
2020-2025 Form


What is the Ucla Form 590
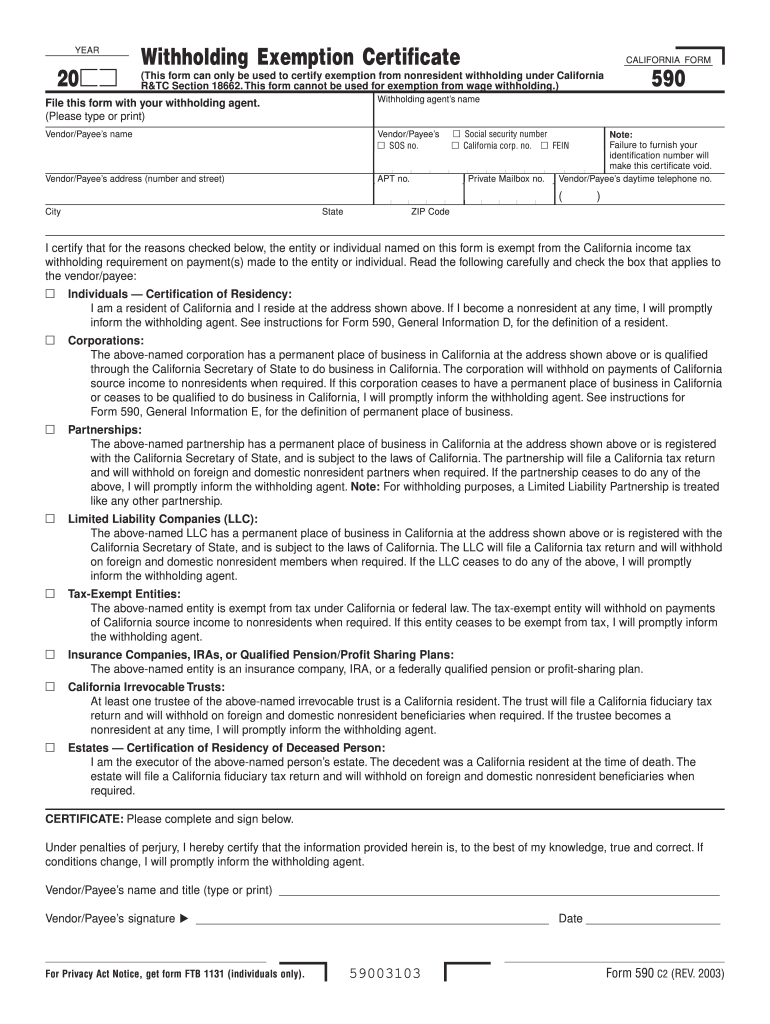
The Ucla Form 590 is a tax-related document used primarily for reporting specific information to the California Franchise Tax Board. This form is essential for individuals and entities that need to disclose certain tax-related details, ensuring compliance with state regulations. It is often utilized by taxpayers who are subject to California tax laws, including residents and non-residents who earn income in the state.
How to use the Ucla Form 590
Using the Ucla Form 590 involves several steps to ensure accurate completion and submission. First, gather all necessary information, including your personal identification details and any income sources that require reporting. Next, fill out the form according to the provided instructions, ensuring that all fields are completed accurately. Once the form is filled out, review it for any errors before submitting it to the appropriate tax authority.
Steps to complete the Ucla Form 590
Completing the Ucla Form 590 requires careful attention to detail. Follow these steps:
- Gather required documentation, such as income statements and identification numbers.
- Access the form through the California Franchise Tax Board website or other official sources.
- Fill in your personal information, including your name, address, and Social Security number.
- Report your income and any deductions accurately, ensuring compliance with tax regulations.
- Review the form for completeness and accuracy before submission.
Legal use of the Ucla Form 590
The legal use of the Ucla Form 590 is governed by California tax laws. It serves as a formal declaration of income and tax obligations, making it crucial for compliance. Failure to use this form appropriately can lead to penalties or legal repercussions. It is important to ensure that the information provided is truthful and complete to avoid any issues with the California Franchise Tax Board.
Key elements of the Ucla Form 590
Key elements of the Ucla Form 590 include:
- Personal Information: Name, address, and Social Security number.
- Income Reporting: Details of all income sources that need to be reported.
- Deductions: Any applicable deductions that can reduce taxable income.
- Signature: Required signature to validate the form and affirm the accuracy of the information provided.
Form Submission Methods
The Ucla Form 590 can be submitted through various methods to accommodate different preferences. Taxpayers can choose to file the form online through the California Franchise Tax Board's website, mail a physical copy to the designated address, or deliver it in person at a local office. Each method has its own processing times and requirements, so it is advisable to select the one that best suits your needs.
Quick guide on how to complete ucla form 590 2003
Handle [SKS] effortlessly on any gadget
Web-based document management has become increasingly favored by businesses and individuals alike. It presents an excellent eco-friendly substitute for traditional printed and signed paperwork, as you can easily locate the necessary form and securely archive it online. airSlate SignNow equips you with all the resources required to create, edit, and eSign your documents rapidly without delays. Manage [SKS] across any device with airSlate SignNow Android or iOS applications and streamline any document-related tasks today.
The simplest method to edit and eSign [SKS] with ease
- Find [SKS] and click on Obtain Form to begin.
