
Declaration of a Desire for a Natural Death Sc Form


What is the declaration of a desire for a natural death in South Carolina?
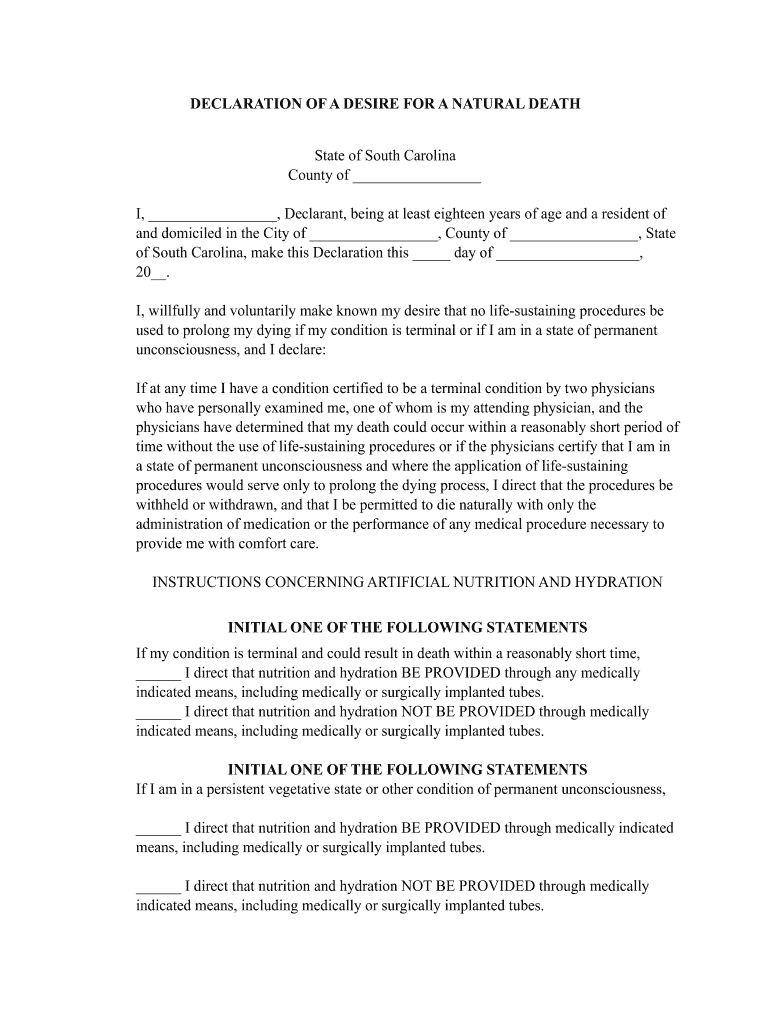
The declaration of a desire for a natural death in South Carolina is a legal document that allows individuals to express their wishes regarding end-of-life care. This declaration enables a person to refuse life-sustaining treatment in certain medical situations, ensuring that their preferences are respected when they can no longer communicate them. It is essential for individuals to understand that this document is legally binding and must be executed according to state laws to be valid.
Key elements of the declaration of a desire for a natural death in South Carolina
This declaration must include several critical components to be legally effective. Key elements include:
- Identification of the declarant: The document should clearly state the full name and address of the individual making the declaration.
- Specific wishes: The declarant must articulate their preferences regarding medical treatments, including which interventions they wish to refuse.
- Signature and date: The declaration must be signed and dated by the declarant to validate it.
- Witnesses: South Carolina law requires that the declaration be signed in the presence of two witnesses who are not related to the declarant or beneficiaries of their estate.
Steps to complete the declaration of a desire for a natural death in South Carolina
Completing the declaration involves several straightforward steps:
- Download the form: Obtain the official declaration form, which can often be found online or through legal resources.
- Fill out the form: Complete the form with your personal information and clearly state your wishes regarding end-of-life care.
- Sign the document: Sign and date the form in the presence of two witnesses, ensuring they also sign the document.
- Store the document safely: Keep the signed declaration in a secure location and share copies with your healthcare provider and family members.
Legal use of the declaration of a desire for a natural death in South Carolina
The declaration serves as a critical legal tool in South Carolina, ensuring that healthcare providers and family members respect the individual's wishes regarding life-sustaining treatments. It is essential to understand that this document is recognized under South Carolina law, meaning it can be used in medical settings to guide treatment decisions when the declarant is incapacitated. Proper execution of the declaration is vital for its acceptance in legal and medical contexts.
How to obtain the declaration of a desire for a natural death in South Carolina
Individuals can obtain the declaration form through various means:
- Online resources: Many legal websites provide downloadable versions of the declaration form.
- Healthcare providers: Some hospitals and clinics may offer the form to patients during discussions about end-of-life care.
- Legal offices: Consulting with an attorney can also provide access to the necessary forms and guidance on completing them correctly.
State-specific rules for the declaration of a desire for a natural death in South Carolina
South Carolina has specific laws governing the execution and use of the declaration of a desire for a natural death. These rules include requirements for witness signatures, the need for the document to be in writing, and stipulations about who can serve as a witness. Understanding these state-specific regulations is crucial for ensuring that the declaration is valid and enforceable.
