
Copyright Book Form


What is the Copyright Book
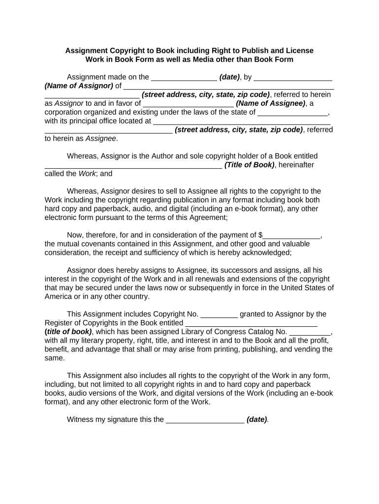
The copyright book is a legal document that establishes ownership of creative works, such as books, music, and art. It serves as a formal record that protects the rights of authors and creators, ensuring that they have control over how their work is used and distributed. This document is essential for anyone looking to publish their work, as it provides legal backing against unauthorized use or reproduction. Understanding the copyright book is crucial for authors, publishers, and anyone involved in the creative industry.
How to use the Copyright Book
Using the copyright book involves several steps to ensure that your creative work is properly protected. First, you need to fill out the copyright book form accurately, providing details about the work and its creator. Once completed, submit the form to the appropriate copyright office, either online or via mail. After submission, you will receive a certificate of registration, which serves as proof of your copyright. This documentation is vital for enforcing your rights in case of infringement.
Key elements of the Copyright Book
Several key elements are essential when completing the copyright book. These include:
- Title of the work: Clearly state the title of your creative work.
- Author information: Provide the full name and contact details of the creator.
- Date of creation: Indicate when the work was created.
- Type of work: Specify whether it is a book, song, artwork, etc.
- Rights statement: Outline the rights you wish to reserve regarding the use of your work.
Including these elements ensures that your copyright book is comprehensive and legally sound.
Steps to complete the Copyright Book
Completing the copyright book involves a systematic approach. Follow these steps:
- Gather all necessary information about the work and its creator.
- Access the copyright book form through the official copyright office website.
- Fill out the form with accurate details, ensuring all required fields are completed.
- Review the form for any errors or omissions before submission.
- Submit the form either online or by mailing it to the copyright office.
- Keep a copy of the submitted form and any confirmation received for your records.
By following these steps, you can ensure that your copyright book is completed correctly and efficiently.
Legal use of the Copyright Book
The legal use of the copyright book is governed by U.S. copyright law, which provides specific guidelines on how to protect and enforce your rights. Once registered, you have the exclusive right to reproduce, distribute, and display your work. Additionally, having a copyright book strengthens your position in legal disputes, as it serves as evidence of ownership. It is important to understand these legal implications to effectively safeguard your creative endeavors.
Examples of using the Copyright Book
There are various scenarios in which the copyright book can be utilized effectively:
- An author registering a novel to protect against unauthorized reproductions.
- A musician securing rights to a song before releasing it commercially.
- An artist documenting ownership of a painting to prevent theft or misuse.
- A filmmaker protecting a screenplay from being copied without permission.
These examples illustrate the importance of the copyright book in various creative fields, highlighting its role in protecting intellectual property.
Quick guide on how to complete copyright book pdf
Complete copyright book pdf effortlessly on any device
Online document management has become increasingly prevalent among businesses and individuals. It offers a fantastic eco-friendly substitute to conventional printed and signed documents, as you can obtain the appropriate form and securely keep it online. airSlate SignNow equips you with all the tools necessary to create, edit, and eSign your documents quickly without delays. Manage copyright book on any platform with airSlate SignNow's Android or iOS applications and simplify any document-related operation today.
The simplest way to edit and eSign copyright publish with ease
- Locate assignment copyright and click Get Form to begin.
- Utilize the tools we provide to fill in your document.
- Highlight important sections of your documents or obscure sensitive information with tools that airSlate SignNow offers specifically for that purpose.
- Generate your eSignature using the Sign feature, which takes mere seconds and holds the same legal validity as a conventional handwritten signature.
- Review all the information and click on the Done button to save your modifications.
