
Court of Washington for No Plaintiff Vs Motion and Form


What is the Court Of Washington For No Plaintiff Vs Motion And
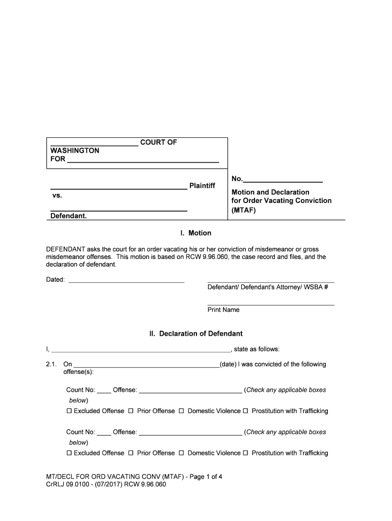
The Court of Washington for No Plaintiff Vs Motion And refers to a specific legal process within the Washington state court system. This type of motion typically arises when a plaintiff is absent from a case, prompting the court to consider the motion filed by the defendant or other parties involved. Understanding this process is crucial for navigating legal disputes effectively, as it outlines the procedures and implications of such motions.
Steps to complete the Court Of Washington For No Plaintiff Vs Motion And
Completing the Court of Washington for No Plaintiff Vs Motion And involves several key steps to ensure proper submission and compliance with legal standards. First, gather all relevant information and documentation related to the case. Next, fill out the motion form accurately, ensuring that all details are correct and complete. After completing the form, it is essential to review it for any errors before submitting it to the court. Finally, file the motion with the appropriate court clerk and retain copies for your records.
Key elements of the Court Of Washington For No Plaintiff Vs Motion And
Several key elements define the Court of Washington for No Plaintiff Vs Motion And. These include the identification of the parties involved, the specific grounds for the motion, and any supporting evidence that may be required. Additionally, the motion must comply with local court rules regarding format and submission timelines. Understanding these elements is vital for ensuring that the motion is valid and can be considered by the court.
Legal use of the Court Of Washington For No Plaintiff Vs Motion And
The legal use of the Court of Washington for No Plaintiff Vs Motion And is primarily to address situations where a plaintiff's absence affects the proceedings. This motion serves as a formal request to the court to take specific actions, such as dismissing the case or ruling in favor of the defendant. It is essential to follow proper legal protocols when filing this motion to uphold the integrity of the judicial process.
State-specific rules for the Court Of Washington For No Plaintiff Vs Motion And
State-specific rules govern the Court of Washington for No Plaintiff Vs Motion And, which can vary based on local jurisdiction. These rules may dictate the format of the motion, filing deadlines, and required documentation. Familiarizing oneself with these regulations is crucial for ensuring compliance and avoiding delays in the court process. It is advisable to consult the local court rules or seek legal guidance to navigate these requirements effectively.
Examples of using the Court Of Washington For No Plaintiff Vs Motion And
Examples of using the Court of Washington for No Plaintiff Vs Motion And can illustrate its practical applications. For instance, if a plaintiff fails to appear for a scheduled hearing, the defendant may file a motion to dismiss based on the plaintiff's absence. Another example could involve a situation where the plaintiff has not provided necessary documentation, prompting the defendant to request a ruling in their favor. These scenarios highlight the importance of understanding how to effectively utilize this legal motion.
Quick guide on how to complete court of washington for no plaintiff vs motion and
Finish [SKS] effortlessly on any gadget
Digital document management has become increasingly favored by companies and individuals alike. It offers an ideal eco-friendly alternative to traditional printed and signed documents, as you can access the necessary form and securely store it online. airSlate SignNow equips you with all the resources needed to create, adjust, and eSign your files quickly without any hold-ups. Manage [SKS] on any device via airSlate SignNow's Android or iOS applications and streamline your document-related activities today.
The simplest way to modify and eSign [SKS] without hassle
- Find [SKS] and click Get Form to begin.
- Utilize the tools we provide to complete your document.
- Emphasize important sections of your documents or redact sensitive information with tools that airSlate SignNow specifically offers for this purpose.
- Create your eSignature using the Sign feature, which takes mere seconds and holds the same legal validity as a standard handwritten signature.
- Review all details and click on the Done button to save your changes.
- Select how you wish to send your form, either by email, text message (SMS), or through an invitation link, or download it to your computer.
