
Statement of Position Montana Form


What is the Statement Of Position Montana
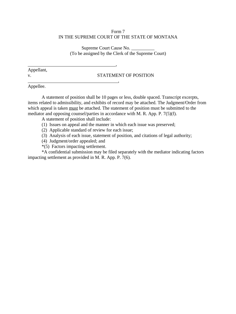
The Statement Of Position Montana is a legal document used primarily in family law cases, particularly for establishing or modifying child support or custody arrangements. This form outlines the position of a party regarding specific issues in a legal proceeding, such as the financial responsibilities of parents or guardians. It serves as a formal declaration of a party's stance and is often submitted to the court to inform the judge of the party's views and requests.
How to use the Statement Of Position Montana
To effectively use the Statement Of Position Montana, individuals should first ensure they understand the specific requirements of their case. This involves gathering relevant information about income, expenses, and any other factors that may influence custody or support decisions. Once the necessary details are compiled, the form should be filled out accurately, reflecting the individual's position clearly and concisely. After completing the form, it must be submitted to the appropriate court, often alongside other required documentation.
Steps to complete the Statement Of Position Montana
Completing the Statement Of Position Montana involves several key steps:
- Gather all necessary financial documents, including pay stubs, tax returns, and expense records.
- Review the specific instructions provided by the court or legal counsel regarding the form.
- Fill out the form, ensuring that all information is accurate and reflects your current situation.
- Clearly state your position on the issues at hand, such as child support amounts or custody arrangements.
- Review the completed form for any errors or omissions.
- Submit the form to the court by the specified deadline, ensuring that you keep a copy for your records.
Legal use of the Statement Of Position Montana
The legal use of the Statement Of Position Montana is crucial in family law proceedings. This document must be completed in accordance with Montana state laws and court rules to be considered valid. It is essential that the information provided is truthful and accurately represents the individual's circumstances. Misrepresentation or failure to disclose relevant information can lead to legal penalties or unfavorable outcomes in custody or support decisions.
Key elements of the Statement Of Position Montana
Several key elements should be included in the Statement Of Position Montana to ensure it is comprehensive and effective:
- Personal Information: Names, addresses, and contact information of all parties involved.
- Financial Information: Detailed income sources, expenses, and financial obligations.
- Position Statement: A clear articulation of your stance on custody and support matters.
- Supporting Evidence: Any documents or information that support your position, such as receipts or financial statements.
State-specific rules for the Statement Of Position Montana
Montana has specific rules governing the use and submission of the Statement Of Position. These rules dictate the format, required information, and deadlines for submission. It is important for individuals to familiarize themselves with these regulations to ensure compliance. Additionally, consulting with a legal professional can provide guidance on how to navigate state-specific requirements effectively.
Quick guide on how to complete statement of position montana
Execute [SKS] easily on any device
Web-based document administration has become increasingly favored by businesses and individuals alike. It serves as an excellent environmentally friendly substitute for traditional printed and signed documents, allowing you to obtain the correct form and securely store it online. airSlate SignNow equips you with all the tools necessary to create, edit, and eSign your documents rapidly and without holdups. Manage [SKS] on any device using the airSlate SignNow Android or iOS applications and streamline any document-based task today.
The most efficient way to modify and eSign [SKS] effortlessly
- Locate [SKS] and click Get Form to begin.
- Utilize the tools we offer to complete your document.
- Emphasize important sections of your documents or redact sensitive information with tools specifically designed for that purpose by airSlate SignNow.
- Generate your eSignature with the Sign feature, which takes just seconds and carries the same legal validity as a conventional wet ink signature.
- Review the details and click on the Done button to save your modifications.
- Choose your preferred delivery method for your form, whether by email, text message (SMS), invite link, or download it to your computer.
Eliminate concerns over lost or misplaced files, tedious form searches, or errors that necessitate printing new document copies. airSlate SignNow caters to your document management needs in just a few clicks from any device of your choosing. Alter and eSign [SKS] to ensure excellent communication at every stage of the form preparation process with airSlate SignNow.
