
Assignment Debt Form


What is the Assignment Debt Form
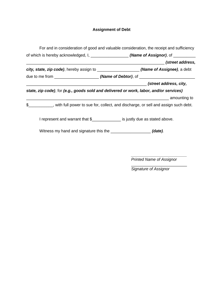
The assignment debt form is a legal document used to transfer the rights to a debt from one party to another. This form is crucial in financial transactions where a creditor assigns their right to collect a debt to a third party. It ensures that the new party has the authority to collect the debt, providing legal protection for all involved. Understanding the specifics of this form is essential for anyone involved in debt assignments, whether as a creditor or a debtor.
How to Use the Assignment Debt Form
Using the assignment debt form involves several steps to ensure its validity. First, the original creditor must complete the form, clearly stating the details of the debt, including the amount owed and the debtor's information. The form should then be signed by the creditor, indicating their consent to transfer the debt. After completion, it is advisable to provide a copy of the signed form to the debtor and the new creditor to maintain transparency and avoid disputes.
Steps to Complete the Assignment Debt Form
Completing the assignment debt form requires careful attention to detail. Here are the essential steps:
- Gather necessary information about the debt, including the original creditor's name, debtor's name, and the amount owed.
- Fill in the form with accurate details, ensuring all parties' names and addresses are correct.
- Include any relevant terms and conditions related to the assignment.
- Sign the form in the designated area, ensuring that the signature is dated.
- Distribute copies of the signed form to all parties involved.
Legal Use of the Assignment Debt Form
The legal use of the assignment debt form is governed by state and federal laws. It is essential that the form complies with these regulations to be considered valid in a court of law. The form must clearly outline the terms of the assignment and be signed by the original creditor. Additionally, keeping a record of the transaction is important for legal purposes, as it may be required in case of disputes or audits.
Key Elements of the Assignment Debt Form
Several key elements must be included in the assignment debt form to ensure its effectiveness:
- Creditor Information: Name, address, and contact details of the original creditor.
- Debtor Information: Name, address, and contact details of the debtor.
- Debt Details: Description of the debt, including the amount owed and any relevant account numbers.
- Assignment Terms: Clear statement indicating the transfer of rights and any conditions attached.
- Signatures: Signatures of the original creditor and, if applicable, the new creditor.
Examples of Using the Assignment Debt Form
There are various scenarios where the assignment debt form is utilized. For instance, a bank may assign a loan to a collection agency when the borrower defaults. In another case, a business may sell its receivables to improve cash flow, necessitating the use of this form. Understanding these examples can help clarify the practical applications of the assignment debt form in real-world situations.
Quick guide on how to complete assignment debt form
Complete assignment debt form effortlessly on any device
Digital document management has gained signNow traction among businesses and individuals alike. It offers an ideal eco-friendly alternative to conventional printed and signed paperwork, allowing you to access the necessary forms and securely store them online. airSlate SignNow equips you with all the resources needed to create, edit, and electronically sign your documents quickly without delays. Handle assignment debt form on any platform using airSlate SignNow's Android or iOS applications and streamline any document-related task today.
The simplest method to modify and eSign assignment debt form without stress
- Find assignment debt form and click on Get Form to begin.
- Utilize the tools provided to fill out your document.
- Emphasize important sections of the documents or obscure sensitive information with tools specifically designed for that purpose by airSlate SignNow.
- Generate your eSignature using the Sign tool, which takes mere seconds and carries the same legal validity as a traditional wet signature.
- Review the details and click on the Done button to save your modifications.
- Choose your preferred method to send your form, via email, SMS, or an invitation link, or download it to your computer.
Eliminate concerns about lost or misplaced files, tiresome document searches, or mistakes that necessitate new copies. airSlate SignNow fulfills all your document management needs within a few clicks from any device of your choice. Edit and eSign assignment debt form while ensuring effective communication throughout the form preparation process with airSlate SignNow.
Create this form in 5 minutes or less
Related searches to assignment debt form
Create this form in 5 minutes!
People also ask assignment debt form
-
What is an assignment debt form?
An assignment debt form is a legal document used to transfer a debtor's obligation from one party to another. This form ensures that the new party assumes responsibility for the debt, streamlining the process for businesses managing accounts receivable.
-
How do I create an assignment debt form using airSlate SignNow?
Creating an assignment debt form with airSlate SignNow is straightforward. Our platform provides customizable templates and an intuitive interface, allowing users to easily design and send forms for eSignature without any hassle.
-
Is there a cost associated with using the assignment debt form feature?
airSlate SignNow offers a cost-effective solution for managing documents, including the assignment debt form feature. Pricing plans vary, so you can choose one that fits your business needs, ensuring you get the best value for your investment.
-
What are the benefits of using airSlate SignNow for assignment debt forms?
Using airSlate SignNow for your assignment debt forms offers several benefits, including enhanced security, easy tracking, and quick turnaround times. With our platform, you can securely send and eSign documents, reducing both time and costs associated with traditional methods.
-
Can I integrate the assignment debt form with other software?
Yes, airSlate SignNow supports various integrations, allowing you to connect your assignment debt form with other business applications. This compatibility streamlines workflows and enhances productivity, making it easier to manage your financial documentation.
-
What features does airSlate SignNow offer for managing assignment debt forms?
airSlate SignNow provides features like customizable templates, automated reminders, and real-time tracking for assignment debt forms. These tools help you manage your documents more efficiently, ensuring a smooth eSignature process and improved client engagement.
-
How secure is the assignment debt form on airSlate SignNow?
Security is a top priority at airSlate SignNow. Our assignment debt form is protected by advanced encryption and security protocols, ensuring that your sensitive data is safe throughout the entire signing process.
Get more for assignment debt form
- Wi form
- Warranty deed two grantors to three grantees as joint tenants wisconsin form
- Wisconsin subpoena form
- Wi lien form
- Wisconsin intestate succession form
- Wis unemployment claim online 497430514 form
- Quitclaim deed from individual to individual wisconsin form
- Warranty deed from individual to individual wisconsin form
Find out other assignment debt form
- Can I Sign Idaho Sports Promissory Note Template
- Sign Illinois Sports Profit And Loss Statement Later
- Sign Illinois Sports IOU Later
- Sign Illinois Sports Profit And Loss Statement Myself
- Sign Illinois Sports Profit And Loss Statement Free
- Sign Illinois Sports Profit And Loss Statement Secure
- Sign Illinois Sports IOU Myself
- Sign Illinois Sports Profit And Loss Statement Fast
- Sign Illinois Sports Profit And Loss Statement Simple
- Sign Illinois Sports IOU Free
- Sign Illinois Sports Profit And Loss Statement Easy
- Sign Illinois Sports Profit And Loss Statement Safe
- Sign Illinois Sports IOU Secure
- Sign Illinois Sports IOU Fast
- How To Sign Illinois Sports IOU
- Sign Illinois Sports Last Will And Testament Online
- How Do I Sign Illinois Sports IOU
- Sign Illinois Sports IOU Simple
- Help Me With Sign Illinois Sports IOU
- Sign Illinois Sports Last Will And Testament Computer