
Agreement to Form Partnership in the Future in Order


What is the Agreement To Form Partnership In The Future In Order
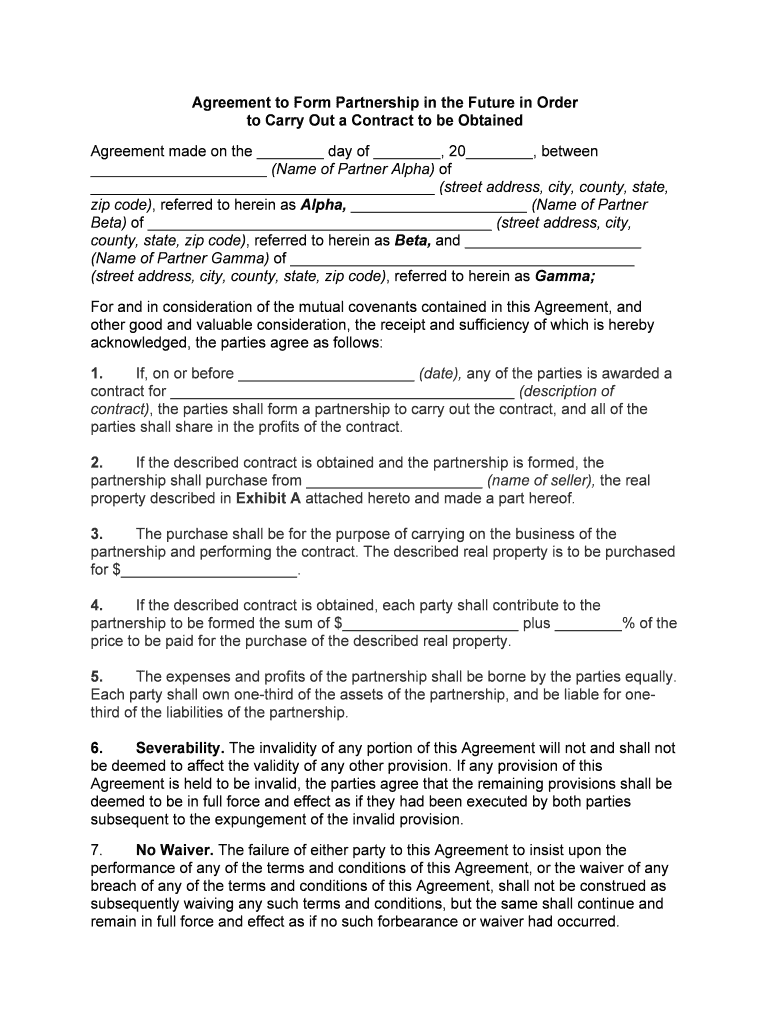
The Agreement To Form Partnership In The Future In Order is a legal document that outlines the intentions of two or more parties to enter into a partnership at a later date. This agreement serves as a preliminary step, establishing the framework for the partnership and detailing the roles, responsibilities, and expectations of each party involved. It is essential for ensuring that all parties are on the same page regarding their future collaboration.
Key elements of the Agreement To Form Partnership In The Future In Order
Several key elements must be included in the Agreement To Form Partnership In The Future In Order to ensure its effectiveness and legal standing. These elements typically include:
- Identification of the parties: Clearly state the names and contact information of all individuals or entities involved.
- Purpose of the partnership: Outline the goals and objectives that the partnership aims to achieve.
- Roles and responsibilities: Define the specific roles of each party and their respective contributions.
- Timeline: Establish a timeline for when the partnership is expected to commence and any milestones along the way.
- Dispute resolution: Include provisions for resolving conflicts that may arise during the partnership formation process.
Steps to complete the Agreement To Form Partnership In The Future In Order
Completing the Agreement To Form Partnership In The Future In Order involves several important steps to ensure clarity and legality. Follow these steps for a smooth process:
- Draft the agreement: Begin by drafting the document, incorporating all key elements and ensuring clarity in language.
- Review with all parties: Share the draft with all involved parties for feedback and necessary adjustments.
- Finalize the document: Make any final edits based on feedback and ensure all parties agree on the terms.
- Sign the agreement: Each party should sign the document to indicate their consent and commitment.
- Store securely: Keep a copy of the signed agreement in a secure location for future reference.
Legal use of the Agreement To Form Partnership In The Future In Order
To ensure the legal validity of the Agreement To Form Partnership In The Future In Order, it is crucial to comply with relevant laws and regulations. This includes adhering to state-specific partnership laws and ensuring that all parties understand their rights and obligations. The agreement should be executed in a manner that meets the legal requirements for contracts, which typically include mutual consent, consideration, and a lawful purpose.
How to use the Agreement To Form Partnership In The Future In Order
The Agreement To Form Partnership In The Future In Order can be utilized in various scenarios where parties wish to formalize their intent to partner without immediately commencing operations. It is particularly useful for businesses planning to collaborate on projects, startups seeking co-founders, or individuals looking to combine resources for mutual benefit. By clearly outlining the intentions and expectations, this agreement helps prevent misunderstandings and lays the groundwork for a successful partnership.
Examples of using the Agreement To Form Partnership In The Future In Order
There are numerous scenarios in which the Agreement To Form Partnership In The Future In Order can be beneficial. For instance:
- A tech startup may use this agreement to secure a partnership with a marketing firm, detailing how they will collaborate on future projects.
- Two entrepreneurs planning to launch a joint venture can outline their respective contributions and the timeline for starting the business.