Quick guide on how to complete declaration of a desire for a natural death sc
Complete declaration of a desire for a natural death sc seamlessly on any device
Digital document management has become increasingly favored by businesses and individuals alike. It presents an ideal eco-friendly substitute for traditional printed and signed documents, allowing you to find the correct template and securely store it online. airSlate SignNow equips you with all the necessary tools to create, edit, and electronically sign your documents swiftly without interruptions. Manage declaration of a desire for a natural death sc on any platform using airSlate SignNow's Android or iOS applications and streamline any document-related process today.
How to alter and electronically sign south carolina declaration of a desire for a natural death effortlessly
- Obtain declaration of a desire for a natural death south carolina and click on Get Form to begin.
- Utilize the features we offer to complete your form.
- Highlight important sections of your documents or conceal sensitive information with tools that airSlate SignNow offers specifically for this purpose.
- Generate your signature using the Sign tool, which takes mere seconds and holds the same legal validity as a conventional wet ink signature.
- Review all information and click on the Done button to preserve your adjustments.
- Choose how you wish to send your form, via email, text message (SMS), or invitation link, or download it to your computer.
Eliminate worries about lost or misplaced documents, tedious form searches, or errors that necessitate printing new document copies. airSlate SignNow meets your document management needs with just a few clicks from any device of your preference. Edit and electronically sign declaration of a desire for a natural death to ensure excellent communication throughout the document preparation process with airSlate SignNow.
Create this form in 5 minutes or less
Related searches to declaration of a desire for a natural death sc
Create this form in 5 minutes!
How to create an eSignature for the south carolina declaration of a desire for a natural death
How to create an electronic signature for a PDF online
How to create an electronic signature for a PDF in Google Chrome
How to create an e-signature for signing PDFs in Gmail
How to create an e-signature right from your smartphone
How to create an e-signature for a PDF on iOS
How to create an e-signature for a PDF on Android
People also ask declaration of a desire for a natural death
-
What is a declaration of a desire for a natural death sc?
A declaration of a desire for a natural death sc is a legal document that communicates an individual's wish to forego artificial life-sustaining treatments in the event of a terminal illness. By completing this declaration, individuals ensure that their healthcare preferences are known and respected, making critical end-of-life decisions easier for loved ones.
-
How can airSlate SignNow help with the declaration of a desire for a natural death sc?
airSlate SignNow provides a user-friendly platform for creating, sending, and signing legal documents, including the declaration of a desire for a natural death sc. Our solution allows you to securely manage and share your document, ensuring that your healthcare wishes are documented and accessible to your healthcare providers.
-
Is there a cost associated with using airSlate SignNow for a declaration of a desire for a natural death sc?
Yes, airSlate SignNow offers various pricing plans that cater to different needs. Each plan provides essential features for drafting and executing a declaration of a desire for a natural death sc, ensuring you can choose the option that best fits your budget and requirements.
-
What features does airSlate SignNow provide for managing declarations of a desire for a natural death sc?
With airSlate SignNow, users benefit from features such as customizable templates, secure eSigning capabilities, and document tracking. These features streamline the process of creating a declaration of a desire for a natural death sc, allowing for efficient management of your important documents.
-
How secure is my information when using airSlate SignNow for a declaration of a desire for a natural death sc?
airSlate SignNow prioritizes data security and employs industry-standard encryption protocols to protect your personal information, including your declaration of a desire for a natural death sc. You can trust that your documents are stored securely and accessed only by authorized individuals.
-
Can I integrate airSlate SignNow with other applications for my declaration of a desire for a natural death sc?
Yes, airSlate SignNow offers various integrations with popular applications, enhancing your workflow when managing declarations of a desire for a natural death sc. This allows users to connect their existing systems, ensuring a seamless document management process that fits within their broader operational needs.
-
What are the benefits of using airSlate SignNow for my declaration of a desire for a natural death sc?
Using airSlate SignNow for your declaration of a desire for a natural death sc provides a streamlined and legally compliant solution for handling sensitive documents. The service not only simplifies the signing process but also ensures that your preferences are documented clearly, giving you peace of mind during difficult times.
Get more for declaration of a desire for a natural death sc
Find out other south carolina declaration of a desire for a natural death
- How Do I Electronic signature New Jersey Lawers Word
- Help Me With Electronic signature New Jersey Lawers Word
- How Can I Electronic signature New Jersey Lawers PDF
- How Can I Electronic signature New Jersey Lawers Word
- Can I Electronic signature New Jersey Lawers Word
- Can I Electronic signature New Jersey Lawers PDF
- How To Electronic signature New Jersey Lawers Word
- How Do I Electronic signature New Jersey Lawers Word
- How To Electronic signature New Jersey Lawers Word
- How Do I Electronic signature New Jersey Lawers Word
- Help Me With Electronic signature New Jersey Lawers Word
- How Can I Electronic signature New Jersey Lawers Word
- Help Me With Electronic signature New Jersey Lawers Word
- How Can I Electronic signature New Jersey Lawers Word
- Can I Electronic signature New Jersey Lawers Word
- How To Electronic signature New Jersey Lawers Word
- How Do I Electronic signature New Jersey Lawers Word
- Can I Electronic signature New Jersey Lawers Word
- Help Me With Electronic signature New Jersey Lawers Word
- How Can I Electronic signature New Jersey Lawers Word