
Sell Drinks Jockey Lot Anderson Form


What is the Sell Drinks Jockey Lot Anderson Form
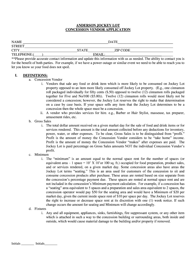
The Sell Drinks Jockey Lot Anderson form is a legal document used primarily for transactions involving the sale of alcoholic beverages in Anderson County. This form serves as a formal agreement between the seller and the buyer, detailing the terms of the sale, including the type and quantity of drinks being sold. It is essential for ensuring compliance with local regulations regarding alcohol sales.
How to Use the Sell Drinks Jockey Lot Anderson Form
Using the Sell Drinks Jockey Lot Anderson form involves a few straightforward steps. First, ensure you have the correct version of the form, which can be obtained from local government offices or online resources. Next, fill in the required details, such as the names of the parties involved, the description of the alcoholic beverages, and any pertinent terms of sale. Once completed, both parties should sign the document to validate the agreement. It is advisable to keep a copy for your records.
Steps to Complete the Sell Drinks Jockey Lot Anderson Form
Completing the Sell Drinks Jockey Lot Anderson form requires careful attention to detail. Follow these steps:
- Obtain the latest version of the form from a reliable source.
- Fill in the seller's and buyer's information, including names and contact details.
- Specify the type of alcoholic beverages being sold, including quantity and price.
- Include any special conditions or terms related to the sale.
- Review the completed form for accuracy.
- Both parties should sign and date the form to finalize the agreement.
Legal Use of the Sell Drinks Jockey Lot Anderson Form
The Sell Drinks Jockey Lot Anderson form is legally binding when completed correctly. To ensure its validity, it must comply with local laws governing alcohol sales. This includes obtaining any necessary permits or licenses required by Anderson County. The form serves as proof of the transaction and can be used in legal proceedings if disputes arise.
Key Elements of the Sell Drinks Jockey Lot Anderson Form
Several key elements must be included in the Sell Drinks Jockey Lot Anderson form to ensure its effectiveness:
- Parties Involved: Clearly state the names and addresses of the seller and buyer.
- Description of Goods: Provide detailed information about the alcoholic beverages being sold.
- Terms of Sale: Outline payment terms, delivery conditions, and any warranties or guarantees.
- Signatures: Ensure both parties sign the document to validate the agreement.
Who Issues the Form
The Sell Drinks Jockey Lot Anderson form is typically issued by local government agencies responsible for regulating alcohol sales in Anderson County. This may include the county clerk's office or the department overseeing alcohol licensing. It is important to use the official version of the form to ensure compliance with local regulations.
Quick guide on how to complete anderson county jockey lot
Complete anderson county jockey lot effortlessly on any device
Online document management has become increasingly popular with companies and individuals alike. It offers an ideal environmentally-friendly substitute for traditional printed and signed documents, as you can easily locate the appropriate template and safely store it online. airSlate SignNow provides all the tools necessary to create, edit, and eSign your documents swiftly without unnecessary delays. Handle anderson jockey lot on any platform using the airSlate SignNow Android or iOS applications and streamline any document-related process today.
The easiest way to edit and eSign jockey lot without breaking a sweat
- Locate jockey lot anderson and click on Get Form to begin.
- Utilize the tools we provide to fill out your form.
- Emphasize important sections of the documents or redact sensitive information with tools that are specifically designed for that purpose by airSlate SignNow.
- Create your eSignature using the Sign tool, which takes mere seconds and carries the same legal authority as a conventional wet ink signature.
- Review the details and click on the Done button to save your changes.
- Select how you wish to submit your form, whether by email, SMS, or invitation link, or download it to your computer.
Eliminate worries about lost or misplaced files, tedious form searching, or errors that necessitate printing new document copies. airSlate SignNow fulfills your document management needs in just a few clicks from any device of your preference. Edit and eSign sell lot and ensure excellent communication at every stage of your form preparation process with airSlate SignNow.
Create this form in 5 minutes or less
FAQs jockey lot anderson
-
How can I get a lot of people to fill out my Google form survey for a research paper?