- A nonprofit organization may establish a future partnership with a corporate sponsor, clarifying the terms of collaboration for upcoming fundraising events.
Quick guide on how to complete agreement to form partnership in the future in order
Effortlessly Prepare [SKS] on Any Device
Digital document management has become widely adopted by businesses and individuals alike. It offers an ideal eco-friendly substitute for traditional printed and signed documents, as you can easily find the required form and securely store it online. airSlate SignNow provides all the necessary tools to create, modify, and electronically sign your documents swiftly without delays. Manage [SKS] on any device using airSlate SignNow’s Android or iOS applications and enhance any document-driven process today.
How to Edit and Electronically Sign [SKS] with Ease
- Find [SKS] and click on Get Form to begin.
- Utilize the tools available to complete your document.
- Mark important sections of the documents or conceal sensitive information with tools that airSlate SignNow specifically offers for this purpose.
- Create your signature using the Sign feature, which takes mere seconds and carries the same legal authority as a traditional wet signature.
- Verify the details and click on the Done button to save your modifications.
- Choose how you wish to send your form, whether by email, text message (SMS), or invitation link, or download it to your computer.
Say goodbye to lost or misplaced documents, tiring searches for forms, or mistakes that require printing new document copies. airSlate SignNow fulfills all your document management needs in just a few clicks from any device you prefer. Edit and electronically sign [SKS] to ensure seamless communication at every stage of the document preparation process with airSlate SignNow.
Create this form in 5 minutes or less
Related searches to Agreement To Form Partnership In The Future In Order
Create this form in 5 minutes!
People also ask
-
What is the 'Agreement To Form Partnership In The Future In Order' in the context of airSlate SignNow?
The 'Agreement To Form Partnership In The Future In Order' refers to a legal document that outlines the intent between parties to enter into a partnership at a later date. With airSlate SignNow, you can easily create, send, and eSign this document securely, ensuring that all parties are aligned on future collaboration.
-
How much does it cost to use airSlate SignNow for creating partnership agreements?
airSlate SignNow offers a range of pricing plans to fit your business needs, starting with a free trial and flexible monthly subscriptions. These plans provide access to features that enable you to manage your 'Agreement To Form Partnership In The Future In Order' efficiently, ensuring great value for your investment.
-
What are the key features of airSlate SignNow that assist with partnership agreements?
airSlate SignNow includes features such as document templates, customizable workflows, and eSignature capabilities that streamline the creation and management of an 'Agreement To Form Partnership In The Future In Order.' These tools help you save time and enhance collaboration among parties.
-
How can airSlate SignNow benefit my business with partnership agreements?
Using airSlate SignNow allows your business to expedite the process of drafting and signing partnership agreements. The ease of use and cost-effectiveness of airSlate SignNow ensures that you can focus on building relationships rather than getting bogged down in paperwork for the 'Agreement To Form Partnership In The Future In Order.'
-
Can I integrate airSlate SignNow with other software for managing partnership agreements?
Yes, airSlate SignNow offers integrations with various CRM and productivity tools, making it seamless to incorporate your 'Agreement To Form Partnership In The Future In Order' into your existing workflows. This flexibility allows you to enhance efficiency and maintain organized documentation.
-
Is it legally binding to eSign an 'Agreement To Form Partnership In The Future In Order' on airSlate SignNow?
Yes, agreements eSigned through airSlate SignNow are legally binding, provided they comply with applicable laws. This ensures that your 'Agreement To Form Partnership In The Future In Order' holds the same legal weight as a traditional signed document, giving you peace of mind.
-
How quickly can I send and receive back an 'Agreement To Form Partnership In The Future In Order' using airSlate SignNow?
With airSlate SignNow, you can send out documents for eSignature instantly, and recipients can sign from any device. Typically, this process can be completed in just a few minutes, making it incredibly efficient for your 'Agreement To Form Partnership In The Future In Order.'
Get more for Agreement To Form Partnership In The Future In Order
- Create a custom dynamic stamp using acrobat form
- Scr 9 01 10 03 9a form
- Housing stability benefitrent ready request city of hamilton form
- Esb nw1 form fill out ampamp sign online
- Child general passport application form
- Capital gains tax forms
- Nj transit 167 bus schedule pdf form
- Motor vehicle proposal form jubilee general
Find out other Agreement To Form Partnership In The Future In Order
- Sign Arkansas Plumbing Medical History Simple
- Sign Arkansas Plumbing Medical History Easy
- Sign Arkansas Plumbing Medical History Safe
- Sign Arkansas Plumbing Lease Termination Letter Myself
- How To Sign Arkansas Plumbing Medical History
- Sign Arkansas Plumbing Lease Termination Letter Free
- Sign Vermont Life Sciences Permission Slip Online
- How Do I Sign Arkansas Plumbing Medical History
- Sign Vermont Life Sciences Permission Slip Computer
- Sign Arkansas Plumbing Lease Termination Letter Secure
- Sign Vermont Life Sciences Permission Slip Mobile
- Help Me With Sign Arkansas Plumbing Medical History
- Sign Vermont Life Sciences Permission Slip Now
- Sign Vermont Life Sciences Permission Slip Later
- How Can I Sign Arkansas Plumbing Medical History
- Sign Arkansas Plumbing Lease Termination Letter Fast
- Sign Vermont Life Sciences Permission Slip Myself
- Sign Vermont Life Sciences Permission Slip Free
- Sign Vermont Life Sciences Permission Slip Secure
- Can I Sign Arkansas Plumbing Medical History