
2018-2025 Form


What is the Emergency Management Performance Grant Application
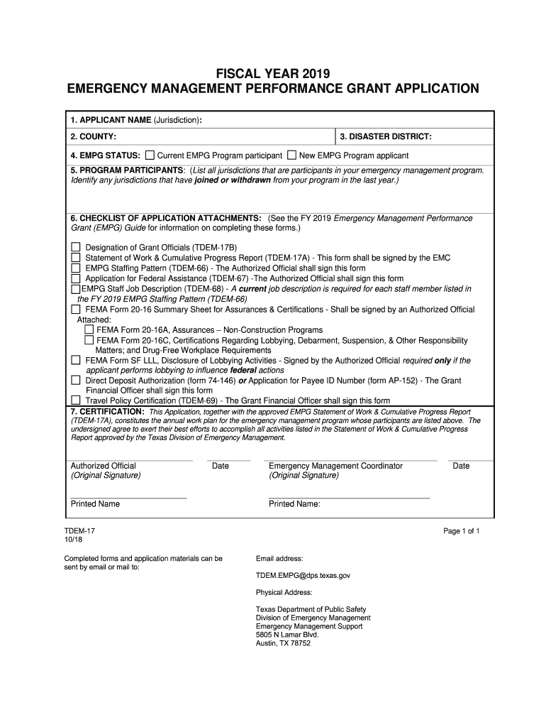
The Emergency Management Performance Grant Application is a formal request used by eligible organizations to secure funding aimed at enhancing emergency management capabilities. This grant is designed to support state and local governments in their efforts to prepare for, respond to, and recover from disasters. The application process involves detailing the specific needs and proposed uses of the funding, ensuring that the resources are allocated effectively to improve community resilience.
Steps to Complete the Emergency Management Performance Grant Application
Completing the Emergency Management Performance Grant Application involves several key steps:
- Gather necessary documentation, including proof of eligibility and project details.
- Clearly outline the objectives and goals of the proposed project.
- Detail the budget, specifying how funds will be allocated across various activities.
- Ensure compliance with all relevant regulations and guidelines.
- Review the application for accuracy and completeness before submission.
Eligibility Criteria
Eligibility for the Emergency Management Performance Grant typically includes state and local governments, tribal organizations, and other entities involved in emergency management. Applicants must demonstrate a clear need for funding and outline how the grant will enhance their emergency response capabilities. It is essential to review specific eligibility requirements set by the administering agency to ensure compliance.
Key Elements of the Emergency Management Performance Grant Application
When preparing the Emergency Management Performance Grant Application, it is important to include several key elements:
- A detailed project description that outlines the goals and objectives.
- A comprehensive budget that breaks down the proposed expenditures.
- Evidence of community impact and how the project aligns with local emergency management plans.
- Documentation of partnerships or collaborations with other agencies or organizations.
Legal Use of the Emergency Management Performance Grant Application
The legal use of the Emergency Management Performance Grant Application involves adhering to federal and state guidelines governing grant funding. This includes ensuring that all information provided is accurate and truthful, as well as complying with any reporting requirements once funding is received. Misrepresentation or failure to comply with these regulations can result in penalties or loss of funding.
Form Submission Methods
The Emergency Management Performance Grant Application can typically be submitted through various methods, including online platforms, mail, or in-person submissions at designated offices. It is crucial to follow the specific submission guidelines provided by the administering agency to ensure that the application is received and processed correctly.
Quick guide on how to complete emergency management performance grant application
Complete [SKS] effortlessly on any device
Online document management has become increasingly favored among companies and individuals. It offers an ideal eco-friendly alternative to traditional printed and signed documents, allowing you to obtain the required form and securely store it online. airSlate SignNow equips you with all the tools necessary to create, modify, and electronically sign your documents swiftly without delays. Manage [SKS] on any device using airSlate SignNow's Android or iOS applications and enhance any document-based process today.
How to edit and electronically sign [SKS] with ease
- Find [SKS] and click Get Form to initiate the process.
- Utilize the tools we provide to complete your form.
- Emphasize pertinent sections of the documents or obscure sensitive information with tools that airSlate SignNow offers specifically for this purpose.
- Create your signature using the Sign tool, which takes seconds and carries the same legal validity as a traditional handwritten signature.
- Review all the details and click on the Done button to save your changes.
- Select how you wish to send your form, via email, SMS, or invitation link, or download it to your computer.
Eliminate concerns about lost or misplaced documents, time-consuming form searches, or mistakes that require printing new document copies. airSlate SignNow fulfills your needs in document management in just a few clicks from your chosen device. Edit and electronically sign [SKS] and ensure excellent communication at every stage of the form preparation process with airSlate SignNow.
Create this form in 5 minutes or less
Find and fill out the correct emergency management performance grant application
Related searches to EMERGENCY MANAGEMENT PERFORMANCE GRANT APPLICATION
Create this form in 5 minutes!