- Select how you would like to send your form, via email, text message (SMS), or an invitation link, or download it to your computer.
Eliminate concerns about lost or misfiled documents, tedious form searches, or errors that require printing new document copies. airSlate SignNow satisfies all your document management needs in just a few clicks from any device of your choosing. Edit and eSign copyright book form and ensure outstanding communication at every stage of the form preparation process with airSlate SignNow.
Create this form in 5 minutes or less
Related searches to copyright book make
Create this form in 5 minutes!
People also ask copyright including
-
What is a copyright book, and why is it important?
A copyright book protects the intellectual property rights of authors and creators, ensuring that their original works are not used without permission. By registering a copyright book, you gain exclusive rights to reproduce, distribute, and perform your work, which is crucial for maintaining control over your creative content.
-
How can airSlate SignNow help me with my copyright book?
airSlate SignNow offers an efficient way to send and eSign documents related to your copyright book, such as registration forms and licensing agreements. This simplifies the process of managing copyrights by providing a secure, user-friendly platform that ensures your documents are legally binding.
-
What features does airSlate SignNow provide for managing contracts related to a copyright book?
With airSlate SignNow, users can leverage features such as customizable templates, bulk sending, and document tracking for managing contracts related to a copyright book. These features streamline the workflow, making it easy to protect your intellectual property and ensure compliance with legal standards.
-
Is airSlate SignNow cost-effective for authors managing copyright books?
Yes, airSlate SignNow is designed to be a cost-effective solution for authors and professionals managing copyright books. With flexible pricing plans tailored to different needs, you can easily choose a package that fits your budget while ensuring you have all the necessary tools to manage your copyrights.
-
Can I integrate airSlate SignNow with other tools for my copyright book management?
Absolutely! airSlate SignNow allows for seamless integrations with various applications that facilitate copyright book management, including cloud storage services and project management tools. This enhances your workflow, enabling you to keep all relevant documents organized and easily accessible.
-
What benefits does airSlate SignNow offer for eSigning copyright book documents?
By using airSlate SignNow for eSigning copyright book documents, you benefit from a secure and legally recognized process that accelerates signing times. This means reduced delays in document processing, allowing you to quickly manage your copyright registrations and agreements.
-
How secure is airSlate SignNow for handling my copyright book documents?
airSlate SignNow prioritizes the security of your copyright book documents through industry-leading encryption and compliance with data protection regulations. This ensures that your sensitive intellectual property information remains confidential and protected against unauthorized access.
Get more for copyright book buy
- Site work contractor package wyoming form
- Siding contractor package wyoming form
- Refrigeration contractor package wyoming form
- Drainage contractor package wyoming form
- Tax free exchange package wyoming form
- Landlord tenant sublease package wyoming form
- Buy sell agreement package wyoming form
- Option to purchase package wyoming form
Find out other copyright book create
- Electronic signature Kentucky Weekly Class Evaluation Computer
- eSignature Washington Content Provider Agreement Safe
- Electronic signature Kentucky Weekly Class Evaluation Mobile
- How Can I Electronic signature Mississippi Medical Power of Attorney Template
- Electronic signature Kentucky Weekly Class Evaluation Now
- Electronic signature Kentucky Weekly Class Evaluation Later
- Electronic signature Kentucky Weekly Class Evaluation Myself
- Can I Electronic signature Mississippi Medical Power of Attorney Template
- Electronic signature Kentucky Weekly Class Evaluation Free
- Electronic signature Kentucky Weekly Class Evaluation Secure
- Electronic signature Kentucky Weekly Class Evaluation Fast
- Electronic signature Kentucky Weekly Class Evaluation Simple
- How To Electronic signature Missouri Medical Power of Attorney Template
- Electronic signature Kentucky Weekly Class Evaluation Easy
- How Do I Electronic signature Missouri Medical Power of Attorney Template
- Electronic signature Kentucky Weekly Class Evaluation Safe
- Help Me With Electronic signature Missouri Medical Power of Attorney Template
- How To Electronic signature Kentucky Weekly Class Evaluation
- How Do I Electronic signature Kentucky Weekly Class Evaluation
- Help Me With Electronic signature Kentucky Weekly Class Evaluation