
Housecleaning Services Contract Self Employed Form


What is the housecleaning services contract?
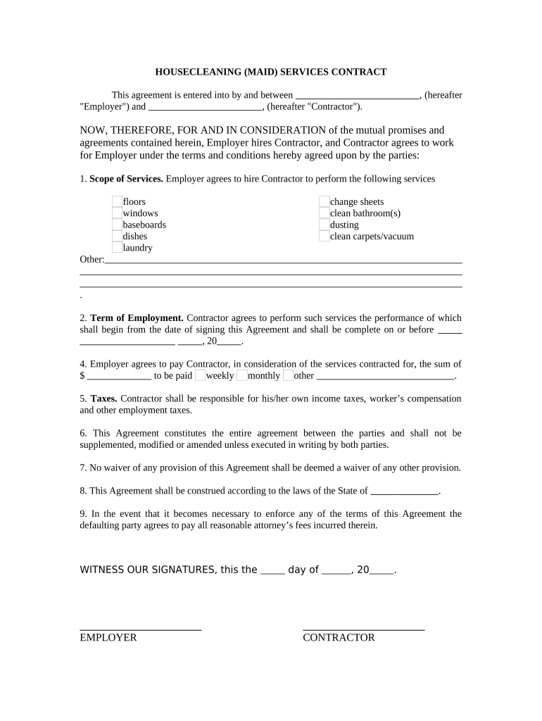
The housecleaning services contract is a legally binding agreement between a service provider and a client. This document outlines the terms and conditions under which housecleaning services will be provided. It typically includes details such as the scope of work, payment terms, duration of the contract, and responsibilities of both parties. Having a clear contract helps to prevent misunderstandings and ensures that both the client and the service provider are on the same page regarding expectations and obligations.
Key elements of the housecleaning services contract
Several key elements should be included in a housecleaning services contract to ensure clarity and legal enforceability. These elements typically include:
- Scope of Services: A detailed description of the cleaning services to be performed, including frequency and specific tasks.
- Payment Terms: Information on how much the client will pay, payment methods, and due dates.
- Duration: The length of time the contract will be in effect, including start and end dates.
- Termination Clause: Conditions under which either party can terminate the contract.
- Liability and Insurance: Provisions regarding liability for damages or injuries that may occur during service.
Steps to complete the housecleaning services contract
Completing a housecleaning services contract involves several important steps to ensure that all necessary information is accurately captured. Here’s a straightforward process to follow:
- Gather Information: Collect all relevant details from both the service provider and the client, including names, addresses, and contact information.
- Draft the Contract: Use a template or create a document that includes all key elements, ensuring clarity and precision.
- Review the Contract: Both parties should carefully read through the contract to ensure all terms are understood and agreed upon.
- Sign the Contract: Both parties should sign the contract, either physically or electronically, to make it legally binding.
- Distribute Copies: Provide each party with a signed copy of the contract for their records.
Legal use of the housecleaning services contract
To ensure the legal validity of a housecleaning services contract, certain criteria must be met. The contract should be clear, mutual, and signed by both parties. Compliance with local laws and regulations governing service contracts is also essential. Additionally, using a trusted eSignature platform can enhance the legal standing of the document, as it provides a secure method for signing and storing contracts. This ensures that the contract is not only enforceable but also protected against potential disputes.
How to use the housecleaning services contract
Using a housecleaning services contract effectively involves several practical steps. Once the contract is signed, both parties should refer to it throughout the duration of the service to ensure compliance with the agreed terms. It serves as a reference point for the scope of work, payment schedules, and any additional services that may be requested. If modifications are needed, they should be documented in writing and signed by both parties to maintain the contract's integrity.
State-specific rules for the housecleaning services contract
Each state in the U.S. may have specific regulations that affect housecleaning services contracts. It is important for both service providers and clients to be aware of these state-specific rules, which can include licensing requirements, consumer protection laws, and tax obligations. Researching local laws or consulting with a legal professional can help ensure that the contract complies with all applicable regulations, thereby minimizing the risk of legal issues.
Quick guide on how to complete housecleaning contract
Complete housecleaning contract seamlessly on any device
Online document management has gained popularity among businesses and individuals alike. It serves as an ideal environmentally friendly alternative to traditional printed and signed documents, enabling you to access the correct form and securely retain it online. airSlate SignNow provides all the tools necessary to create, modify, and eSign your documents swiftly without delays. Manage housecleaning contract on any device using the airSlate SignNow Android or iOS applications and simplify any document-related task today.
