 
                Ne Discovery Form
 
                             
                            What is the Ne Discovery?
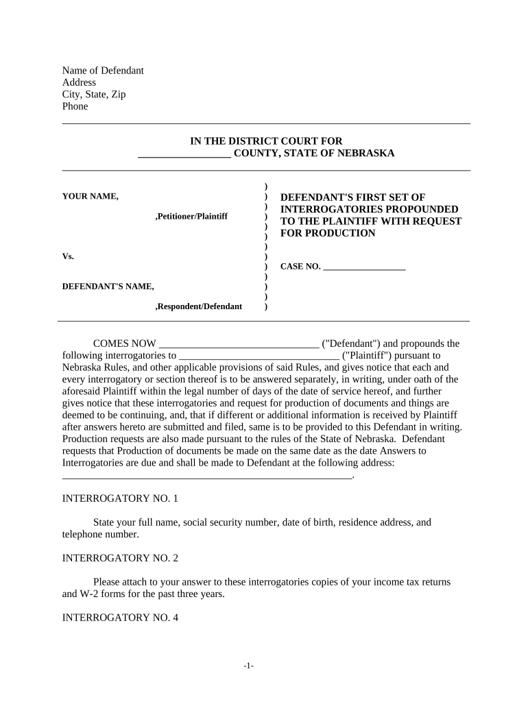
The Ne Discovery form is a legal document used primarily in the context of civil litigation. It serves as a tool for parties involved in a lawsuit to gather information and evidence from each other. This form is essential for ensuring transparency and fairness in the discovery process, allowing both sides to prepare adequately for trial. The Ne Discovery form outlines specific requests for documents, interrogatories, and admissions that are relevant to the case at hand.
How to Use the Ne Discovery
Using the Ne Discovery form involves several steps that ensure compliance with legal standards. Initially, the requesting party must clearly outline the information sought. This includes identifying specific documents or evidence relevant to the case. Once the form is completed, it should be served to the opposing party, who is then obligated to respond within a designated timeframe. Proper completion and timely submission are crucial for maintaining the integrity of the discovery process.
Steps to Complete the Ne Discovery
Completing the Ne Discovery form requires attention to detail and adherence to legal protocols. Follow these steps for effective completion:
- Identify the Information Needed: Determine the specific documents or information relevant to your case.
- Fill Out the Form: Clearly articulate your requests, ensuring they are specific and relevant.
- Review for Accuracy: Double-check all entries for completeness and correctness.
- Serve the Form: Deliver the completed form to the opposing party according to legal requirements.
- Await Response: Monitor the response timeline and be prepared to follow up if necessary.
Legal Use of the Ne Discovery
The Ne Discovery form must be used in accordance with legal standards to ensure its validity. This includes compliance with relevant laws governing discovery in civil litigation. The form should only be used for legitimate purposes, such as gathering evidence for a case. Misuse of the form can lead to legal penalties, including sanctions from the court. It is vital to understand the implications of using the Ne Discovery form and to ensure that all requests are reasonable and necessary for the case.
Key Elements of the Ne Discovery
Several key elements define the Ne Discovery form, making it an effective tool in the discovery process:
- Specificity: Requests must be clear and specific to avoid ambiguity.
- Relevance: All requests should be directly related to the issues in the case.
- Timeliness: Adhering to deadlines for responses is crucial for maintaining the flow of the case.
- Compliance: All parties must comply with the requests as outlined in the form to avoid legal repercussions.
Examples of Using the Ne Discovery
Practical examples of using the Ne Discovery form can help illustrate its application. For instance, in a personal injury case, one party may request medical records, accident reports, and witness statements from the other party. In a contract dispute, a party might seek emails and correspondence related to the agreement. These examples highlight how the Ne Discovery form facilitates the exchange of critical information necessary for case preparation.
Quick guide on how to complete ne discovery
Effortlessly Prepare ne discovery on Any Device
Digital document management has become increasingly favored by companies and individuals alike. It serves as a perfect eco-friendly alternative to traditional printed and signed documents, allowing you to access the right form and securely store it online. airSlate SignNow equips you with all the necessary tools to create, modify, and electronically sign your documents swiftly and without hindrances. Manage ne discovery on any device using airSlate SignNow's Android or iOS applications and enhance your document-related processes today.
The Easiest Method to Alter and Electronically Sign ne discovery with Ease
- Find ne discovery and click Get Form to begin.
- Take advantage of the tools available to complete your document.
- Emphasize important sections of your documents or conceal sensitive information with tools that airSlate SignNow specifically offers for this purpose.
- Create your signature using the Sign feature, which takes just seconds and holds the same legal validity as a conventional wet ink signature.
- Review all the information and then click the Done button to save your modifications.
- Choose how you want to send your form, whether by email, text message (SMS), invitation link, or download it to your computer.
Eliminate the issues of lost or misplaced files, tedious form searching, or mistakes that necessitate printing new document copies. airSlate SignNow meets all your document management needs with just a few clicks from any device you prefer. Revise and electronically sign ne discovery while ensuring effective communication at every step of your form preparation journey with airSlate SignNow.
Create this form in 5 minutes or less
Create this form in 5 minutes!
People also ask ne discovery
- 
                                