First of all, to get a lot of responses for your survey don't forget to follow main rules of creating a survey. Here are some of them:Create and design an invitation page, sett the information about why it is so important for you to get the answers there; also write the purpose of your survey.Make your survey short. Remember that people spend their time answering questions.Preset your goal, decide what information you want to get in the end. Prepare list of questions, which would be the most important for you.Give your respondents enough time to answer a survey.Don't forget to say "Thank you!", be polite.Besides, if you want to get more responses, you can use these tips:1.The first one is to purchase responses from survey panel. You can use MySurveyLab’s survey panel for it. In this case you will get reliable and useful results. You can read more about it here.2.If you don’t want to spent money for responses, you can use the second solution. The mentioned tool enables sharing the survey via different channels: email (invitations and e-mail embedded surveys, SMS, QR codes, as a link.You can share the link on different social media, like Twitter, Facebook, Facebook groups, different forums could be also useful, Pinterest, LinkedIn, VKontakte and so on… I think that if you use all these channels, you could get planned number of responses.Hope to be helpful! Good luck!
-
How can I fill out Google's intern host matching form to optimize my chances of receiving a match?
I was selected for a summer internship 2016.I tried to be very open while filling the preference form: I choose many products as my favorite products and I said I'm open about the team I want to join.I even was very open in the location and start date to get host matching interviews (I negotiated the start date in the interview until both me and my host were happy.) You could ask your recruiter to review your form (there are very cool and could help you a lot since they have a bigger experience).Do a search on the potential team.Before the interviews, try to find smart question that you are going to ask for the potential host (do a search on the team to find nice and deep questions to impress your host). Prepare well your resume.You are very likely not going to get algorithm/data structure questions like in the first round. It's going to be just some friendly chat if you are lucky. If your potential team is working on something like machine learning, expect that they are going to ask you questions about machine learning, courses related to machine learning you have and relevant experience (projects, internship). Of course you have to study that before the interview. Take as long time as you need if you feel rusty. It takes some time to get ready for the host matching (it's less than the technical interview) but it's worth it of course.
-
How do I fill out the form of DU CIC? I couldn't find the link to fill out the form.
Just register on the admission portal and during registration you will get an option for the entrance based course. Just register there. There is no separate form for DU CIC.
-
My neighborhood road has a a lot potholes. What can I do to get it fixed? Do I need to fill out a request form to the government?
First, you need to find out who has maintenance responsibility for the street. Sometimes, it’s the municipality, sometimes, the county, sometimes, the state. It could also be privately maintained.Let’s say it’s a city maintained street. Contact the city Public Works department and report the condition of the street. Most Public Works departments should have a priority list of streets in need of repair. They should be able to tell you where your street ranks on that list. If you think it’s too far down on the list, you might contact your City Councilman/Alderman to complain. It’d be a good idea to get as many of your neighbors to do the same thing.
-
How do you know if you need to fill out a 1099 form?
Assuming that you are talking about 1099-MISC. Note that there are other 1099s.check this post - Form 1099 MISC Rules & RegulationsQuick answer - A Form 1099 MISC must be filed for each person to whom payment is made of:$600 or more for services performed for a trade or business by people not treated as employees;Rent or prizes and awards that are not for service ($600 or more) and royalties ($10 or more);any fishing boat proceeds,gross proceeds of $600, or more paid to an attorney during the year, orWithheld any federal income tax under the backup withholding rules regardless of the amount of the payment, etc.
-
How can I make it easier for users to fill out a form on mobile apps?
I’ll tell you a secret - you can thank me later for this.If you want to make the form-filling experience easy for a user - make sure that you have a great UI to offer.Everything boils down to UI at the end.Axonator is one of the best mobile apps to collect data since it offers powerful features bundled with a simple UI.The problem with most of the mobile form apps is that they are overloaded with features that aren’t really necessary.The same doesn’t hold true for Axonator. It has useful features but it is very unlikely that the user will feel overwhelmed in using them.So, if you are inclined towards having greater form completion rates for your survey or any data collection projects, then Axonator is the way to go.Apart from that, there are other features that make the data collection process faster like offline data collection, rich data capture - audio, video, images, QR code & barcode data capture, live location & time capture, and more!Check all the features here!You will be able to complete more surveys - because productivity will certainly shoot up.Since you aren’t using paper forms, errors will drop signNowly.The cost of the paper & print will be saved - your office expenses will drop dramatically.No repeat work. No data entry. Time & money saved yet again.Analytics will empower you to make strategic decisions and explore new revenue opportunities.The app is dirt-cheap & you don’t any training to use the app. They come in with a smooth UI. Forget using, even creating forms for your apps is easy on the platform. Just drag & drop - and it’s ready for use. Anyone can build an app under hours.