How to modify and eSign housecleaning contract effortlessly
- Obtain housecleaning contract and click on Get Form to begin.
- Take advantage of the tools we offer to complete your document.
- Mark important parts of the documents or redact sensitive details using tools provided by airSlate SignNow specifically for this purpose.
- Create your eSignature with the Sign feature, which takes mere seconds and carries the same legal validity as a conventional wet ink signature.
- Review all the details and click on the Done button to finalize your changes.
- Choose your preferred method to send your form, via email, SMS, or invite link, or download it to your computer.
Say goodbye to lost or misplaced documents, time-consuming form searching, or errors that require printing new document copies. airSlate SignNow meets your document management needs in just a few clicks from any device you prefer. Alter and eSign housecleaning contract and ensure superior communication at every stage of the form preparation process with airSlate SignNow.
Create this form in 5 minutes or less
Related searches to housecleaning contract
Create this form in 5 minutes!
People also ask housecleaning contract
-
What is a housecleaning contract?
A housecleaning contract is a legal document that outlines the terms and conditions between a homeowner and a cleaning service. This contract typically includes details such as the services provided, payment terms, and scheduling, ensuring both parties have clear expectations. Using a housecleaning contract helps avoid misunderstandings and provides a framework for a professional relationship.
-
How can airSlate SignNow help with housecleaning contracts?
airSlate SignNow offers a user-friendly platform to create, send, and eSign housecleaning contracts quickly and easily. You can streamline your contract process, ensuring that documents are signed digitally and securely. This not only saves time but also enhances efficiency, allowing you to focus more on providing quality cleaning services.
-
What features should I look for in a housecleaning contract?
When drafting a housecleaning contract, key features to include are detailed service descriptions, payment schedules, cancellation policies, and liability clauses. Additionally, ensure that the contract allows for modifications if needed and includes a clear method for communication between parties. Using airSlate SignNow can help you include all necessary features while ensuring a smooth eSigning process.
-
What are the benefits of using airSlate SignNow for housecleaning contracts?
The benefits of using airSlate SignNow for housecleaning contracts include increased efficiency, reduced paperwork, and improved client communication. The platform enables you to track document status in real-time, ensuring timely sign-offs, which is crucial for your business operations. Furthermore, eSigning offers enhanced security and convenience for both parties involved.
-
Is airSlate SignNow cost-effective for small cleaning businesses?
Yes, airSlate SignNow is designed to be a cost-effective solution, especially for small cleaning businesses. With various pricing plans available, you can find one that suits your budget while still providing access to vital features for managing housecleaning contracts. This allows small businesses to maintain professional standards without incurring excessive costs.
-
Can I integrate airSlate SignNow with other tools for managing housecleaning contracts?
Absolutely! airSlate SignNow offers multiple integrations with popular tools like Google Drive, Dropbox, and various CRM systems. This means you can manage housecleaning contracts alongside your other business documents seamlessly, allowing for better organization and improved workflow. Integration simplifies the management process, ensuring your contracts are easily accessible.
-
What if I need to modify my housecleaning contract after it’s been signed?
If you need to modify your housecleaning contract after it has been signed, airSlate SignNow allows you to create a new version quickly. Both parties will need to review and sign the updated contract to ensure mutual agreement. This feature provides flexibility and adaptability in your agreements, which is essential for accommodating changing business needs.
Get more for housecleaning contract
Find out other housecleaning contract
- Sign Rhode Island Courts Contract Later
- eSign New Hampshire Business Operations Month To Month Lease Online
- Sign Rhode Island Courts Contract Myself
- Sign Rhode Island Courts Contract Free
- eSign New Hampshire Business Operations LLC Operating Agreement Myself
- eSign New Hampshire Business Operations Month To Month Lease Computer
- Sign Rhode Island Courts Contract Secure
- Sign Rhode Island Courts Contract Fast
- Sign Rhode Island Courts Contract Simple
- eSign New Hampshire Business Operations Month To Month Lease Mobile
- Sign Rhode Island Courts Contract Easy
- eSign New Hampshire Business Operations LLC Operating Agreement Free
- Sign Rhode Island Courts Contract Safe
- eSign New Hampshire Business Operations Month To Month Lease Now
- eSign New Hampshire Business Operations LLC Operating Agreement Secure
- eSign New Hampshire Business Operations Month To Month Lease Later
- How To Sign Rhode Island Courts Contract
- How Do I Sign Rhode Island Courts Contract
- eSign New Hampshire Business Operations Month To Month Lease Myself
- Help Me With Sign Rhode Island Courts Contract