
Indemnification Agreement and Warranty from Customer Form


What is the Indemnification Agreement And Warranty From Customer
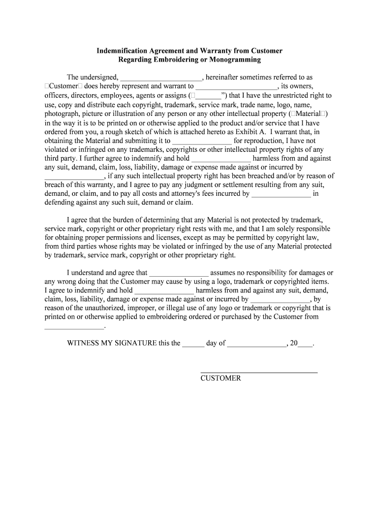
The indemnification agreement and warranty from customer is a legal document that outlines the responsibilities and protections for both parties involved in a transaction. This agreement typically ensures that the customer agrees to indemnify the service provider against any claims, losses, or damages that may arise from the services provided. It serves as a safeguard for businesses, allowing them to operate with reduced risk while providing clarity on the expectations and liabilities of each party.
Key Elements of the Indemnification Agreement And Warranty From Customer
Several key elements are essential in an indemnification agreement and warranty from customer. These include:
- Identification of Parties: Clearly state the names and roles of the parties involved.
- Scope of Indemnification: Define the extent of indemnification, specifying what claims or damages are covered.
- Duration: Indicate the time frame during which the indemnification applies.
- Limitations: Outline any limitations or exclusions to the indemnification.
- Governing Law: Specify the jurisdiction under which the agreement is governed.
Steps to Complete the Indemnification Agreement And Warranty From Customer
Completing the indemnification agreement and warranty from customer involves several important steps:
- Gather Information: Collect necessary details about both parties, including names, addresses, and contact information.
- Draft the Agreement: Use a template or create a document that includes all key elements of the agreement.
- Review Terms: Ensure that all terms are clear and mutually agreed upon by both parties.
- Sign the Document: Both parties should sign the agreement, ideally using a secure electronic signature platform for validity.
- Store Safely: Keep a copy of the signed agreement for future reference and compliance.
Legal Use of the Indemnification Agreement And Warranty From Customer
The legal use of the indemnification agreement and warranty from customer is crucial for its enforceability. To ensure that the agreement is legally binding, it must comply with relevant laws and regulations. This includes adherence to the ESIGN Act and UETA, which govern electronic signatures and transactions in the United States. Proper execution, including signatures and date stamps, is also necessary to validate the agreement in a court of law.
How to Use the Indemnification Agreement And Warranty From Customer
Using the indemnification agreement and warranty from customer effectively involves understanding its purpose and application. Businesses should utilize this agreement in transactions where there is a risk of liability or claims arising from the services provided. It is advisable to present the agreement to customers prior to service commencement, ensuring they understand their responsibilities. Additionally, maintaining open communication about the terms can foster trust and clarity between the parties.
Examples of Using the Indemnification Agreement And Warranty From Customer
Examples of situations where an indemnification agreement and warranty from customer may be utilized include:
- A contractor providing services to a client, where the contractor seeks protection against claims arising from the work performed.
- A software company offering a product that includes a warranty, ensuring the customer indemnifies the company against any misuse or damages caused by the software.
- A rental agreement where the landlord requires tenants to indemnify against damages occurring on the property.
Quick guide on how to complete indemnification agreement and warranty from customer
Complete [SKS] effortlessly on any device
Online document management has become increasingly favored by businesses and individuals. It offers an ideal eco-friendly substitute for traditional printed and signed documents, enabling you to obtain the correct form and securely save it online. airSlate SignNow equips you with all the tools necessary to create, modify, and eSign your documents promptly without interruptions. Manage [SKS] on any device using airSlate SignNow's Android or iOS applications and simplify any document-related process today.
How to modify and eSign [SKS] without any hassle
- Locate [SKS] and select Get Form to begin.
- Use the tools we provide to complete your document.
- Select relevant sections of the documents or redact sensitive information with tools specifically offered by airSlate SignNow for that purpose.
- Create your signature using the Sign tool, which takes mere seconds and holds the same legal validity as a conventional wet ink signature.
- Verify all the details and click the Done button to save your modifications.
- Decide how you want to share your form, via email, SMS, invitation link, or download it to your computer.
