennessee Real Estate Moving Checklist Computer
- Electronic signature Tennessee Real Estate Moving Checklist Mobile
- Electronic signature Tennessee Real Estate Moving Checklist Now
- Electronic signature Tennessee Real Estate Moving Checklist Later
- How To Electronic signature Tennessee Real Estate Moving Checklist
- How Can I Electronic signature Montana Police Lease Agreement Template
- Electronic signature Tennessee Real Estate Moving Checklist Myself
- Electronic signature Tennessee Real Estate Moving Checklist Free
- Electronic signature Tennessee Real Estate Moving Checklist Secure
- How Do I Electronic signature Tennessee Real Estate Moving Checklist
- Electronic signature Tennessee Real Estate Moving Checklist Fast