Create this form in 5 minutes or less
Related searches to Statement Of Position Montana
Create this form in 5 minutes!
People also ask
-
What is a Statement Of Position Montana?
A Statement Of Position Montana is a legal document that outlines the stance of an individual or organization regarding specific issues. This document is essential for various legal proceedings and helps clarify the position taken by parties involved. With airSlate SignNow, you can easily create, send, and eSign your Statement Of Position Montana securely and efficiently.
-
How can airSlate SignNow help me with my Statement Of Position Montana?
airSlate SignNow streamlines the creation and signing process for documents like the Statement Of Position Montana. With our user-friendly interface, you can draft your document, add necessary signatures, and send it to relevant parties without hassle. Our platform ensures that your documents are legally binding and securely stored.
-
Is airSlate SignNow cost-effective for managing a Statement Of Position Montana?
Yes! airSlate SignNow offers competitive pricing plans that cater to all businesses, from startups to large enterprises. By using our service to generate and manage your Statement Of Position Montana, you save on printing, mailing, and storage costs while benefiting from a comprehensive eSigning solution.
-
What features does airSlate SignNow offer for signing the Statement Of Position Montana?
airSlate SignNow provides numerous features, including easy document uploading, customizable templates, and real-time tracking for your Statement Of Position Montana. You can also integrate with existing systems to streamline your workflow, making it simple to manage all your important documents in one place.
-
Can I integrate airSlate SignNow with other software for my Statement Of Position Montana?
Absolutely! airSlate SignNow can be integrated with various third-party applications to enhance your document management process. This feature ensures that your Statement Of Position Montana can be easily accessed and collaborated on, regardless of the platform you currently use.
-
What are the benefits of using airSlate SignNow for my legal documents like the Statement Of Position Montana?
Using airSlate SignNow for your legal documents, such as the Statement Of Position Montana, offers numerous benefits including increased efficiency, secure storage, and the ability to track document status. Our platform enables timely execution of agreements, thus reducing turnaround time and improving productivity.
-
Is airSlate SignNow compliant with legal standards for documents like the Statement Of Position Montana?
Yes, airSlate SignNow complies with legal standards and regulations necessary for documents such as the Statement Of Position Montana. Our eSigning process meets national and international laws, ensuring your documents are legally valid and enforceable.
Get more for Statement Of Position Montana
- Writ of execution exhibit a hawaii state judiciary form
- 1 form 9 certificate from testing organization to be
- Iowa no contact order form
- Ada county blank motion form
- Idaho reatmp form
- Illinois union form
- Dormant judgment certification in accordance with section 7 309 of form
- Cook county cover sheet form
Find out other Statement Of Position Montana
- eSignature Florida Construction Affidavit Of Heirship Safe
- eSignature Connecticut Construction Notice To Quit Now
- How Can I eSignature Florida Construction Affidavit Of Heirship
- eSignature Connecticut Construction Notice To Quit Later
- How To eSignature Connecticut Construction Notice To Quit
- How Do I eSignature Connecticut Construction Notice To Quit
- Can I eSignature Florida Construction Affidavit Of Heirship
- Help Me With eSignature Connecticut Construction Notice To Quit
- eSignature Connecticut Construction Notice To Quit Myself
- How Can I eSignature Connecticut Construction Notice To Quit
- Can I eSignature Connecticut Construction Notice To Quit
- eSignature Connecticut Construction Notice To Quit Free
- eSignature Connecticut Construction Notice To Quit Secure
- eSignature Florida Construction Lease Agreement Template Online
- eSignature Florida Construction Lease Agreement Template Computer
- eSignature Connecticut Construction Notice To Quit Fast
- eSignature Florida Construction Lease Agreement Template Mobile
- eSignature Florida Construction Lease Agreement Template Now
- eSignature Connecticut Construction Notice To Quit Simple
- eSignature Florida Construction Lease Agreement Template Later