Eliminate worries about lost or misplaced files, laborious form searching, or mistakes that require printing new document copies. airSlate SignNow addresses all your document management needs in just a few clicks from any device of your liking. Modify and eSign [SKS] and guarantee excellent communication at every stage of the form preparation process with airSlate SignNow.
Create this form in 5 minutes or less
Related searches to Indemnification Agreement And Warranty From Customer
Create this form in 5 minutes!
People also ask
-
What is an Indemnification Agreement And Warranty From Customer?
An Indemnification Agreement And Warranty From Customer is a legal contract that protects one party from potential losses or damages incurred due to the actions or inactions of the other party. This agreement ensures that the customer takes responsibility for certain liabilities, providing peace of mind during business transactions.
-
How does airSlate SignNow facilitate the creation of an Indemnification Agreement And Warranty From Customer?
airSlate SignNow offers customizable templates that allow users to easily draft an Indemnification Agreement And Warranty From Customer tailored to their specific needs. With our intuitive interface, you can quickly add necessary clauses and terms, ensuring that your agreement complies with legal standards.
-
Is there a cost associated with using airSlate SignNow for Indemnification Agreements And Warranty From Customer?
Yes, airSlate SignNow provides various pricing plans that cater to different business sizes and requirements. Our plans are designed to be cost-effective, ensuring you get ultimate value when creating and managing Indemnification Agreements And Warranty From Customer.
-
What are the key benefits of using airSlate SignNow for an Indemnification Agreement And Warranty From Customer?
Utilizing airSlate SignNow for an Indemnification Agreement And Warranty From Customer enhances efficiency and security in document handling. Key benefits include ease of eSigning, seamless workflow integration, and having all documents in one secure location, making it easier to manage legal agreements.
-
Can I integrate airSlate SignNow with other tools for managing an Indemnification Agreement And Warranty From Customer?
Absolutely! airSlate SignNow offers various integrations with popular tools such as CRM software, project management applications, and cloud storage solutions. This allows you to streamline workflows and manage your Indemnification Agreements And Warranty From Customer more effectively across platforms.
-
How secure is the process of handling Indemnification Agreements And Warranty From Customer with airSlate SignNow?
Security is a top priority at airSlate SignNow. Our platform employs industry-standard encryption and secure cloud storage to ensure that your Indemnification Agreements And Warranty From Customer are safe from unauthorized access and data bsignNowes.
-
Can I customize my Indemnification Agreement And Warranty From Customer using airSlate SignNow?
Yes, customization is one of the core features of airSlate SignNow. Users can easily modify templates for an Indemnification Agreement And Warranty From Customer to fit specific legal requirements or business needs, providing flexibility for any agreement.
Get more for Indemnification Agreement And Warranty From Customer
- Political cartoon template pdf form
- Forklift operator evaluation form ebview
- Pythagorean theorem word problems matching worksheet answer key 211443130 form
- Urban league application form
- Affidavit of loss 213160854 form
- Tax return worksheet self employed individual deductions form
- Subject improvement plan example form
- Australian customs declaration form pdf
Find out other Indemnification Agreement And Warranty From Customer
- eSign Michigan Orthodontists Affidavit Of Heirship Mobile
- eSign Michigan Orthodontists Affidavit Of Heirship Now
- eSign Michigan Orthodontists Work Order Myself
- How Can I eSign Iowa Plumbing Promissory Note Template
- eSign Michigan Orthodontists Affidavit Of Heirship Later
- eSign Michigan Orthodontists Affidavit Of Heirship Myself
- eSign Michigan Orthodontists Work Order Free
- eSign Michigan Orthodontists Affidavit Of Heirship Free
- eSign Michigan Orthodontists Affidavit Of Heirship Secure
- Can I eSign Iowa Plumbing Promissory Note Template
- eSign Michigan Orthodontists Work Order Secure
- eSign Michigan Orthodontists Affidavit Of Heirship Fast
- eSign Michigan Orthodontists Affidavit Of Heirship Simple
- eSign Michigan Orthodontists Work Order Fast
- eSign Michigan Orthodontists Affidavit Of Heirship Easy
- eSign Michigan Orthodontists Affidavit Of Heirship Safe
- eSign Michigan Orthodontists Work Order Simple
- How To eSign Michigan Orthodontists Affidavit Of Heirship
- eSign Michigan Orthodontists Work Order Easy
- How Do I eSign Michigan Orthodontists Affidavit Of Heirship