How to create an eSignature for the emergency management performance grant application
The best way to create an e-signature for your PDF online
The best way to create an e-signature for your PDF in Google Chrome
The best way to generate an electronic signature for signing PDFs in Gmail
The way to make an e-signature right from your smartphone
The way to generate an electronic signature for a PDF on iOS
The way to make an e-signature for a PDF on Android
People also ask
-
What is the EMERGENCY MANAGEMENT PERFORMANCE GRANT APPLICATION?
The EMERGENCY MANAGEMENT PERFORMANCE GRANT APPLICATION is a funding program designed to enhance the capabilities of emergency management organizations. This grant helps agencies improve their performance and preparedness through the development of essential projects and programs. Completing the application is made easier with airSlate SignNow's streamlined document signing features.
-
How can airSlate SignNow assist with the EMERGENCY MANAGEMENT PERFORMANCE GRANT APPLICATION?
airSlate SignNow provides a user-friendly platform that allows organizations to complete and eSign their EMERGENCY MANAGEMENT PERFORMANCE GRANT APPLICATION efficiently. With its intuitive interface, you can customize your documents, capture electronic signatures, and manage the entire workflow seamlessly. This simplifies the grant application process, ensuring that you meet deadlines effectively.
-
What are the features of airSlate SignNow for handling grant applications?
airSlate SignNow offers several features tailored for grant applications, including customizable templates, collaboration tools, and the ability to securely store documents. Additionally, it provides real-time notifications and tracking to keep you informed about the status of your EMERGENCY MANAGEMENT PERFORMANCE GRANT APPLICATION. These features help streamline your efforts and reduce time spent on paperwork.
-
Is airSlate SignNow cost-effective for small organizations applying for grants?
Yes, airSlate SignNow is highly cost-effective, especially for smaller organizations managing their EMERGENCY MANAGEMENT PERFORMANCE GRANT APPLICATIONS. Our pricing plans are designed to accommodate organizations of all sizes, ensuring that you get the most value while minimizing operational costs. This makes it easier for smaller teams to access the tools they need without breaking the budget.
-
What are the benefits of using airSlate SignNow for my EMERGENCY MANAGEMENT PERFORMANCE GRANT APPLICATION?
Utilizing airSlate SignNow for your EMERGENCY MANAGEMENT PERFORMANCE GRANT APPLICATION offers numerous benefits, including increased efficiency and reduced processing time. The platform’s electronic signature capabilities eliminate the delays associated with physical document signing. Furthermore, its secure storage ensures that your sensitive application information is protected throughout the process.
-
Can airSlate SignNow integrate with other software I use?
Absolutely! airSlate SignNow seamlessly integrates with various software platforms, allowing you to manage your EMERGENCY MANAGEMENT PERFORMANCE GRANT APPLICATION alongside your existing systems. Integrations with tools like CRM systems and project management applications enhance your workflow and keep your information centralized, reducing redundancy.
-
How secure is signing my EMERGENCY MANAGEMENT PERFORMANCE GRANT APPLICATION with airSlate SignNow?
Signing your EMERGENCY MANAGEMENT PERFORMANCE GRANT APPLICATION with airSlate SignNow is very secure. The platform employs industry-leading encryption and compliance measures to protect your documents and signatures. With multiple layers of security in place, you can trust that your information remains confidential and secure.
Get more for EMERGENCY MANAGEMENT PERFORMANCE GRANT APPLICATION
- Court city of pacific wa form
- Cic form
- Wa seattle form
- Release and hold harmless agreement pony tail ranch form
- Facial intake form salon 302
- Www signnow comfill and sign pdf form35019scholarship application junior livestock show of spokane
- City of oak harbor oak harbor wa 865 se barrington dr form
- Fillable online king county zone 3 fire watch form fax
Find out other EMERGENCY MANAGEMENT PERFORMANCE GRANT APPLICATION
- Help Me With eSignature Ohio Plumbing Word
- Help Me With eSignature Ohio Plumbing Word
- How Can I eSignature Ohio Plumbing Word
- Can I eSignature Ohio Plumbing Word
- How Can I eSignature Ohio Plumbing Word
- How To eSignature Ohio Plumbing Word
- How Do I eSignature Ohio Plumbing Word
- Can I eSignature Ohio Plumbing Word
- Help Me With eSignature Ohio Plumbing Word
- How Can I eSignature Ohio Plumbing Word
- Can I eSignature Ohio Plumbing Word
- How To eSignature Ohio Plumbing Word
- How Do I eSignature Ohio Plumbing Word
- Help Me With eSignature Ohio Plumbing Word
- How Can I eSignature Ohio Plumbing Word
- Can I eSignature Ohio Plumbing Word
- How To eSignature Ohio Plumbing Word
- How To eSignature Ohio Plumbing Word
- How Do I eSignature Ohio Plumbing Word
- How Do I eSignature Ohio Plumbing Word