                                    
                                    
                                    What is ne discovery in the context of airSlate SignNow?
                                
                                Ne discovery refers to the process of exploring and identifying new opportunities for improving document management and e-signature workflows. With airSlate SignNow, businesses can streamline their signing processes, driving efficiency and enhancing collaboration.
- 
                                
                                    
                                    
                                    How does airSlate SignNow support ne discovery?
                                
                                AirSlate SignNow supports ne discovery by offering customizable templates and automated workflows. These features help users identify pain points in their document processes and optimize them for better efficiency and effectiveness.
- 
                                
                                    
                                    
                                    What features of airSlate SignNow are essential for ne discovery?
                                
                                Key features of airSlate SignNow that facilitate ne discovery include document templates, real-time tracking, and cloud storage integration. These elements ensure that teams can efficiently manage their documents and uncover areas for improvement in their signing processes.
- 
                                
                                    
                                    
                                    Is there a free trial available for airSlate SignNow?
                                
                                Yes, airSlate SignNow offers a free trial that allows users to experience its features firsthand. This trial is a great opportunity for organizations to understand how ne discovery can enhance their document management strategies.
- 
                                
                                    
                                    
                                    What are the pricing plans for airSlate SignNow?
                                
                                AirSlate SignNow offers flexible pricing plans tailored to different business needs, starting from a basic plan to more advanced options with extensive features. By investing in airSlate SignNow, companies can leverage ne discovery effectively and maximize their ROI.
- 
                                
                                    
                                    
                                    Can airSlate SignNow integrate with other software?
                                
                                Absolutely! AirSlate SignNow seamlessly integrates with various tools such as CRM systems, cloud storage services, and productivity apps. These integrations optimize workflows and aid in the ne discovery process by connecting all necessary documentation systems.
- 
                                
                                    
                                    
                                    What are the benefits of using airSlate SignNow for ne discovery?
                                
                                Using airSlate SignNow for ne discovery offers signNow benefits, including increased efficiency, reduced turnaround times, and improved document accuracy. Businesses can focus on strategic initiatives rather than getting bogged down in administrative tasks.
Get more for ne discovery
Find out other ne discovery
- How Can I eSign Alabama Insurance Affidavit Of Heirship
- eSign Alabama Insurance Affidavit Of Heirship Now
- Can I eSign Alabama Insurance Affidavit Of Heirship
- eSign Arkansas Lawers Stock Certificate Safe
- eSign Alabama Insurance Affidavit Of Heirship Later
- eSign Alabama Insurance Arbitration Agreement Online
- eSign Alabama Insurance Affidavit Of Heirship Myself
- eSign Alabama Insurance Arbitration Agreement Computer
- eSign Alabama Insurance Arbitration Agreement Mobile
- eSign Alabama Insurance Arbitration Agreement Now
- eSign Alabama Insurance Affidavit Of Heirship Free
- eSign Alabama Insurance Arbitration Agreement Later
- eSign Alabama Insurance Arbitration Agreement Myself
- eSign Alabama Insurance Affidavit Of Heirship Secure
- eSign Alabama Insurance Arbitration Agreement Free
- eSign Alabama Insurance Arbitration Agreement Secure
- eSign Alabama Insurance Affidavit Of Heirship Fast
- eSign Alabama Insurance Arbitration Agreement Fast
- How To eSign Alabama Insurance Arbitration Agreement
- eSign Alabama Insurance Arbitration Agreement Simple