- Utilize the tools we provide to fill out your form.
- Emphasize pertinent sections of your documents or redact sensitive information using the tools specifically designed for that purpose by airSlate SignNow.
- Create your signature with the Sign feature, which takes just seconds and holds the exact same legal validity as a conventional wet ink signature.
- Review all the details and click on the Finish button to save your modifications.
- Choose how you wish to send your form, whether by email, SMS, or invitation link, or download it to your computer.
Eliminate concerns about lost or misplaced documents, tedious form searches, or mistakes that require printing new copies. airSlate SignNow meets all your document management needs in just a few clicks from any device you prefer. Update and eSign [SKS] and ensure outstanding communication at every stage of your form preparation process with airSlate SignNow.
Create this form in 5 minutes or less
Find and fill out the correct ucla form 590 2003
Related searches to Ucla Form 590
Create this form in 5 minutes!
How to create an eSignature for the ucla form 590 2003
The best way to make an eSignature for a PDF document in the online mode
The best way to make an eSignature for a PDF document in Chrome
The way to generate an eSignature for putting it on PDFs in Gmail
How to generate an electronic signature right from your mobile device
How to make an eSignature for a PDF document on iOS devices
How to generate an electronic signature for a PDF on Android devices
People also ask
-
What is the Ucla Form 590?
The Ucla Form 590 is an official document used for various academic and administrative purposes at UCLA. This form is essential for students and staff to complete certain processes. Using airSlate SignNow makes it easy to eSign and send the Ucla Form 590 securely and efficiently.
-
How can I fill out the Ucla Form 590 online?
Filling out the Ucla Form 590 online is simple with airSlate SignNow. Just upload the form, fill in the necessary details, and use our eSigning feature to sign it electronically. This process saves time, eliminates paperwork, and ensures your document is submitted on time.
-
What are the benefits of using airSlate SignNow for the Ucla Form 590?
Using airSlate SignNow for the Ucla Form 590 streamlines your form submission process. The solution provides an intuitive interface, secure eSigning, and the ability to track your documents' progress. This ensures that your Ucla Form 590 is handled efficiently and professionally.
-
Is airSlate SignNow compatible with mobile devices for the Ucla Form 590?
Yes, airSlate SignNow is fully compatible with mobile devices, allowing you to manage the Ucla Form 590 on the go. Whether you're using a smartphone or tablet, you can easily access, fill out, and eSign your document. This mobile flexibility ensures you can complete your tasks anytime, anywhere.
-
What are the pricing options for airSlate SignNow related to the Ucla Form 590?
airSlate SignNow offers various pricing plans that cater to different needs, all ideal for handling documents like the Ucla Form 590. You can choose from individual, business, or enterprise plans, making it accessible regardless of your budget. Each plan comes with comprehensive features that can enhance your document management.
-
Can I integrate airSlate SignNow with other applications for managing the Ucla Form 590?
Absolutely, airSlate SignNow offers seamless integration with various applications, making it easier to manage the Ucla Form 590 alongside your other tools. Whether you use CRM software or cloud storage solutions, our platform connects efficiently, ensuring your workflow remains uninterrupted and organized.
-
How secure is the submission of the Ucla Form 590 with airSlate SignNow?
When you submit the Ucla Form 590 via airSlate SignNow, your data is protected with top-notch security measures. Our platform complies with industry standards and employs encryption to ensure that your information is safe during transmission and storage. You can trust that your documents are secure.
Get more for Ucla Form 590
- Premarital agreements prenuptial 481371805 form
- Pennsylvania living wills and health care package form
- Rhode island no fault agreed uncontested divorce package for dissolution of marriage for persons with no children with or form
- Sc termination form
- Texas texas southern district bankruptcy guide and forms package for chapters 7 or 13
- Texas contractor form 481371812
- Virginia sale of a business package form
- Wyoming no fault agreed uncontested divorce package for dissolution of marriage for persons with no children with or without form
Find out other Ucla Form 590
- Electronic signature Construction Form Hawaii Fast
- Electronic signature Oregon Business Operations Job Description Template Fast
- Electronic signature Construction Form Hawaii Simple
- Electronic signature Construction Form Hawaii Easy
- Electronic signature Oregon Business Operations Job Description Template Simple
- Electronic signature Construction Form Hawaii Safe
- Electronic signature Oregon Business Operations Job Description Template Easy
- Electronic signature Oregon Business Operations Memorandum Of Understanding Online
- Electronic signature Oregon Business Operations Job Description Template Safe
- Electronic signature Oregon Business Operations Memorandum Of Understanding Computer
- How To Electronic signature Oregon Business Operations Memorandum Of Understanding
- Electronic signature Oregon Business Operations Memorandum Of Understanding Mobile
- Electronic signature Oregon Business Operations Memorandum Of Understanding Now
- Electronic signature Oregon Business Operations Memorandum Of Understanding Later
- Electronic signature Oregon Business Operations Memorandum Of Understanding Myself
- How Do I Electronic signature Oregon Business Operations Memorandum Of Understanding
- Electronic signature Oregon Business Operations Memorandum Of Understanding Free
- Electronic signature Oregon Business Operations Memorandum Of Understanding Secure
- Electronic signature Oregon Business Operations Memorandum Of Understanding Fast
- Help Me With Electronic signature Oregon Business Operations Memorandum Of Understanding