Put an end to lost or mislaid documents, tedious form searching, or mistakes that necessitate generating new document versions. airSlate SignNow meets your document management needs in just a few clicks from any device you prefer. Modify and eSign [SKS] and ensure effective communication at every stage of the form completion process with airSlate SignNow.
Create this form in 5 minutes or less
Related searches to Court Of Washington For No Plaintiff Vs Motion And
Create this form in 5 minutes!
People also ask
-
What is the purpose of a Court Of Washington For No Plaintiff Vs Motion And?
The Court Of Washington For No Plaintiff Vs Motion And is used to file motions when no plaintiff is present in a legal matter. This type of motion addresses various legal issues without requiring a plaintiff to initiate the process. Understanding its purpose helps users effectively navigate their legal needs with airSlate SignNow's streamlined document handling.
-
How can airSlate SignNow help with motions related to the Court Of Washington For No Plaintiff Vs Motion And?
AirSlate SignNow simplifies the preparation and signing of documents necessary for the Court Of Washington For No Plaintiff Vs Motion And. Our platform allows users to create, send, and eSign documents securely, ensuring compliance with legal standards while saving time and resources. This solution is ideal for parties involved in such court motions.
-
What pricing options are available for airSlate SignNow users needing to handle the Court Of Washington For No Plaintiff Vs Motion And?
AirSlate SignNow offers flexible pricing plans to accommodate businesses of all sizes that need to manage documents for the Court Of Washington For No Plaintiff Vs Motion And. Subscriptions vary based on features and usage, ensuring that users get a cost-effective solution tailored to their requirements. Check our website for detailed pricing information.
-
What features does airSlate SignNow offer for legal documents, including the Court Of Washington For No Plaintiff Vs Motion And?
AirSlate SignNow provides a variety of features such as document templates, eSignature capabilities, and tracking options tailored for legal situations, including the Court Of Washington For No Plaintiff Vs Motion And. These features enhance efficiency and ensure all parties have a quick and easy way to sign vital documents securely.
-
How can I integrate airSlate SignNow with other platforms for handling Court Of Washington For No Plaintiff Vs Motion And?
AirSlate SignNow seamlessly integrates with popular platforms such as Google Drive, Dropbox, and Salesforce, among others. These integrations facilitate the management of documents required for the Court Of Washington For No Plaintiff Vs Motion And, enhancing collaboration and document accessibility. Users can link their accounts for smooth workflows.
-
What are the benefits of using airSlate SignNow for legal motions like the Court Of Washington For No Plaintiff Vs Motion And?
Using airSlate SignNow for legal motions like the Court Of Washington For No Plaintiff Vs Motion And streamlines the entire process, saving time and reducing the complexities of document management. The user-friendly interface allows users to prepare and send documents quickly while ensuring compliance and security throughout the eSigning process.
-
Is airSlate SignNow compliant with legal standards for documents submitted to the Court Of Washington For No Plaintiff Vs Motion And?
Yes, airSlate SignNow complies with legal standards required for eSignatures and document handling, ensuring that all submissions to the Court Of Washington For No Plaintiff Vs Motion And are valid and enforceable. Our platform uses encryption and complies with eSignature laws, making it a trusted choice for legal documentation.
Get more for Court Of Washington For No Plaintiff Vs Motion And
Find out other Court Of Washington For No Plaintiff Vs Motion And
- Sign Tennessee Pet Care Agreement Online
- Sign South Dakota Pet Care Agreement Easy
- Sign Texas Pet Care Agreement Now
- Sign Tennessee Pet Care Agreement Computer
- Sign Tennessee Pet Care Agreement Mobile
- Sign Tennessee Pet Care Agreement Now
- Sign Tennessee Pet Care Agreement Later
- Sign Texas Pet Care Agreement Later
- Sign South Dakota Pet Care Agreement Safe
- Sign Tennessee Pet Care Agreement Free
- Sign Tennessee Pet Care Agreement Myself
- Sign Texas Pet Care Agreement Myself
- Sign Tennessee Pet Care Agreement Secure
- Sign Tennessee Pet Care Agreement Fast
- Sign Texas Pet Care Agreement Free
- Sign Tennessee Pet Care Agreement Simple
- Sign Tennessee Pet Care Agreement Easy
- Sign Tennessee Pet Care Agreement Safe
- Sign Texas Pet Care Agreement Secure
- Sign Texas Pet Care Agreement Fast