Related searches to sell lot
Create this form in 5 minutes!
How to create an eSignature for the anderson county jockey lot
How to create an eSignature for the Sell Drinks Jockey Lot Anderson Form in the online mode
How to create an electronic signature for the Sell Drinks Jockey Lot Anderson Form in Google Chrome
How to generate an electronic signature for signing the Sell Drinks Jockey Lot Anderson Form in Gmail
How to create an electronic signature for the Sell Drinks Jockey Lot Anderson Form straight from your smartphone
How to create an eSignature for the Sell Drinks Jockey Lot Anderson Form on iOS devices
How to make an eSignature for the Sell Drinks Jockey Lot Anderson Form on Android
People also ask jockey lot
-
What is the Anderson Jockey Lot and how does it relate to airSlate SignNow?
The Anderson Jockey Lot is a popular marketplace where vendors sell various products. airSlate SignNow can enhance operations at the Anderson Jockey Lot by streamlining the process of signing documents, making it easier for vendors and customers to complete transactions quickly and efficiently.
-
How can airSlate SignNow improve transactions at the Anderson Jockey Lot?
With airSlate SignNow, transactions at the Anderson Jockey Lot can be expedited through eSigning, which eliminates the need for physical documents. This means vendors can quickly send agreements for signature, allowing buyers to commit to purchases on the spot without delays.
-
What pricing plans does airSlate SignNow offer for vendors at the Anderson Jockey Lot?
airSlate SignNow provides several pricing plans that cater to different business sizes, including a free trial for new users. Vendors at the Anderson Jockey Lot can choose a plan that best fits their needs and budget, ensuring they can access efficient eSigning solutions without overspending.
-
What features of airSlate SignNow are beneficial for businesses at the Anderson Jockey Lot?
Key features of airSlate SignNow include customizable templates, bulk sending, and secure document storage. These tools are particularly beneficial for businesses at the Anderson Jockey Lot, enabling them to manage multiple agreements effectively and maintain a smooth sales flow.
-
Can airSlate SignNow integrate with other tools used at the Anderson Jockey Lot?
Yes, airSlate SignNow integrates seamlessly with various CRM and productivity tools commonly used by vendors. This integration allows businesses at the Anderson Jockey Lot to incorporate eSigning into their existing workflows, improving overall efficiency and customer satisfaction.
-
What are the security features of airSlate SignNow for users at the Anderson Jockey Lot?
Security is a top priority for airSlate SignNow, which employs encryption and audit trails to protect user data. Vendors at the Anderson Jockey Lot can confidently send and receive documents, knowing their transactions and sensitive information remain secure.
-
How does airSlate SignNow enhance customer experience for those shopping at the Anderson Jockey Lot?
By using airSlate SignNow, vendors can offer a faster and more convenient signing experience to customers at the Anderson Jockey Lot. This diminishes waiting times and enhances overall customer satisfaction, leading to more repeat business and positive referrals.
Get more for jockey lot anderson
- 2018 form 1095 c internal revenue service
- 2020 form 1120 pc us property and casualty insurance company income tax return
- To order official irs information returns such as forms w 2 and w 3 which include a
- 2020 form 8582 passive activity loss limitations
- Form 8833 treaty based return position disclosure under
- Pdf instructions for form 706 internal revenue service
- Delaware form 200 01
- W1q 9701 form
Find out other sell lot
- How To eSign Connecticut Non-Profit Form
- Help Me With eSign Connecticut Non-Profit Form
- How Do I eSign Connecticut Non-Profit Form
- How Can I eSign Connecticut Non-Profit Form
- How Can I eSign Connecticut Non-Profit Form
- Can I eSign Connecticut Non-Profit Form
- How To eSign Connecticut Non-Profit Form
- Can I eSign Connecticut Non-Profit Form
- How Do I eSign Connecticut Non-Profit Form
- How To eSign Connecticut Non-Profit Document
- How Do I eSign Connecticut Non-Profit Document
- Help Me With eSign Connecticut Non-Profit Document
- Help Me With eSign Connecticut Non-Profit Form
- How Can I eSign Connecticut Non-Profit Document
- Can I eSign Connecticut Non-Profit Document
- How Can I eSign Connecticut Non-Profit Form
- Can I eSign Connecticut Non-Profit Form
- How To eSign Connecticut Non-Profit Document
- How Do I eSign Connecticut Non-Profit Document
- How To eSign Connecticut Non-Profit Form